
探讨直接抗病毒药物(DAAs)治愈的初治慢性丙型肝炎(CHC)患者自然杀伤(NK)细胞的功能变化特点及粒细胞样髓源抑制细胞(gMDSCs)对NK细胞功能的影响。
前瞻性纳入2016年3月至2017 年1月解放军第五医学中心感染性疾病诊疗与研究中心经DAAs治愈的13例初治CHC患者 [男6例,女7例,年龄21~65(37±14)岁],13名健康人为健康对照[男6例,女7例,年龄21~57(36±11)岁]。采用流式细胞术分析DAAs治愈过程中外周血NK细胞和CD56bright、CD56dimNK细胞亚群,以及gMDSCs的免疫学特点。分析gMDSCs与NK细胞及其各亚群功能变化的相关性。通过NK细胞和gMDSCs共培养实验观察gMDSCs对NK细胞功能的影响,并探索其相关机制。
与健康对照组相比,CHC患者治疗前NK细胞及其CD56bright亚群、CD56dim亚群γ干扰素(IFN-γ)的表达降低[M(Q1,Q3)][3.182(2.757,4.237)比6.675(4.476,8.280),1.434(1.127,2.434)比3.045(1.680,4.856),2.611(1.749,3.498)比5.160(4.232,7.683)],CD107a的分泌增强[9.314(7.838,13.543)比3.480(2.938,6.824),2.544(1.366,4.768)比0.552(0.408,1.560),10.339(9.145,12.534)比3.488(3.117,5.651)](均P<0.05),gMDSCs的百分比和血浆精氨酸酶Ⅰ(arginase Ⅰ)浓度增高[7.050(4.180,12.538)比1.440(0.444,2.261),114.278(68.492,163.724)比64.753(50.809,93.278)] (均P<0.05);抗病毒治疗后,NK细胞及其亚群产生IFN-γ能力明显增强、CD107a的表达显著下降,gMDSCs的百分比和血浆arginase Ⅰ浓度明显降低(均P<0.05)。进一步分析发现,NK细胞和CD56dimNK细胞亚群产生IFN-γ的水平均与gMDSCs百分比呈负相关(r分别为0.668、-0.750,均P<0.05);随着gMDSCs百分比的增加,NK细胞及其亚群释放CD107a的水平逐渐升高,且CD56brightNK细胞脱颗粒能力与gMDSCs百分比呈显著正相关(r=0.711, P=0.021)。将NK细胞和gMDSCs共培养发现gMDSCs可抑制NK细胞IFN-γ的表达;阻断arginase Ⅰ途径可显著提高NK细胞产生IFN-γ的能力。
CHC患者外周血gMDSCs可通过arginase Ⅰ途径抑制NK细胞的功能,DAAs治愈的CHC患者gMDSCs百分比下降,NK细胞功能得到明显改善。
丙型肝炎是一种由丙型肝炎病毒(HCV)感染引起的全球性公共卫生威胁。急性HCV感染仅有20%~30%发生自发性病毒清除,还有约80%发展为慢性丙型肝炎(CHC)。全世界有超过7 100万例的慢性HCV感染者,每年有399 000人死于丙型肝炎相关的肝硬化和肝癌[1]。直接抗病毒药物(DAAs)的出现为CHC的治疗带来了革命性进展,世界卫生组织提出了2030年消除病毒性肝炎的目标[2]。但最终实现清除HCV感染的目标仍需预防性疫苗的产生,因此对HCV感染免疫致病机制的研究依然具有重要意义。利用DAAs清除HCV,不仅治愈了HCV感染者,更为研究者提供了一个非常好的研究慢性病毒感染病毒被清除后机体免疫重建的模型体系。本研究以DAAs治愈的初治CHC患者为研究对象,分析DAAs治疗及随访过程中患者外周血自然杀伤(NK)细胞和粒细胞样髓源抑制细胞(gMDSCs)的免疫学变化,并探讨二者的相互关系,以进一步阐释DAAs治疗对CHC患者机体免疫学特点的影响。
