
总结儿童庞贝病(PD)的临床特点、基因突变及酶替代治疗(ERT)经验。
回顾性分析2016年12月至2021年8月青岛市妇女儿童医院收治的PD患儿临床资料,根据发病年龄将患儿分为婴儿型庞贝病(IOPD)组和晚发型庞贝病(LOPD)组,根据是否予静脉输注人重组酸性α-葡萄糖苷酶(rhGAA)分为ERT组和无ERT组,ERT组根据是否规范应用rhGAA分为规范ERT组[规范应用rhGAA为间隔时间约2周,剂量为20 mg/(kg·次),共持续52周]和未规范ERT组。采用Kaplan-Meier法对组间生存率进行比较。
13例PD患儿中,男7例,女6例;IOPD 10例,LOPD 3例;前者的首诊原因以心脏受累者最多[6例(60.0%)],后者的首诊原因分别为肌无力、心脏受累和呼吸道感染。患儿肌酸激酶均不同程度升高;1例酸性α-葡糖苷酶(GAA)活性完全缺乏,12例活性降低。IOPD患儿均有心肌肥厚,十二导联心电图示短PR间期、高大QRS波和广泛T波倒置。GAA基因分析共发现c.1861T>G(p.Trp621Gly)、c.2278A>T(p.K760X)和c.949G>A(p.A317T)3个新发突变位点。IOPD组10例中,5例患儿给予ERT,其中2例规范治疗52周,3例为未规范治疗;2例规范ERT者存活,余8例死于心力衰竭或呼吸衰竭。LOPD组中仅1例给予ERT 1次,其中2例存活,1例死于呼吸衰竭。总病死率为69.2%(9/13例)。ERT组患儿(50.0%)及规范ERT组患儿(100.0%)的生存率均高于无ERT组患儿(14.3%)(Log Rank P=0.037、0.044)。
PD临床表现具有多样性,GAA酶活性测定及GAA基因分析是临床诊断的重要手段;规范且早期ERT可延缓病情进展,甚至可逆转IOPD患儿的心肌肥厚。
版权归中华医学会所有。
未经授权,不得转载、摘编本刊文章,不得使用本刊的版式设计。
除非特别声明,本刊刊出的所有文章不代表中华医学会和本刊编委会的观点。
庞贝病(Pompe disease,PD),又名糖原累积病Ⅱ型(glycogen storage disease type Ⅱ ,GSD Ⅱ ),是由先天性酸性α-葡萄糖苷酶(acid alpha-glucosidase,GAA)缺乏引起的常染色体隐性遗传病,发病率为1/40 000~1/50 000活婴[1]。依据发病年龄可分为婴儿型(infantile-onset Pompe disease,IOPD)和晚发型(late-onset Pompe disease,LOPD);IOPD患儿GAA严重缺乏,骨骼肌及心肌受累最常见,而LOPD患儿主要表现为呼吸肌、躯干肌及四肢近端肌群受累,心脏受累不明显[2]。儿童PD的确诊依赖GAA酶活性测定及GAA基因分析测定[2],残留GAA酶活性对PD起病早晚及病情严重程度起决定性作用。PD目前唯一有效的特异性治疗为酶替代疗法(enzyme-replacement therapy,ERT)[3]。然而目前国内有关儿童PD的ERT疗效,尤其是长期规范ERT的研究匮乏。为总结小儿PD的临床特点、基因突变及规范ERT经验,现将13例PD患儿临床资料、基因突变及ERT经验报告如下。
回顾性分析2016年12月至2021年8月青岛市妇女儿童医院心脏中心及儿童重症监护室(PICU)收治的PD患儿13例临床资料,患儿均符合小儿PD的诊断标准[2]。根据发病年龄将患儿分为IOPD组和LOPD组,患儿均予综合对症处理(主要包括心肺功能支持,注射用甲泼尼龙琥珀酸钠抗炎,人免疫球蛋白免疫支持,防治感染,呼吸肌无力者予机械辅助通气等),根据是否予静脉输注人重组GAA(recombinant human GAA,rhGAA)分为ERT组和无ERT组,ERT组根据是否规范应用rhGAA分为规范ERT组和未规范ERT组[规范应用rhGAA为间隔时间约2周,剂量为20 mg/(kg·次),共持续52周;未规范应用为间隔时间2~16周,剂量为20 mg/(kg·次),持续时间为2~27周]。本研究通过青岛市妇女儿童医院医学伦理委员会批准(批准文号:QFELL-YJ-2020-38),且所有治疗方案均取得患儿监护人知情同意。
