
Fetal brain development is a complicated process that continues throughout pregnancy. Fetal sulcus development has typical morphological features. Assessment of fetal sulcus development to understand the cortical maturation and development by prenatal ultrasound has become widespread. This study aimed to explore a reliable method to assess cortical sulcus and to describe the normal sonographic features of cortical sulcus development in the human fetus between 18 and 41 weeks of gestation.
A cross-sectional study was designed to examine the fetal cortical sulcus development at 18–41 weeks of gestation. Ultrasound was used to examine the insula, sylvian fissure (SF), parieto-occipital fissure (POF), and calcarine fissure (CF). Bland-Altman plots were used for assessing the concordance, and the intraclass correlation coefficient was used for assessing the reliability.
SF images were successfully obtained in 100% of participants at 22 weeks of gestation, while the POF images and CF images could be obtained in 100% at 23 weeks of gestation and 24 weeks of gestation, respectively. The SF width, temporal lobe depth, POF depth, and the CF depth increased with the developed gestation. The width of uncovered insula and the POF angle decreased with the developed gestation. By 23 weeks of gestation, the insula was beginning to be covered. Moreover, it completed at 35 weeks of gestation. The intra- and inter-observer agreements showed consistent reproducibility.
This study defined standard views of the fetal sulcus as well as the normal reference ranges of these sulcus measurements between 18 and 41 weeks of gestation. Such ultrasonographic measurements could be used to identify fetuses at risk of fetal neurological structural disorders.
版权归中华医学会所有。
未经授权,不得转载、摘编本刊文章,不得使用本刊的版式设计。
除非特别声明,本刊刊出的所有文章不代表中华医学会和本刊编委会的观点。
Fetal brain development is a complicated yet highly organized progressive process that continues throughout pregnancy, with intermittent periods of rapid brain growth (most notably at 26–28 weeks of gestation). Histology has been a dominant modality and remains to be an important method to study the detailed neural structures of brain development.[1,2,3,4] The sylvian fissure (SF) can be identified at 13–17 weeks of gestation in fetal brain specimens.[1] By the end of pregnancy, it is a complex array of sulci (furrows) and gyri (ridges) looking much like an adult. The term malformation of cortical development was introduced to designate a collectively common group of disorders. For example, lissencephaly (smooth brain) is a neurological disorder characterized by a few shallow sulci on the cerebral surface. Early diagnosis is important due to its dismal prognosis.
Assessment of fetal sulcus development to understand the cortical maturation and development by prenatal ultrasound has become widespread. Traditionally, transabdominal two-dimensional ultrasonography has been the main method to assess fetal cerebral sulcus development.[5] More recently, three-dimensional ultrasonography and magnetic resonance imaging (MRI) for the assessment of cerebral fissure development in fetus have been described.[6,7,8] However, two-dimensional ultrasonography is always the most convenient and effective method for prenatal examination.
Despite the potential value of such assessment, few studies with relatively small numbers of individuals have described normal gyration. Perhaps, because of the small sample size and the lack of standardization of the ultrasonographic views, these studies showed significant variation in the measurements of fetal sulcus development. For example, the gestational ages at which the parieto-occipital fissure (POF) was first visualized in these studies varied from 18.5 to 24 weeks.[9,10] Moreover, very few studies have described the progression of gyration over time.[8,11,12] This study aimed to describe and measure the normal ultrasonographic features of cortical sulcus development (especially the insula, SF, POF, and calcarine fissure [CF]) in human fetus between 18 and 41 weeks of gestation in a large Chinese population.
This was a cross-sectional study, which was approved by the Ethics Committee of Shenzhen Maternity and Child Healthcare Hospital, and the written informed consent was obtained from all participants. From January 1 to December 31, 2013, pregnant women were invited to participate if they had an uncomplicated singleton pregnancy between 18 and 41 weeks of gestation with normal fetal growth (the estimated fetal weight above the 10th percentile[13]), accurate gestational age dating (based on the last menstrual period and confirmed with the first trimester ultrasound), and without evidence of a structural defect on ultrasound. Pregnant women with risk factors for abnormal neurodevelopment or medical conditions that might affect fetal growth were excluded from the study. No patients were included twice. Standard biometric data were recorded as part of the 20-min prenatal scan. Thereafter, measurements were taken of a number of cerebral parameters using electronic calipers (including the insula, SF, POF, and CF) and the ultrasound images stored with and without the measurements for further review and analysis.