本研究为病例对照试验,前瞻性纳入2016年3月至2017 年1月解放军总医院第五医学中心感染性疾病诊疗与研究中心治愈的13例HCV 1b型感染初治CHC患者,其中男6例,女7例,年龄21~65(37±14)岁。纳入标准:(1)年龄≥18岁;(2)仅HCV基因1b型感染;(3)入组时患者的HCV RNA≥104 mU/L;(4)乙肝表面抗原(HBsAg)和HIV-1均为阴性[3]。排除标准:(1)有证据显示除HCV感染以外的疾病所导致的慢性肝病失代偿性肝病的证据,包括但不限于腹水、静脉曲张出血或肝性脑病病史;(2)确诊或疑似肝细胞癌或其他恶性肿瘤;(3)总胆红素≥34 μmol/L或丙氨酸转氨酶(ALT)≥ 5×ULN(参考值上限);(4)白蛋白<35 g/L;(5)甲胎蛋白(AFP)>100 mg/L (82.6 mU/L); AFP ≥ 50 mg/L且≤ 100 mg/L (≥ 41.3 mU/L且≤ 82.6 mU/L)的受试者需要进行肝脏超声检查,如有疑似肝细胞癌则应排除 ;(6)血红蛋白<85 g/L;(7)中性粒细胞绝对值<0.5×109细胞/L;(8)血小板计数<50×109细胞/L;(9)未控制的糖尿病或高血压;(10)中重度抑郁症。允许得到有效控制的轻度抑郁症患者入组[3]。所有入组患者采用达拉他韦(DCV)联合阿舒瑞韦(ASV)治疗24周,治疗后随访24周,以随访结束时HCV RNA仍检测不到判定为持续病毒学应答即治愈[3]。同时入组13名在解放军总医院第五医学中心进行健康查体的志愿者为健康对照(HC)组,其中男6例,女7例,年龄21~57(36±11)岁,并留取外周静脉血标本。该研究通过解放军第五医学中心伦理委员会审批(2016055D),所有研究对象均签署知情同意书。
本研究所用主要流式抗体:小鼠抗人CD3-BV421、CD56-BV510、CD16-PerCP-Cy5.5、γ干扰素(IFN-γ)-PE-Cy7、CD33-PE、CD15-PerCP-Cy5.5、CD11b-APC、CD14-APC-eFluor 780,均购自美国Biolegend公司;CD107a-FITC购自美国BD公司。
12-豆蔻酸-13-乙酸佛波醇(PMA)、离子霉素(IONO)均购自美国Sigma公司,重组人IL-12 p70购自美国PeproTech公司,重组人IL-18购自美国Biovision公司,Golgistop、破膜剂及破膜洗液购自美国BD公司。人精氨酸酶Ⅰ(arginase Ⅰ)ELISA检测试剂盒购自荷兰Hycult biotech公司,arginase I抑制剂nor-NOHA购自美国Cayman Chemicals公司,细胞分选试剂盒购自德国Miltenyi Biotec公司。
1. 人外周血单个核细胞(PBMCs)的分离与冻存:采用密度梯度离心法分离人外周抗凝静脉血PBMCs,用含10%二甲基亚砜和90% 胎牛血清(FBS)配制的冻存液进行细胞冻存[3]。
2. gMDSCs的流式分析:将新鲜分离的PBMCs浓度调整为1×107/ml,取100 μl置于5 ml流式管中加入抗体(CD33、CD11b、CD15、CD14、HLA-DR),混匀,室温避光孵育25 min;用1 ml PBS 1 500 转/min,5 min离心洗涤;弃上清,拍干;用200 μl 1%多聚甲醛液重悬细胞,4 ℃避光保存,24 h内上流式细胞仪检测,以CD11bhighCD33+HLA-DR-CD14-CD15+定义为gMDSC[4]。
