
认知我国COVID-19疫情发展规律,分全国、湖北省、中国其他地区(以下简称"湖北域外地区")三类疫情发展趋势进行预测。
使用传染病动力学中的分块房室模型对现有数据进行拟合并估计参数,用定参后的模型对未来疫情发展进行模拟。
湖北省与湖北域外地区模型拟合参数及在不同人群中的转移模式具有一定地理差异性,湖北域外地区显示出更好的态势。预测湖北省和湖北域外地区现有确诊病例降至0人的时间分别为2020年5月和2020年4月。
预测疫情可于2020年5月下旬结束,充足的医疗资源投入和对疑似人群进行更加全面和准确的排查,对控制疫情具有重要作用。
版权归中华医学会所有。
未经授权,不得转载、摘编本刊文章,不得使用本刊的版式设计。
除非特别声明,本刊刊出的所有文章不代表中华医学会和本刊编委会的观点。
COVID-19即新型冠状病毒肺炎是由新型冠状病毒(2019 novel coronavirus, 2019-nCoV)感染引起的以呼吸道感染为主要特征的急性突发传染病。2019年12月湖北省武汉市发现COVID-19病例[1],截止2020年4月14日,全球五大洲210余个国家和地区均已出现确诊病例[2]。
在我国,湖北省,特别是武汉市作为COVID-19病例最多的地区,感染人数远超湖北省外任何一个地区。本研究收集了全国34个省级行政区自2020年2月1日至2020年3月7日每日累计病例数、新增确诊病例数、疑似病例数、治愈病例数以及死亡病例数等数据,并根据可获得的数据定制了传播动力学模型,进而采用随机梯度下降法,用数据拟合了模型中的参数。基于上述动力学模型,本研究对湖北省与湖北域外地区传播模式的参数差异进行分析,并对全国、湖北省以及湖北域外地区的疫情结束时间进行了预测。以上研究将为下一阶段COVID-19的防控策略发展趋势提供理论基础。
数据收集的时间跨度自2020年2月1日至2020年3月7日。包括全国34个省级行政区每日累计病例数、新增确诊病例数、疑似病例数、治愈病例数及死亡病例数等5项COVID-19相关数据。全国34个省级行政区的数据来源于维基百科的COVID-19数据API[3]和中华人民共和国国家卫生健康委员会(卫健委)疫情防控动态网站[4]的人工筛选整理。需要说明的是,2月12日湖北省新增确诊病例14 840例,其中包括13 332例临床诊断病例[5],对于这部分临床诊断病例,因为治愈周期中位数为12 d[6],故将13 332例临床诊断病例其按照过去12天中上报新增病例数的比例分摊至2月1日至2月12日的当日新增确诊病例数中。时间选取截点至3月7日,原因为3月8日始,卫建委公布的疑似数据未区分境外输入与否。根据地域分布,将数据组织为全国、湖北省以及湖北域外地区等3个数据集。
针对现有资料,定制了传染病动力学中的分块房室模型(blocked compartmental model,以下简称"BloComp")模型[7](图1)。


模型将相关人群分为两个环境:未隔离环境和隔离环境。未隔离环境中,包括3个人群:易感人群、未隔离潜伏人群、未隔离发病人群;隔离环境中包括两个人群:疑似人群、确诊人群。另外,死亡人群和康复人群未列入上述两个环境中。如图1所示,每个长方形代表不同人群,长方形之间的箭头表示不同人群之间的转移,箭头上的参数表示单位时间内(单位时间固定为一日)转移概率。图1引用的相关参数及其含义如表1所示。