收集患儿的人口学资料、病史及体检特点、实验室检查[包括肌酸激酶(creatine kinase,CK)、乳酸脱氢酶(lactate dehydrogenase,LDH)、谷丙转氨酶(alanine aminotransferase,ALT)、谷草转氨酶(aspartate ami-notransferase,AST)和GAA酶活性]、十二导联心电图(electrocardiograph,ECG)、超声心动图、基因分析结果、治疗和随访情况等,并对其进行回顾性分析。
样本为外周血白细胞,在冰浴中用细胞超声粉碎仪将白细胞粉碎来制备白细胞匀浆。加入阿卡波糖及柠檬酸盐缓冲液配制,37 ℃水浴反应1 h后,加入甘氨酸碳酸钠缓冲液终止反应,测定荧光强度,正常值为62.3~301.7 nmol/(h·mg·Pr)。
应用美国GElogiq 9彩超仪,在胸骨旁左心室长轴切面二尖瓣腱索水平测量舒张末期左心室后壁厚度(left ventricular posterior wall thickness,LVPWd)、舒张末期室间隔厚度(interventricular septal diastolic thickness,IVSd)、舒张末期左心室内径(left ventricular diameter in end diastole,LVEDD)和收缩末期左心室内径(left ventricular end systolic diameter,LVESD);采用双平面Simpson法计算左心室射血分数(left ventricular ejection fraction,LVEF)。LVEF≥55%为正常[4]。Z值计算网址为http://zscore.chboston.org,正常值为-2~2。计算左心室质量(left ventricular mass,LVM)和左心室质量指数(left ventricular mass index,LVMI);LVMI=LVM/体表面积(body surface area,BSA)。
基因分析分为遗传性心血管病综合检测及全外显子组测序2种检测方式。基因分析结果分别来自金域医学检验所、北京迈基诺医学检验所、康旭医学检验所、广州嘉检医学检测有限公司、北京全谱医学检验所和北京信诺佰世医学检验所6家基因检测机构。依据美国医学遗传学与基因组学学会(American College of Medical Genetics and Genomics,ACMG)指南(2015年)[5],变异判定为致病性变异、疑似致病性变异、临床意义未明变异、疑似良性变异和良性变异。
于ERT开始0个月、1个月、3个月、9个月、12个月分别进行1次,肌力评估采用MRC六级肌力评定法(the UK Medical Research Council,MRC),发育评估测试包括Gesell发育量表、日常生活能力评定表(Activities of Daily Living Scale,ADL)和婴儿-初中生社会生活能力量表(Infant-Junior Middle School Social Life ability scale,S-M)。
应用SPSS 21.0软件进行统计学分析,计数资料采用例数、百分比表示,计量资料采用中位数(范围)表示。采用Kaplan-Meier法对组间生存率进行比较。P<0.05为差异有统计学意义。
共纳入PD患儿13例。其中男7例,女6例;IOPD 10例,LOPD 3例。IOPD组起病年龄和确诊年龄中位数分别为4.5个月和5.9个月;LOPD组起病年龄为17~42个月,确诊年龄为17~42个月。