Transabdominal ultrasonography of the fetal brain was performed using an ACUSON SC2000 or ACUSON 512 Sequoia (Siemens Ltd., Germany) or ACCUVIX A30 (Samsung Medison, Korea) ultrasound system, equipped with a 3–6 MHz probe. Axial and coronal images were used, as needed, to view the sulci. A sulcus was defined as being present if a distinct notch or indentation could be seen in the expected location. The entire imaging of the fetal brain was usually completed within 10–15 min.
A standard axial view of fetal head was obtained at the level of the biparietal diameter (BPD), which was characterized by the presence of three anatomical landmarks: The ambient cisterna, the third ventricle, and the inferior portion of the cavum septum pellucidum at the columns of the fornix. A minor caudad adjustment was then made to obtain the SF image [Figure 1]. The following measurements were taken: (1) the temporal depth was measured as the distance from the temporal end point of the common boundary between the temporal and insular lobes to the outermost border of the temporal lobe cortex; (2) the SF depth was measured as the distance from the same point to the inner cortical table of the parietal bone; (3) the SF width was measured as the distance from the same point to the frontal end point of the common boundary between the frontal and insular lobes; (4) the uncovered insula width was measured as the minimum distance between the temporal lobe prominence and the frontal lobe prominence. The uncovered ratio of the insula was then calculated as the uncovered width divided by the width of the SF. The insula (also known as the insular cortex or insular lobe) was that portion of the cerebral cortex folded deep within the lateral sulcus.


A standard axial view of fetal head was obtained at the level of the BPD. A minor cephalad adjustment was then made to obtain the POF image [Figure 2], which is characterized by the presence and shape of the white matter fibers and falx cerebrum (looking like a "III" ). The POF appears triangular with the apex pointing away from the midline. The POF depth was measured as the distance from the apex of the fissure to the midline. The POF angle was then measured.


Again, a standard axial view of fetal head was obtained at the level of the BPD. The ultrasound probe was turned 90° to obtain a coronal view of the posterior fossa and then adjusted to obtain a plane, in which the CF, POF, falx, tentorium of the cerebellum, and the cisterna magna were visualized [Figure 3]. On the coronal view, the POF was upper to the CF. The CF depth was measured as the perpendicular distance from the apex of the fissure to the boundary between the falx and tentorium.


All ultrasound examinations were performed by one observer. A second observer, blinded to both the original stored images and the measurements obtained by the first observer, was randomly assigned sixty fetuses to evaluate interobserver agreement. Each observer measured three times. The mean of three values from observer 1 was used to calculate the mean and standard deviation (SD) for every interval. To evaluate intraobserver agreement, comparisons were made between the second and third values of observer 1. For the inter-observer agreement analysis, the means of the second and third values of each observer were compared.
Fetal measurements were grouped into 24 intervals (e.g., 18.00–18.86 weeks can be seen as one group called 18 weeks). The data were expressed as mean ± SD or median (Q1, Q3) for categorical variables. The mean relative difference of Bland-Altman plots (95 limits of agreement [LOA]) was used for assessing the concordance. The intraclass correlation coefficient (ICC) was used to assess the reliability for each measurement. All statistical analyses were performed using SPSS version 13.0 (SPSS Inc., Chicago, IL, USA). A P < 0.05 was considered statistically significant.
Initially, 865 pregnant women were included, and 119 pregnant women were excluded from the study because of a discrepancy of 7 days or more between the gestational age according to the crown-rump length and the menstrual dating, or having risk factors for fetal growth or development, such as maternal disease or previous intrauterine growth restriction. Finally, a total of 746 pregnant women with uncomplicated singleton pregnancies were enrolled in the study. The mean maternal age was 29.3 ± 4.5 years. There were 364 (48.8%) female and 382 (51.2%) male fetuses. All fetuses had confirmed gestational age dating in the first trimester and normal anatomy at 18–20 weeks of gestation by ultrasound examination.
