
探讨纤维蛋白原(Fib)检测参考物质的互通性评价方法,评价Fib检测WHO国际标准品(WHO 09/264)、国际血栓与止血协会科学标准化委员会(SSC/ISTH)凝血标准品(SSC LOT4)及自制参考物质(RM01和RM02)的互通性,为实验室合理选择互通性评价方法及可靠的溯源标准提供参考。
评价国内常用检测系统Fib检测结果的可比性,若可比性不满足要求,使用WHO 09/264为各检测系统校准以改进可比性。在可比性满足要求的基础上,将待评价参考物质随机穿插于40例临床样本间,在Stago STA-R Evolution、Sysmex CS 5100、IL ACL TOP 700共3个系统上同时进行检测。参考美国临床实验室标准化协会(CLSI)指南文件EP14-A3和国际临床化学和检验医学联合会(IFCC)互通性评价工作组的推荐,分别采用Deming回归法及偏差差值评估法评价参考物质的互通性。
常用检测系统间Fib检测结果可比性无法满足要求,WHO国际标准品可改进检测系统间的可比性。Deming回归法互通性评价的允许范围受检测系统可比性影响,评价结果不可靠。偏差差值评估法考虑了临床需求,是一种更加合理的互通性评价方法。偏差差值评估法参考物质互通性评价结果显示,WHO 09/264在Stago和Sysmex两个检测系统间具有互通性,在Stago和IL两个检测系统间、Sysmex和IL两个检测系统间的互通性难以确定(WHO 09/264的校准效果表明,其在3个检测系统间的互通性符合要求);SSC LOT4在Stago和Sysmex两个检测系统间具有互通性,在Stago和IL两个检测系统间、Sysmex和IL两个检测系统间的互通性难以确定;RM01、RM02在3个检测系统间均具有互通性。
两种互通性评价方法的评价结果存在差异,推荐使用偏差差值评估法评价参考物质的互通性。WHO国际标准品和自制参考物质可作为Fib检测的溯源标准。
版权归中华医学会所有。
未经授权,不得转载、摘编本刊文章,不得使用本刊的版式设计。
除非特别声明,本刊刊出的所有文章不代表中华医学会和本刊编委会的观点。
互通性是指用不同检测系统检测参考物质时,各系统检测结果之间的数字关系与临床样本检测结果数学关系的一致程度[1]。本研究依据美国临床实验室标准化协会(CLSI)指南文件EP14-A3[2]、国际临床化学和检验医学联合会(IFCC)互通性评价工作组的推荐[3],使用Deming回归法和偏差差值评估法两种互通性评价方法,评价世界卫生组织(WHO)纤维蛋白原(Fib)检测标准品(WHO 09/264)、国际血栓与止血协会科学标准化委员会(SSC/ISTH)凝血标准品(SSC LOT4)和自制参考物质Fib检测在国内常用凝血检测系统的互通性。比较两种评价方法参考物质互通性评价结果,分析方法的优缺点,为实验室合理选择Fib检测参考物质的互通性评价方法及可靠的溯源标准提供参考。
40份覆盖待评价参考物质浓度范围的单人份临床样本,Fib浓度范围在1.0~5.0 g/L之间。样本采集4 h内分离血浆,每份样本分装2份,置于-70 ℃冻存,排除溶血、脂血和黄疸样本。
Fib检测WHO国际标准品(WHO 09/264)、SSC/ISTH凝血标准品(SSC LOT4)及自制参考物质(RM01和RM02)。
Stago STA-R Evolution全自动凝血分析仪及配套试剂,包括Fib检测试剂STA-Fibrinogen(批号253332)、正常和异常水平质控物STA System Control N+P(批号251003)、清洗液、稀释液等,均由法国Stago公司提供,Fib检测厂家校准方式为预定标;Sysmex CS 5100全自动凝血分析仪及配套Fib检测试剂Dade Thrombin Reagent(批号547559)、校准品Standard Human Plasma(批号503257B)、正常水平质控物Control Plasma N(批号507739)、异常水平质控物Control Plasma P(批号509997)、清洗液、稀释液等,均由日本Sysmex公司提供;IL ACL TOP 700全自动凝血分析仪及配套Fib检测试剂HemosIL Fibrinogen-C(批号N0184997)、校准品HemosIL Calibration Plasma(批号E0184689)、正常水平质控物Normal Control(批号N0771272)、异常水平质控物Low Abnormal Control(批号N0770949)、清洗液、稀释液等,均由美国IL公司提供。