IOPD组患儿首诊以心脏受累者最多,达6例(60.0%),其中5例为心脏扩大或心肌肥厚,1例为心功能不全;其次为肌酶异常及反复呛咳者各2例(20.0%)。LOPD组患儿首诊原因分别为肌无力、心脏受累和呼吸道感染。
患儿生长发育均落后于健康同龄儿,IOPD组异常面容5例(50.0%),表现为宽眼距、塌鼻梁、厚嘴唇、舌体肥大、吐舌;呼吸急促4例(40.0%);双肺闻及湿啰音2例(20.0%);心音低钝6例(60.0%);肝大8例(80.0%);脾大2例(20.0%);1例(10.0%)初诊时上下肢肌力均正常,9例(90.0%)肌力减低,其中上肢肌力3级、4级者分别为5例、4例,下肢肌力2级、3级、4级者分别为1例、6例、2例。LOPD组出现呼吸急促2例(66.7%);双肺闻及湿啰音及心音低钝各1例(各占33.3%);肝大2例(66.7%);3例(100.0%)初诊时肌力异常,上肢肌力4级、5级者分别为2例、1例,下肢肌力3级、4级者分别为1例、2例。患儿均无确诊PD家族史,但1例患儿母亲既往诊断"多发性肌炎",1例患儿同胞哥哥2月龄确诊"肥厚型心肌病",并于6月龄死亡。
13例患儿CK、ALT、AST、LDH均有不同程度升高。IOPD组患儿中位CK、ALT、AST和LDH分别为602(393~1 375) U/L、168(67~209) U/L、325(153~546) U/L和1 142(673~3 250) U/L;LOPD组患儿上述指标的中位数分别为400(326~710) U/L、179(101~239) U/L、146(146~227) U/L、643(596~752) U/L。IOPD患儿中1例GAA酶完全缺乏,9例活性降低,中位数为1.83(0~12.80) nmol/(h·mg·Pr)。LOPD组患儿的中位GAA酶活性为3.38(3.17~11.00)nmol/(h·mg·Pr)。
IOPD组患儿LVMI值均高于正常水平,中位数为213.07(72.50~362.32) g/m2;其中5例(50.0%)表现为全心肌肥厚,2例(20.0%)为左心室壁心肌肥厚(1例为左心室侧壁、前壁、后壁心肌肥厚,1例为左心室前壁、后壁、下壁心肌肥厚),2例(20.0%)为右心室前壁、室间隔及左心室后壁心肌肥厚,1例(10.0%)为左心室后壁、室间隔心肌肥厚。5/10例(50.0%)LVEF<55%,5/10例(50.0%)LVEF>55%。LOPD组患儿中1例(33.3%)心脏未受累,LVEF>55%;1例(33.3%)表现为左心增大,室间隔及右室前壁心肌均匀性增厚,LVMI值高于正常水平,为244.43 g/m2,LVEF<55%;1例(33.3%)为左室心肌致密化不全,但无心肌增厚,LVEF>55%。
IOPD组患儿ECG均示短PR间期、左心室高电压(高QRS波)和广泛T波倒置(主要表现在QRS波主波向上的导联,T波深而倒置);LOPD组患儿中2例ECG大致正常,1例示PR间期延长、异常Q波。
13例PD患儿中共发现25个GAA基因突变位点,均位于17号染色体且符合常染色体隐性遗传方式,分别为无义突变11个,错义突变10个,移码突变2个、剪切突变2个。1例LOPD患儿为GAA基因纯合子突变[c.2105G>A(p.R702H)],余12例患儿均携带来自父母的复合杂合突变,共24个突变位点(图1)。新发现突变位点3个,为c.1861T>G(p.Trp621Gly)、c.2278A>T(p.K760X)、c.949G>A(p.A317T),分别为错义突变、无义突变、错义突变。