3. NK细胞脱颗粒(CD107a)和产生IFN-γ能力测定:复苏冻存的PBMCs,用含10% FBS的RPMI-1640细胞培养液重悬细胞,按 5×105/孔铺入96孔细胞培养板中,向孔内加入刺激因子PMA(50 μg/L)+IONO(1 mg/L)或细胞因子IL-12(50 μg/L)+IL-18 (50 μg/L);同时向每孔加入CD107a荧光抗体和Golgistop(10 mg/L),混匀;置37 ℃、CO2细胞培养箱孵育6 h;收细胞,离心洗涤后加入表型抗体(CD3、CD56、CD16),室温避光染色25 min;离心洗涤,加入破膜剂4 ℃破膜30 min,破膜洗液洗涤;加入胞内抗体(IFN-γ),室温避光染色25 min;破膜洗液洗涤,弃上清,拍干;用200 μl 1%多聚甲醛液重悬细胞,4 ℃避光保存,24 h内上流式细胞仪检测。
4. gMDSCs和NK细胞共培养实验:外周血NK细胞的纯化按照NK细胞纯化试剂盒说明书操作,外周血gMDSCs的纯化采取CD14阴选和CD15阳选连续磁珠纯化法进行。将纯化后的NK细胞和自体gMDSCs以5∶1比例铺入96孔细胞培养板进行共培养,置37 ℃、CO2细胞培养箱孵育6 h检测NK细胞释放CD107a和IFN-γ的能力。同时,加入arginase Ⅰ抑制剂nor-NOHA(0.15 g/L)特异性阻断arginase Ⅰ依赖途径观察NK细胞释放CD107a和IFN-γ的能力变化。
5. 血浆arginase Ⅰ测定:按照购买的人arginase Ⅰ ELISA检测试剂盒说明书进行。
采用SPSS 21.0和Graphpad Prism 5.0软件进行数据分析。年龄符合正态分布,以±s表示;HC组和CHC组间比较采用独立样本t检验。外周血NK细胞及其亚群产生CD107a和IFN-γ的百分比、gMDSCs的百分比、血浆arginase Ⅰ的浓度为偏态分布,以M(Q1,Q3)表示;HC组和CHC组间比较采用Mann-Whitney U非参数检验,CHC组DAAs治疗前后比较采用 Wilcoxon秩和检验,相关性分析采用Spearman秩相关检验。双侧检验,检验水准α=0.05。
在体外分别用PMA+IONO、IL-12+IL-18刺激两组研究对象的PBMCs,通过流式细胞术检测NK细胞及其亚群分泌CD107a和IFN-γ的水平。结果显示:与HC组相比,CHC组患者在DCV/ASV治疗前外周血NK细胞产生IFN-γ的能力降低[3.182(2.757,4.237)比6.675(4.476,8.280)],而其细胞毒性(分泌CD107a的能力)增强[9.314(7.838,13.543)比3.480(2.938,6.824)](均P<0.05)。与治疗前相比,CHC组患者在DCV/ASV治疗第8周[5.580(4.048,8.283)]、12周[7.633(4.943,12.458)]、24周[5.535(3.826,10.305)]及治疗结束随访第4周[6.893(5.252,9.733)]时,NK细胞产生IFN-γ的能力提高(均P<0.05),且与HC组差异无统计学意义(P>0.05);分泌CD107a的水平在治疗结束随访第12周[6.571(4.653,8.388)]时开始下降(Z=-2.824,P=0.005),至24周时恢复至HC组水平(图1)。


注:0、2、4、8、12、24分别为慢性丙型肝炎(CHC)患者达拉他韦(DCV)/阿舒瑞韦(ASV)治疗第0(治疗前)、2、4、8、12、24周;FU4、FU12、FU24分别为CHC患者DCV/ASV治疗结束后随访第4、12、24周;HC为健康对照组;PMA为12-豆蔻酸-13-乙酸佛波醇;IONO为离子霉素;IL-12为白细胞介素12;IL-18为白细胞介素18;IFN-γ为γ干扰素;NK细胞为自然杀伤细胞;aP<0.05,bP<0.01,cP<0.001;因做该实验时操作失误导致1例标本废弃,故n=12