2018年全国凝血试验室间质量评价(EQA)统计结果显示,共1 901家实验室参加了Fib检测全国EQA。其中,Sysmex、IL和Stago为国内Fib检测使用最多的3个品牌,86.5%的实验室的检测系统来自上述3个品牌。本研究使用Stago STA-R Evolution、Sysmex CS 5100和IL ACL TOP 700全自动凝血分析仪进行实验。各检测系统使用配套试剂检测,样本检测前后规范进行两个浓度水平室内质控,并保证质控结果合格。
检索Fib相关生物学变异(BV)文献并依据欧洲临床化学和检验医学联合会(EFLM)发布的生物学变异数据核查表(BIVAC)[4]进行文献筛选及评价。选择可靠BV数据计算3个水平的总误差(TE):最优TE(TEopt)、适当TE(TEdes)和最低TE(TEmin)。其中,TEopt=1.65×(0.25×CVI)+0.125×(CVI2+CVG2)0.5、TEdes=1.65×(0.5CVI)+0.25×(CVI2+CVG2)0.5、TEmin=1.65×(0.75×CVI)+0.375×(CVI2+CVG2)0.5,变异系数(CV):CVI为个体内生物学变异、CVG为个体间生物学变异。评价标准基于可靠BV数据制定,并确认是否在澳大利亚皇家病理学会(RCPA)及德国临床化学和检验医学学会(DGKL)等质评机构EQA允许范围的1/2以内。满足评价标准的样本比例在85%以上,认为可比性可接受。该评价标准同时作为参考物质偏差差值评估法互通性评价标准。
参考EP09-A3[5],单人份冻存血浆样本37 ℃水浴10 min,室温放置10 min,仪器规范校准、室内质控合格后,3个系统在厂家配套校准方式下同时检测样本,每份样本重复检测2次,所有样本在复融后4 h内完成检测。检测系统两两比较,计算满足评价标准的样本比例,评价可比性。若可比性不能满足要求,使用WHO 09/264为各系统校准,对同一批临床样本再次检测,评价改进后的可比性。
WHO 09/264及SSC LOT4各1支按照说明书要求,使用1 ml灭菌注射用水复溶,室温放置10 min;两水平自制参考物质各1支、40份单人份临床样本37 ℃水浴10 min,室温放置10 min,参考CLSI指南文件EP14-A3中的实验方法,仪器质控合格后,将待评价物质随机穿插于临床样本间,在三系统上同时检测。
根据文献评价结果,使用基于可靠BV研究数据[6]计算的TEmin的一半(±11.3%)作为评价标准。若系统间检测结果偏差小于±11.3%的样本比例>85.0%,则认为可比性可接受。该评价标准同时作为参考物质偏差差值评估法的互通性评价标准,若参考物质在不同系统间检测结果的偏差与临床样本系统间偏差均值的差值±不确定度小于±11.3%,则参考物质偏差差值评估法互通性评价结果判断为具有互通性。
参考EP09-A3,使用极端学生化偏差(ESD)的方法进行方法内和方法间离群值检验,剔除离群值。检测系统两两比较,以两系统样本检测结果的均值作为横坐标,相对偏差为纵坐标绘制偏差图,计算偏差满足评价标准的样本比例。
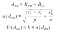
可比性满足要求的前提下,使用两种统计方法评价参考物质的互通性。(1)Deming回归法:依据EP14-A3,检测系统两两配对进行Deming回归,以其中1个检测系统样本检测结果的均值为横坐标,另1个系统样本检测结果的均值为纵坐标,计算临床样本对于相应的X值,其Y值的预测值及双侧95%的预测区间并绘制Deming回归图。若参考物质的检测结果在区间内,则认为参考物质具有互通性,若在区间外,则认为参考物质不具有互通性,若检测结果落在预测区间线上,则参考物质的互通性难以确定。(2)偏差差值评估法:参考IFCC互通性评价工作组推荐的偏差差值评估法评价参考物质的互通性。检测系统两两配对,以两系统检测结果均值为横坐标,检测结果的相对偏差为纵坐标绘制偏差图并按照下列公式计算不确定度:


其中,BRM为参考物质在两系统间检测结果的偏差,BCS为临床样本在两系统间检测结果的偏差均值,dRM为二者的差值;sx、sy分别表示待评价物质在X、Y两个系统的标准差,p为检测次数,sB为临床样本检测结果系统间偏差的标准差,n为临床样本例数,u(dRM)是dRM的合成不确定度;k为扩展因子,取k=2,U(dRM)为dRM的扩展不确定度。互通性评价标准以C表示,若dRM±U(dRM)在±C范围内,则参考物质具有互通性;若dRM±U(dRM)超出±C范围,则参考物质不具有互通性;若dRM±U(dRM)与±C范围存在重叠,则参考物质的互通性难以确定。数据处理和分析使用Microsoft Excel 2010软件。


注:A图示WHO 09/264校准后,Stago和Sysmex两系统Fib检测相对偏差图;B图示WHO 09/264校准后,IL和Stago两系统Fib检测相对偏差图;C图示WHO 09/264校准后,Sysmex和IL两系统Fib检测相对偏差图;红色虚线为可比性评价线
各系统在厂家配套校准方式下检测样本,Stago STA-R Evolution与Sysmex CS 5100两系统满足评价标准的样本比例仅为17.5%;Stago STA-R Evolution与IL ACL TOP 700两系统满足评价标准的样本比例为57.5%;Sysmex CS 5100与IL ACL TOP 700两系统满足评价标准的样本比例为87.5%。使用WHO 09/264为各检测系统校准后,Stago STA-R Evolution与Sysmex CS 5100两系统,40份样本检测结果均可满足评价标准;Stago STA-R Evolution与IL ACL TOP 700两系统满足评价标准的样本比例为85.0%;Sysmex CS 5100与IL ACL TOP 700两系统满足评价标准的样本比例为92.5%。校准后,各系统间满足评价标准的样本比例均>85.0%,可比性可接受。


注:A图示参考物质在Stago与Sysmex两个检测系统间Deming回归法互通性评价结果;B图示参考物质在Stago与IL两个检测系统间Deming回归法互通性评价结果;C图示参考物质在Sysmex与IL两个检测系统间Deming回归法互通性评价结果;黑色虚线为Deming回归线,红色虚线为95%预测区间
WHO 09/264在Sysmex和IL两个检测系统间具有互通性,在Stago和IL两个检测系统间不具有互通性,在Stago和Sysmex两个检测系统间的互通性难以确定;SSC LOT4在3个检测系统间均不具有互通性;RM01在3个检测系统间均具有互通性,RM02在Sysmex和IL两个检测系统间具有互通性,在Stago和IL两个检测系统间不具有互通性,在Stago和Sysmex两个检测系统间的互通性难以确定。


注:A图示参考物质在Stago与Sysmex两个检测系统间偏差差值评估法互通性评价结果;B图示参考物质在Stago与IL两个检测系统间偏差差值评估法互通性评价结果;C图示参考物质在Sysmex与IL两个检测系统间偏差差值评估法互通性评价结果;蓝色虚线为样本检测结果的偏差均值,红色虚线为互通性评价标准;圆形点表示临床样本系统间检测结果的相对偏差,方形点表示参考物质系统间检测结果的相对偏差,方形点上下的竖线表示不确定度
WHO 09/264在Stago和Sysmex两个检测系统间具有互通性,在Stago和IL两个检测系统间、Sysmex和IL两个检测系统间的互通性难以确定;SSC LOT4在Stago和Sysmex两个检测系统间具有互通性,在Stago和IL两个检测系统间、Sysmex和IL两个检测系统间的互通性难以确定;RM01、RM02在3个检测系统间均具有互通性。

两种评价方法参考物质互通性评价结果汇总
两种评价方法参考物质互通性评价结果汇总
| 参考物质 | Stago-Sysmex | Stago-IL | Sysmex-IL | |||
|---|---|---|---|---|---|---|
| Deming回归法 | 偏差差值评估法 | Deming回归法 | 偏差差值评估法 | Deming回归法 | 偏差差值评估法 | |
| WHO 09/264 | I | C | NC | I | C | I |
| SSC LOT4 | NC | C | NC | I | NC | I |
| RM01 | C | C | C | C | C | C |
| RM02 | I | C | NC | C | C | C |
注:C:互通;NC:不互通;I:难以确定