预测模型参数符号及其含义
The notations of parameters of the model and their meanings
预测模型参数符号及其含义
The notations of parameters of the model and their meanings
| 符号 | 含义 |
|---|---|
| S | 易感人群 |
| E | 未隔离潜伏期人群 |
| I | 未隔离发病人群 |
| P | 疑似人群 |
| D | 确诊人群 |
| A | 死亡人群 |
| R | 康复人群 |
| α | 每日病死率(当天死亡患者占整体患者存量比例) |
| γ | 每日治愈率(当天治愈患者占整体患者存量比例) |
| ϵ | 每日潜伏期人群转化为发病期人群占潜伏期人群比例 |
| dep | 每日潜伏期人群进入被隔离疑似人群占潜伏期人群比例 |
| dip | 每日发病期人群进入被隔离疑似人群占发病期人群比例 |
| diq | 每日发病期人群进入被隔离确诊人群占发病期人群比例 |
| dpq | 每日疑似病人被确诊占疑似病人比例 |
| bsp | 每日排除疑似的易感人群占疑似病人比例 |
| dsp | 每日被误认为疑似病人的易感人群占确诊人群的比例 |
| R0 | 基本再生数(basic reproductive number)R0指在无另外感染的人群中,一个病例在其传染期间平均可传染的病例的预期数量 |
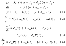
基于上述模型列出不同状态人群之间关系的微分方程具体如下:


(1)式中0.1来自假设潜伏期人群单位时间内传染能力为发病期人群单位时间内传染能力的0.1倍[7]。
以最小化平方误差和为目标,构造BloComp模型参数拟合的优化目标函数如式(5)所示,其中,T表示观察窗口长度(T=20):


考虑到,式(5)不是待优化模型参数的凸函数,无法通过求闭式解的方式获得模型参数的理论最优解。因此,使用机器学习中求解优化问题的常见方法梯度下降法[8],用历史数据拟合得到模型参数的近似最优估计。
使用全国、湖北省以及湖北域外地区等3个数据集,分别优化了动力学BloComp模型并得到3组不同动力学模型参数。本研究对比分析了由模型计算出的全国、湖北省和湖北域外地区的R0值,并对比分析了湖北省和湖北域外地区的参数估计值。另外,基于拟合好的模型预测了全国、湖北省和湖北域外地区的疫情结束时间。
基本再生数(R0)表示在无外力介入且无群体免疫力的情况下,一个人感染COVID-19以后可以传播给其他人的平均人数。
从图2拟合模型可以看出,3种数据集均表现为随时间推移R0呈现短期波动长期下降趋势。全国R0在1月23日前后到达峰值2.42,在1月31日后下降到1以下。湖北省R0于1月23日前后达到峰值3.14,2月2日后下降到1以下。湖北域外地区的R0值在1月22日达到峰值0.78,1月25日后降到0.5以下。非常明显地,与湖北域外地区相比,湖北省具有更高的R0峰值,同时,R0波动性更加剧烈。