对NK细胞亚群进行分析发现,CD56brightNK细胞和CD56dimNK细胞产生IFN-γ和CD107a的水平与总NK细胞具有相同的变化趋势。但与DAAs治疗前[1.434(1.127,2.434)]相比,CHC患者CD56brightNK细胞产生IFN-γ的水平在治疗第8周[2.905,(1.133,4.664)]、12周[3.189(1.620,7.290)]、24周[3.282,(1.761,6.264)]和随访第4周[4.332,(1.077,6.868)]时显著增高(均P<0.05),且与HC组相比差异无统计学意义,但在随访第12周[1.640(0.910,2.391)]、24周[1.720(1.084,2.448)]时低于HC组[3.045(1.680,4.856)](均P<0.05);CD56dimNK细胞脱颗粒水平在治疗结束随访至第12周时较治疗前显著下降[7.224(4.767,9.211)比10.339(9.145,12.534),Z=-2.353,P=0.019],但至随访结束时仍高于HC组[6.803(4.379,9.181)比3.488(3.117,5.651),U=37.000,P=0.046](图2)。
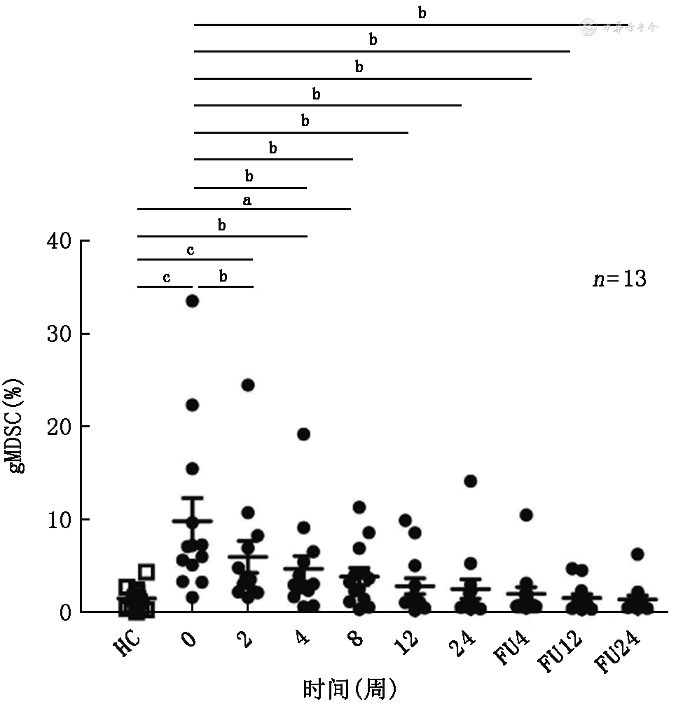
外周血gMDSCs的流式圈门策略如图3,对其百分比进行分析发现:与HC组相比,CHC组患者在DAAs治疗前外周血gMDSCs的百分比显著增高[7.050(4.180,12.538)比1.440(0.444,2.261),U=7.000,P<0.001];与治疗前相比,CHC组患者在DCV/ASV治疗第2周时开始显著下降[3.600,(2.216,7.565)比7.050(4.180,12.538),Z=-3.110,P=0.002],至治疗第12周时降至HC组水平[1.550(1.040,3.910)比1.440(0.444,2.261),U=68.000,P=0.412](图4)。




注:0、2、4、8、12、24分别为慢性丙型肝炎(CHC)患者达拉他韦(DCV)/阿舒瑞韦(ASV)治疗第0(治疗前)、2、4、8、12、24周;FU4、FU12、FU24分别为CHC患者DCV/ASV治疗结束后随访第4、12、24周;HC为健康对照组;gMDSC为粒细胞样髓源抑制细胞;aP<0.05,bP<0.01,cP<0.001
对CHC患者外周血gMDSCs百分比与NK细胞功能进行相关性分析,发现IL-12+IL-18刺激下,CHC患者治疗前外周血总NK细胞和CD56dimNK细胞产生IFN-γ的水平均与gMDSCs百分比呈负相关(r分别为0.668、-0.750,均P<0.05);随着gMDSCs百分比的增加,NK细胞及其亚群释放CD107a的水平逐渐升高,且CD56brightNK细胞脱颗粒能力与gMDSCs百分比呈显著正相关(r=0.711,P=0.021)(图5)。


注:gMDSC为粒细胞样髓源抑制细胞;NK细胞为自然杀伤细胞;IFN-γ为γ干扰素
本研究采用ELISA方法对两组研究对象血浆中arginase Ⅰ浓度进行测定,结果显示CHC患者DAAs治疗前血浆内arginase Ⅰ浓度显著高于HC组[114.278(68.492,163.724)比64.753(50.809,93.278),U=28.000,P=0.045],DAAs治疗第24周[67.719(35.866,100.300)]、随访第12周[67.983(41.777,106.696)]时较治疗前[114.278(68.492,163.724)]显著下降(均P<0.05)。进一步分析发现CHC患者血浆内arginase Ⅰ浓度与外周血gMDSCs百分比呈显著正相关(r=0.874,P=0.005)(图6)。


注:gMDSC为粒细胞样髓源抑制细胞;arginaseⅠ为精氨酸酶Ⅰ