注:红色字体为新发现突变位点,黑色字体为以往报道突变位点,蓝色箭头为中国患儿常见突变位点;A:腺嘌呤、丙氨酸;C:胞嘧啶、半胱氨酸;G:鸟嘌呤;T:胸腺嘧啶;ins:插入突变;del:缺失突变;Rfs:移码突变;D:天冬氨酸;Glu、E:谷氨酸;G、Gly:甘氨酸;H:组氨酸;K:赖氨酸;Leu:亮氨酸;N:天冬酰胺;Pro、P:脯氨酸;R:精氨酸;S:丝氨酸;T:苏氨酸;W、Trp:色氨酸;Y:酪氨酸;V:缬氨酸;*、Ter、X:终止密码 The red marks the newly discovered mutation sites,the black marks the previously reported mutation sites,and the blue arrows point to the common mutation sites in Chinese children;A:adenine or alanine;C:cytosine or cysteine;G:guanine;T:thymine;ins:insertions;del:deletions;Rfs:frameshift mutation;D:aspartic acid;Glu,E:glutamate;G,Gly:glycine;H:histidine;K:lysine;Leu:leucine;N:asparagine;Pro,P:proline;R:arginine;S:serine;T:threonine;W,Trp:tryptophan;Y:tyrosine;V:valine;*,Ter,X:stop codon
IOPD组发现20个GAA基因突变位点,18个位于外显子,2个为内含子突变;突变类型为无义突变9个、错义突变7个、移码突变和剪切突变各2个;依据ACMG指南(2015年)判定致病性变异11个、疑似致病性变异8个、临床意义未明变异1个。LOPD组5个GAA基因突变位点均为外显子突变;突变类型为无义突变2个、错义突变3个;依据ACMG指南(2015年)判定致病性变异2个、疑似致病性变异2个、临床意义未明变异1个。ERT前通过患儿基因突变类型初步预测CRIM状态,其中IOPD组4例为阳性,6例为阴性,LOPD组3例均为阳性。
IOPD组5例(50.0%)心功能不全者均予强心、利尿、营养心肌等对症治疗,5例(50.0%)应用rhGAA,其中2例予规范ERT 52周,开始治疗时间分别为4.9个月和7.0个月,截至随访结束时均存活,身高及体质量明显较ERT前增加,且增长速度大致同健康同龄儿;感染次数较ERT前明显减少;四肢肌力改善;发育评估示发育较ERT前明显改善;2例未规范ERT患儿应用呼吸机辅助通气,最长应用时间为21 d,但因病情进展迅速而死于呼吸衰竭,其ERT持续时间分别为27周、26周;1例未规范ERT患儿持续ERT 22周后放弃治疗,最终死于心力衰竭;未规范ERT患儿至随访结束时身高及体质量增加不理想,感染次数较ERT前稍减少;5例ERT患儿中,2例四肢肌力改善,但余3例肌力较治疗前变化不显著,且未行发育评估。10例IOPD患儿中8例(80.0%)死亡,死亡年龄中位数为10.5个月,2例(20.0%)存活,截至随访结束时年龄分别为25个月和35个月。8例死亡患儿中3例(30.0%)为未规范ERT患儿,均死于呼吸衰竭;5例(50.0%)为未ERT患儿,其中3例死于呼吸衰竭,2例死于心力衰竭。
LOPD组患儿均予抗感染等综合对症处理,2例(66.7%)应用呼吸机辅助通气,1例仅予ERT 1次,其治疗前后肌力无明显改善,至今依赖家用呼吸机生存,截至随访结束时较首次就诊时体质量减轻0.5 kg、身高增长5 cm。2例(66.7%)存活,截至随访结束时年龄分别为56个月和45个月;1例(33.3%)死于呼吸衰竭,死亡年龄为42个月。
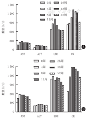
6例ERT患儿于治疗第0、4、8、12、26、38、52周行血生化检查(截至随访时间停止检查)。2例规范ERT患儿LDH、CK、AST、ALT水平随治疗时间总体呈下降趋势(图2);4例未规范ERT患儿中1例ERT 27周,LDH、CK、AST、ALT水平无明显下降趋势;1例ERT 22周,LDH、CK、AST、ALT水平呈明显上升趋势;1例ERT 26周,LDH、AST水平趋于稳定,CK、ALT水平呈明显上升趋势;1例仅予ERT 1次,治疗前后LDH、CK、AST、ALT水平均无明显变化趋势。