分别根据湖北省及湖北域外地区的拟合数据,获得模型参数(表2)。

湖北省、湖北域外地区预测模型被估参数估计值
The estimation of parameters in the predictive models of Hubei and areas outside Hubei province
湖北省、湖北域外地区预测模型被估参数估计值
The estimation of parameters in the predictive models of Hubei and areas outside Hubei province
| 被估参数 | 被估参数说明 | 湖北省(%) | 湖北省外(%) |
|---|---|---|---|
| α | 每日病死率(当天死亡患者占整体患者存量的比例) | 0.28 | 0.8 |
| γ | 每日治愈率(当天治愈患者占整体患者存量的比例) | 8.1 | 9.9 |
| ϵ | 每日"未隔离潜伏期人群"转为"未隔离发病期人群"占"未隔离潜伏期人群"的比例 | 27 | 15 |
| dep | 每日"未隔离潜伏期人群"转为"疑似人群"占"未隔离潜伏期人群"的比例 | 6.6 | 2.5 |
| dip | 每日"未隔离发病人群"转为"疑似人群"占"未隔离发病人群"比例 | 7.1 | 11 |
| diq | 每日"未隔离发病人群"转为"确诊人群"占"未隔离发病人群"比例 | 11 | 22 |
| dpq | 每日"疑似人群"中被"确诊者"占"疑似人群"比例(dpq) | 23 | 14 |
| bsp | 每日"疑似人群"中被排除感染2019-nCoV者占"疑似人群"的比例 | 1.8 | 12 |
| dsp | 每日"易感人群"中被隔离的"非感染者"与"确诊人群"的比值 | 1.4 | 13 |
根据拟合模型,对湖北省以及湖北域外地区COVID-19传播模式比较发现(见表2,第3、4列),模型参数具有一定地理差异性。具体而言:1)与湖北域外地区相比,湖北省病死率(α)高,治愈率(γ)低,相对而言轻症感染者更易被治愈,但湖北省重症感染者较多且占确诊病例比例高,尤其同时具有基础病的患者死亡风险更高;2)湖北省未隔离潜伏期人群发展为疑似人群(dep)或发病人群的概率更高,湖北域外地区未隔离的潜伏期人群发病或者被隔离相对滞后,人群进入发病期需要度过潜伏期,说明湖北域外地区未隔离的潜伏期人群处于潜伏期后期的比例更低;3)湖北省未隔离发病人群转变为疑似人群(dip)和确诊人群(diq)的概率更低,自疫情爆发以来湖北省医疗资源紧张,部分疑似患者可能采取自行隔离,无法及时就医并确诊,一部分发病者未被纳入疑似病例或确诊病例统计,而湖北域外地区未隔离的发病者更大概率被医疗机构检测确认;4)湖北省疑似人群经检测最终被确诊(dpq)的概率较大。相反湖北域外地区,疑似人群经检测为COVID-19阴性(bsp)或者说疑似感染者中的非感染者与最终确诊比值(dsp)较高。这也得益于湖北域外地区医疗资源相对丰富,可能与有类似COVID-19症状的非2019-nCoV感染人群也被及时收治有关。
"现有确诊病例数"是指尚未治愈或死亡的累计确诊病例数,即正在接受治疗的住院患者。对全国、湖北省以及湖北域外地区的现有确诊病例数拟合预测显示,全国现有确诊病例数趋势线在2月17日到达峰值约5.8万人,此后患者人数存量趋势线会呈现逐步下降趋势(图3 A)。湖北省的确诊病例数趋势线在2月19日到达峰值(约5.1万人),此后趋势线也呈现逐步下降趋势(图3B)。而湖北域外地区患者人数存量趋势线峰值到来时间为2月11日,峰值约9千人(图3C)。