为进一步探讨gMDSCs对NK细胞功能的影响及相关机制,本研究纯化了CHC患者外周血NK细胞和gMDSCs进行共培养,在IL-12+IL-18刺激下,发现与对照孔(单独NK细胞孔)相比,gMDSCs能显著降低NK细胞产生IFN-γ的能力[0.843(0.457,3.378)比35.800(24.720,52.920),U=0.000,P=0.008]。加入arginase Ⅰ抑制剂nor-NOHA可显著增强NK细胞和gMDSCs共培养孔中NK细胞分泌IFN-γ的水平[22.840(8.980,27.070)比0.843(0.457,3.378),Z=-2.023,P=0.043](图7)。


注:gMDSC为粒细胞样髓源抑制细胞;NK为自然杀伤细胞;nor-NOHA为arginase Ⅰ抑制剂;IFN-γ为γ干扰素
同时,本研究纯化了HC组外周血的NK细胞和gMDSCs进行共培养,亦得到同样结果。且CHC组和HC组两组人群在NK细胞分泌IFN-γ水平改变程度方面差异无统计学意义。
DAAs药物的上市,极大地提高了CHC患者的抗病毒治愈率,缩短了治疗时间,且较干扰素治疗具有更好的耐受性。自应用临床以来,其临床疗效已被大量研究证实,对其抗病毒免疫机制的研究成为研究者关注的重点,也是进一步优化抗病毒治疗策略乃至研制疫苗的迫切需求。
NK细胞是机体天然免疫的主要成分,抵御病毒感染的第一道防线,是机体抗HCV感染不可或缺的关键部分。HCV感染早期,NK细胞即参与机体抗HCV感染的免疫应答。慢性HCV感染阶段,NK细胞的表型和功能发生改变,且与抗病毒治疗效果有关。研究报道,DAAs治疗在清除HCV的同时,可恢复CHC患者NK细胞NKG2A、CD94、NKp30、NKp46、IFN-γ、CD107a等表型和功能分子的异常表达[5, 6, 7, 8, 9, 10]。本研究中对13例DCV/ASV治愈的初治CHC患者的NK细胞功能进行分析,发现CHC患者外周血NK细胞产生IFN-γ能力受损、细胞毒性增强,DAAs治疗可显著改善NK细胞的功能状态,这与既往报道一致。
髓源抑制细胞(MDSCs)是一群来源于骨髓的具有免疫抑制能力的异质性细胞,由髓系祖细胞和未成熟髓系细胞组成。研究证实在HCV慢性感染过程中,HCV核心蛋白和其他能够导致免疫逃逸的组分可以诱导MDSCs的增长,后者可通过抑制T细胞应答来发挥免疫抑制作用[11]。同时,有数据显示抗HCV治疗后,CHC患者外周血中HCV病毒载量与MDSCs百分比具有相同的下降趋势[12]。
根据细胞形态可将MDSCs分为gMDSCs和单核细胞样MDSCs(mMDSCs)。Pallett等[4]报道在慢性HBV感染者外周血中gMDSCs百分比在病情发展的不同阶段变化比较明显,且通过arginase Ⅰ依赖方式抑制T细胞免疫应答,在HBV免疫病理中发挥重要作用。但gMDSCs在慢性HCV感染中的免疫学特点尚未有报道。本研究发现CHC患者外周血gMDSCs百分比显著增高,且可通过arginase Ⅰ途径抑制NK细胞产生IFN-γ能力。DAAs治疗在清除HCV,恢复NK细胞功能的同时,gMDSCs的百分比显著降低。这些结果提示,HCV感染导致NK细胞功能受损可能与gMDSCs增高有关,arginase Ⅰ可能是其发挥作用的方式之一。但CHC患者肝组织内gMDSCs的分布情况,以及与NK细胞功能的关系尚需进一步研究。
总之,本研究分析了DAAs治愈的CHC患者外周血NK细胞和gMDSCs的免疫学特点,发现慢性HCV感染时患者外周血NK细胞功能受损并伴随gMDSCs百分比增高,后者可能通过arginase Ⅰ依赖途径抑制NK细胞产生IFN-γ,进而促进感染的慢性化进展。DAAs治疗在清除HCV的同时,可恢复NK细胞的功能及gMDSCs的异常增高。这些结果为进一步阐明DAAs 抗慢性HCV感染的免疫学机制提供了重要参考。
所有作者均声明不存在利益冲突





