注:AST:谷草转氨酶;ALT:谷丙转氨酶;LDH:乳酸脱氢酶;CK:肌酸激酶;rhGAA:人重组酸性α-葡萄糖苷酶;ERT:酶替代治疗 AST:aspartate aminotransferase;ALT:alanine aminotransferase;LDH:lactate dehydroge-nase;CK:creatine kinase;rhGAA:recombinant human acid α-glucosidase;ERT:enzyme replacement therapy
2例规范ERT患儿治疗后LVMI较治疗前呈明显下降趋势并接近正常水平(图3);肥厚的心肌明显变薄、扩大的心腔明显缩小并趋于正常;胸片示心影亦明显减小并趋于正常;ECG示增高的左心室电压较治疗前降低,倒置的T波变为直立,但短PR现象仍存在。4例未规范ERT患儿LVMI随治疗无下降,其中1例患儿LVMI明显上升(图3);心肌厚度及心影变化较治疗前不显著。


注:ERT:酶替代治疗;LVMI:左心室质量指数;rhGAA:人重组酸性α-葡萄糖苷酶;例1和例2规范ERT,例3~例6未规范ERT ERT:enzyme replacement therapy;LVMI:left ventricular mass index;rhGAA:recombinant human acid α-glucosidase;patient 1 and patient 2 were given standard ERT,and patient 3 to patient 6 were given non-standard ERT
13例PD患儿中,9例死亡,4例存活,总生存率为30.8%。IOPD组中ERT组与无ERT组、规范ERT组与无ERT组的生存曲线存在显著性差异(Log Rank P=0.037、0.044),ERT患儿(50.0%)及规范ERT患儿(100.0%)的生存率均高于无ERT患儿(14.3%);规范ERT组与未规范ERT组、无ERT组与未规范ERT组生存曲线差异均不显著(Log Rank P=0.199、0.230),规范ERT组与未规范ERT组组间生存率(100.0%,25.0%)、无ERT组与未规范ERT组组间生存率(14.3%,25.0%)无显著差异(图4)。


注:ERT:酶替代治疗 ERT:enzyme replacement therapy
本组13例PD患儿临床表现出现时间及确诊时间均相对较晚,可能与国内儿科医师对PD认识不足有关。IOPD患儿常表现为特殊面容,如巨舌、吐舌、眼距增宽、"呆滞面容"等[6],本组有异常面容者均为IOPD患儿,特殊面容对于IOPD的识别有一定提示作用。PD患儿表现为四肢肌力减低、心脏受累、反复呼吸道感染、生长发育迟缓等,体现出临床表现的多样性及无特异性。同时,1岁以下婴儿出现生长发育落后、肌力减低,尤其是合并心肌肥厚时需警惕PD可能。另外,本组中1例患儿1岁以后发病,病情较IOPD患儿轻且病情进展缓慢,未予ERT,目前存活至4岁,且为无呼吸机生存,故考虑其为非经典型婴儿型庞贝病(non-classic infantile-onset form,NCIOPD)。NCIOPD主要为1岁左右发病,能获得独立行走能力,但常常不能跳,且伴不同程度心肌肥厚,该患儿与报道基本相符[7]。