基于目前最为可信、最为完整的基础数据,运用定制的BloComp模型,本研究预测最后一名感染者将在4月28前被隔离。考虑到本次COVID-19的潜伏期为1~14 d[9],因而根据流行病学原理,发现最后1例病人并隔离后,经过2个完整的潜伏期最大值再无病例,可以作为宣布疫情结束的时机。基于此,本研究预计在5月下旬可以宣布本次COVID-19疫情结束。
在数据方面,本研究对2月12日湖北省新增确诊病例数进行了平滑化处理。2月12日,国家卫健委发布新版指南对湖北省以及湖北省以外其他省份的病例诊断标准进行了区分,湖北省增加了"临床诊断病例"分类,对疑似病例具有肺炎影像学特征者,确定为临床诊断病例,以便患者能及早按照确诊病例相关要求接受规范治疗,进一步提高救治成功率。国家卫健委这一举措非常必要和及时,但对当日湖北省上报确诊病例数造成了巨大波动,除按照前一版指南(以荧光PCR作为最终诊断标准)上报的1 404例当日新增确诊病例外,又一次性上报了13 332例临床诊断病例[5]。考虑到此13 332例临床诊断病例并非均为当日产生,为使模型拟合更加准确,根据COVID-19治疗时间中位数12 d[6]的研究结论,将这批确诊病例按照过去12 d上报新增病例数的比例分配到2月1日至12日当日新增确诊病例中。以上的数据处理,可以形成贴近实际的数据集。
分别利用全国、湖北省、湖北域外地区等3个数据集进行模型拟合,计算获得的R0值为2.0~3.2,与Guan等[6]和Li等[10]抽样结果的该值基本一致,说明本研究的模型基本反映了COVID-19疫情的基本面。BloComp模型允许时变的基本再生数R0,以反映COVID-19防控策略对病毒传播的影响,与传统的静态R0的SEIR模型[11]相比,具有更好的灵活性。
基本再生数R0,作为评估病毒传染能力的一个重要指标,通常来说R0值越大,表明疾病传染能力越强,适宜的疾病控制策略会迅速降低R0。当R0<1时,表明疫情可得到基本控制。全国R0变化趋势与湖北省R0变化趋势呈现一致性,R0值均于1月23日前后到达顶峰,随时间推移呈现短期波动长期下降趋势,全国与湖北省R0分别于1月31日和2月2日后小于1(图2)。此外,与湖北域外地区相比,湖北省R0值较高,同时也具有更高的波动性。湖北域外地区峰值1月22日达到峰值0.78,小于1,在1月25日后降至0.5以下,说明湖北域外地区的疫情可更早得到控制,这也意味着全国疫情随着湖北省疫情得到控制而基本得到控制。
湖北省R0峰值发生在1月23日,随后迅速下降。湖北省的主要疫区是武汉市,严格的隔离措施从1月23日开始实施,不难看出,随着隔离措施的实施,传播率出现了显著的降低(图2)。从确诊病例的峰值看,湖北省的峰值时间是2月19日,可以认为这是在全国各地医护支援4万人以后获得的效果。因此,对于COVID-19这类具有较高传播效率的疾病,控制的更早介入,将累计入院患者数量控制在疫区床位总量以内,可以有效控制疫情。这就可以解释湖北域外地区疫情控制局面较好的原因。
据模型预测结果可知,湖北域外地区的每日平均病死率为0.08%(表2),相比SARS和MERS疾病致死率而言,这一数值与美国的流感病死率更为接近[12]。因此,COVID-19虽然具有较高传染效率,控制策略上,采用季节性流感的策略,应该是合理的。
根据拟合模型,对湖北省以及湖北域外地区COVID-19传播模式比较(表2,第3、4列)不难发现,在疾病发展进程及疾病控制效果上,与湖北省相比,湖北域外地区显示出更好的态势。一方面,湖北省为疫源地,早期重症患者较多、各类患者基数较大、易感人群接触病患的机会较多,因此病死率(α)相对较高,治愈率(γ)较低。随着我国制定一系列防控措施及公民意识的提高,使得湖北域外地区疫情得到更好的控制。另一方面,湖北省作为重灾区医疗资源相对贫乏,甚至可能有些疑似病例采取自行隔离。为提升治愈率、降低病死率,需要降低重症患者在患病人群中的比例,而抑制患者从轻症到重症的转化需要更多医护人员的投入。相对而言,湖北域外地区医疗资源丰富,即使最终确诊为COVID-19阴性的病例(dsp)也可以得到较好的治疗。值得注意的是,隔离可以有效阻断病毒在自由环境的传播,通过对比湖北省和湖北省外数据及模型参数可以推断,对疑似人群进行更加全面和准确的排查,对控制疫情具有重要作用[13]。
全国、湖北省以及湖北域外地区的现有确诊病例数拟合预测结果显示,全国现有确诊病例数在进入5月后患者人数存量将趋近0(图3 A)。湖北省作为COVID-19暴发病例最多的地区,患者人数远高于湖北域外地区。就现有确诊病例数而言,湖北省与全国总体的变化趋势趋同,在进入5月份后现有确诊病例数趋近于0(图3B)。而湖北域外地区,较之湖北省,峰值到来时间更早,现有确诊病例数下降速度更快,在4月后将趋近0(图3C)。此外,本研究中BloComp模型预测全国预测最后一名感染者将在4月28日前被隔离。考虑到本次COVID-19潜伏期为1~14 d[9],经过2个完整的潜伏期即28 d后可以作为宣布疫情结束的时机。基于此,预计在5月下旬可以宣布本次COVID-19疫情结束。
考虑到本研究仅使用了公开发布的疫情数据,而所采用的传播动力学模型和数据拟合方法具有较好的可扩展性,不难推断本研究还具有很大的发展潜力。未来随着各地医疗资源投入、精确的人口流动等数据的不断充实,预计本研究所用方法可以做出更为准确的预测。同时考虑到模型中除了给出确诊、疑似病例人数的预测值以外,还可以给出病毒传播过程中基本再生数、潜伏期人群转为发病人群比例、为隔离感染者被隔离比例等模型参数的估计值,而这些参数与疫情防控措施密切相关,因此也可以对规划医疗资源投入、制定疫情防控策略提供指导,为疫情防控中的科学决策做出贡献。
所有作者均声明不存在利益冲突





