两种评价方法均显示自制参考物质RM01在3个检测系统间均具有互通性,RM02在Sysmex和IL两个检测系统间具有互通性。其余参考物质两种评价方法互通性评价结果不一致。
Fib检测是临床常用的凝血功能筛查试验之一,对血栓和出血性疾病的诊治、凝血功能和炎症状态的评估具有重要意义[7]。对于大出血、围手术期、获得性出血性疾病等患者,Fib还是指导血浆输注及疗效评价的重要指标[8]。Fib检测结果的准确性对临床做出正确的诊疗决策具有重要影响。有研究发现,不同检测系统间Fib检测结果的差异较大[9],提示需要进一步实施质量改进。研制并应用具有互通性的参考物质对于实施质量改进及促进检测结果的标准化具有重要意义[10],虽然CLSI和IFCC互通性评价工作组已发布了参考物质互通性评价的相关指南,但其在出凝血检测领域的研究较少,特别是对IFCC评价方法的研究尚无文献报道。为此,本研究同时使用两种方法对Fib检测参考物质的互通性进行评价,探讨合适的互通性评价方法。
CLSI指南推荐的互通性评价方法是线性回归,但该方法仅在统计学层面做数据处理和分析,评价结果与临床需求及参考物质的预期用途无关,评价标准会随着检测系统的可比性和精密度发生改变。例如,本研究Deming回归法的结果(图1)显示,Stago和Sysmex两个系统的互通性评价允许范围较窄,其他两组系统间的允许范围稍宽,同一参数的评价标准不同。若允许范围过窄,会造成评价标准过于严格,待评价物质检测结果易落在范围外,得出物质不具有互通性的结论;若允许范围过宽,会造成评价标准过于宽松,待评价物质检测结果易落在范围内,得出物质具有互通性的结论。考虑到回归分析法的上述不足,IFCC互通性评价工作组经过研究[11]发布了互通性评价的新方法[3]——偏差差值评估法。该方法是将待评价物质在不同系统间检测结果的偏差与临床样本系统间偏差均值的差值分布范围与临床允许范围做比较,判断参考物质是否具有互通性。此方法的评价标准固定且与临床需求密切相关,克服了回归分析法的不足。但如何制定科学、合理的评价标准是偏差差值评估法实施过程中的一个关键问题。BV研究最常用于质量要求的制订。但是,Westgard网站上多数检测项目的BV数据引自一篇或少数几篇文献研究结果,部分文献年代较为久远,其科学性和严谨性不足[12]。因此,项目组在数据库中检索BV文献并依据EFLM发布的核查表对文献进行质量评估,筛选可靠BV数据,评价标准基于可靠BV数据推导。有研究者[13]指出,若基于临床要求制定的互通性评价标准过于严格,大部分临床样本尚无法满足评价标准,则该标准不适于作为参考物质的互通性评价标准。故本研究在制定评价标准时,除了考虑BV研究外,还结合不同质评机构的EQA允许范围进行综合考量,兼顾了临床需求和当前检测水平,评价标准设置的较为合理。
WHO 09/264和SSC LOT4在Stago和IL两个检测系统间、Sysmex和IL两个检测系统间偏差差值的分布范围横跨允许限,其互通性难以确定,与不确定度较大有关。偏差差值评估法不确定度大小受检测系统的可比性和精密度影响,即系统间的可比性越好,不确定度越小,检测系统的精密度越好,不确定度越小。本研究Stago和IL两个检测系统间、Sysmex和IL两个检测系统间样本检测结果偏差的标准差大于Stago和Sysmex两个检测系统;IL系统的精密度稍差。故参考物质在Stago和Sysmex两个检测系统间的不确定度较小,在Stago和IL两个检测系统间、Sysmex和IL两个检测系统间的不确定度较大。针对这种情况,项目组进一步参考IFCC互通性评价工作组的推荐,通过校准效果评价参考物质的互通性[14]。这种方法通过应用参考物质对检测系统作校准,校准后若样本在系统间检测结果的偏倚满足临床要求,可认为参考物质具有互通性。项目组以WHO 09/264为例,使用WHO 09/264为3个检测系统作校准,结果显示样本检测结果的偏倚明显减小,符合可比性评价标准,故可认为WHO 09/264在3个检测系统间具有互通性。
综上所述,偏差差值评估法评价标准的设定兼顾临床需求与当前检测技术水平,偏差差值评估法与回归分析法相比,是一种更加合理的互通性评价方法。WHO国际标准品和自制参考物质在3个检测系统间的互通性符合要求,可作为量值溯源的标准,用于Fib检测结果的标准化。
所有作者均声明不存在利益冲突





