血清肌酶水平为诊断PD较为简单的参考手段之一,95%的患儿血清CK水平升高,最高达正常上限的15倍[8]。本组患儿入院时肌酶水平均不同程度升高,其中2例因肌酶异常就诊。当PD患儿累及心脏时,ECG可出现短PR间期、高QRS波和广泛T波倒置,对于此种心电图应提高警惕,避免因延误诊断而错过最佳治疗时机。同时心肌肥厚为PD的常见首诊原因之一,心脏受累主要见于IOPD患儿,研究表明心脏受累的IOPD患儿与无心脏受累患儿相比发病时间更早,临床症状更严重[9],临床上需定期复查超声心动图监测肥厚心肌的变化情况。LOPD患儿通常心脏受累不明显[10],但本组3例LOPD患儿中1例存在心肌致密化不全,1例超声心动图显示左心增大,室间隔及右心室前壁心肌均匀性增厚,LVMI值高于正常水平,LVEF<55%;提示心脏受累并不绝对局限于IOPD患儿,LOPD患儿也可出现心脏受累,此与文献报道相符[11]。
GAA基因突变分析对PD有确诊意义[2,12]。目前已报道910种GAA基因变异,致病性变异共620种,包括严重致病、可能不严重致病、不严重致病、可能轻度致病[2,13]。本组IOPD组共9例患儿携带严重致病突变,包括c.859-2A>T、c.1935C>A、c.1822C>T、c.1437+1G>A、c.2214G>A、c.2662G>T、c.1082C>T、c.1822C>T等突变位点,患儿生后出现症状较早,表现为反复呛咳、呼吸道感染、肌力明显减低、心脏受累等,提示病情较重;1例IOPD患儿携带可能不严重致病突变及可能轻度致病突变,该患儿发病时间相对较晚,存活时间相比上述9例患儿较长,表型与既往报道基本相符[14]。LOPD组3例患儿均携带可能轻度致病突变,发病年龄晚,临床症状相对较轻。本组共发现3个新的突变位点:c.1861T>G(p.Trp621Gly)、c.2278A>T(p.K760X)、c.949G>A(p.A317T)。同时PD患儿临床表现均有异质性,本组携带c.1935C>A(p.D645E)突变位点的患儿确诊为IOPD,亦有携带该位点的LOPD表型的报道[15]。GAA基因突变的类型有助于初步预测CRIM状态、预估ERT疗效。报道显示至少携带一个c.1935C>A突变位点的患儿可有部分GAA酶活性残留,预测CRIM状态为阳性[16],同时至少携带1个错义突变者可产生少量GAA酶,亦常为CRIM阳性[17]。本组中2例规范ERT患儿预测CRIM状态均为阳性,ERT过程中产生高而持续的IgG抗体滴度可能性小,因此临床有较好的ERT疗效。本组2例未规范ERT患儿经多次应用rhGAA后仍死于呼吸衰竭及心力衰竭,除病情重、进展快外,可能与CRIM阴性、产生GAA酶抵抗有关。
研究报道未及时予ERT的大部分IOPD患儿在生后1年内死亡,18个月的存活率仅为12.3%[18];规律ERT的IOPD患儿均可存活至1岁,89%的患儿可存活至2岁,39%的患儿可存活至3岁[19]。本组ERT患儿生存率显著高于无ERT患儿,提示一旦确诊PD,及时且规范予ERT可明显延长患儿寿命。本组规范ERT的患儿至随访结束在体格发育、运动、语言、认知等方面均有明显改善,提示规范ERT可明显促进PD患儿的生长发育,且有实现其运动里程碑的可能[20]。2例规范ERT 52周的患儿治疗前后LVMI明显减小并趋于正常水平,提示rhGAA有逆转肥厚心脏的作用,同时规范ERT可改善IOPD患儿ECG的短PR间期及高QRS电压等表现,与报道一致[19]。本组规范ERT患儿的肌酶水平均随着治疗呈进行性下降趋势,且至随访结束仍无呼吸机生存,运动发育较前进步;未规范ERT患儿肌酶水平下降趋势不明显且随病情加重而上升,最终死于脏器功能衰竭,提示规范ERT可有效降低肌酶水平[21],并进一步验证了早期、规范应用ERT的必要性。然而,本组中规范ERT组与未规范ERT组生存曲线无显著性差异,考虑可能与2组病例数较少有关,需进一步扩大样本量进行验证。
综上,ERT将一种致命性强的疾病转变为虽无法治愈但可被治疗的疾病,极大程度上提高了患儿生命质量。但由于该病罕见,药物昂贵,阻碍了ERT的推广,其长期疗效有待于进一步的大样本研究证实。
所有作者均声明不存在利益冲突





