Adequate visualization of the SF, POF, and CF images and thus the ability to attain these measurements varied with gestational age. SF images were successfully obtained in 29.4% (5/17) of individuals at 18 weeks of gestation, 21.0% (12/57) at 19 weeks, 36.4% (12/33) at 20 weeks, 51.4% (19/37) at 21 weeks, and 100% (27/27) at 22 weeks. POF images were successfully obtained in 0% (0/17) at 18 weeks, 5.2% (3/57) at 19 weeks, 18.2% (6/33) at 20 weeks, 40.5% (15/37) at 21 weeks, 88.9% (24/27) at 22 weeks, and 100% (44/44) at 23 weeks. CF images were successfully obtained in 0% (0/17) at 18 weeks, 0% (0/57) at 19 weeks, 12.1% (4/33) at 20 weeks, 27.0% (10/37) at 21 weeks, 48.1% (13/27) at 22 weeks of gestation, 72.7% (32/44) at 23 weeks, and 100% (39/39) at 24 weeks. By 24 weeks of gestation, SF, POF, and CF images could be obtained successfully for all fetuses.
The normal references for each of these cerebral sulcus measurements, including the SF width, temporal lobe depth, width of uncovered insula, POF depth, POF angle, and CF depth, across the full spectrum of gestational ages were recorded [Figure 4]. The uncovered ratio of the insula was also calculated. The SF width, temporal lobe depth, POF depth, and the CF depth increased with the developed gestation. The width of uncovered insula and the POF angle decreased with the developed gestation. By 23 weeks of gestation, the insula was beginning to be covered. And, it completed at 35 weeks of gestation. The measurements of 746 fetuses at different gestational ages are shown in Table 1.

Measurements of 746 fetuses at different gestational ages
Measurements of 746 fetuses at different gestational ages
| Gestational ages | SF width (mm) | SF depth (mm) | Temporal lobe depth (mm) | Uncovered width of insula (mm) |
|---|---|---|---|---|
| 18 weeks (n = 17) | 4.70 (1.00, 5.85) | 3.55 (1.35, 5.93) | 3.75 (0.90, 4.50) | 4.70 (1.00, 5.85) |
| 19 weeks (n = 57) | 5.70 (5.12, 6.10) | 6.15 (5.50, 6.90) | 4.20 (3.72, 4.77) | 5.70 (5.12, 6.10) |
| 20 weeks (n = 33) | 5.70 (5.21, 6.35) | 6.90 (5.51, 7.23) | 4.57 (3.61, 5.35) | 5.70 (5.21, 6.35) |
| 21 weeks (n = 37) | 6.90 (5.37, 7.40) | 7.93 (6.37, 8.60) | 5.60 (4.67, 6.20) | 6.90 (5.34, 7.38) |
| 22 weeks (n = 27) | 8.38 (7.39, 10.17) | 8.95 (7.95, 9.82) | 6.43 (5.80, 6.89) | 8.38 (7.20, 10.15) |
| 23 weeks (n = 44) | 10.03 (8.67, 11.97) | 10.33 (8.97, 11.06) | 7.07 (6.50, 8.18) | 8.93 (7.93, 10.39) |
| 24 weeks (n = 39) | 11.23 (9.73, 12.63) | 10.97 (9.30, 11.57) | 7.73 (6.90, 8.20) | 9.51 (7.97, 10.54) |
| 25 weeks (n = 26) | 12.61 (10.72, 15.57) | 11.91 (10.72, 13.09) | 8.50 (7.80, 9.05) | 10.41 (9.20, 11.81) |
| 26 weeks (n = 24) | 14.02 (12.30, 15.26) | 13.20 (12.48, 15.03) | 9.58 (7.80, 10.58) | 8.31 (7.76, 9.49) |
| 27 weeks (n = 30) | 16.76 (15.18, 18.38) | 14.85 (12.97, 16.67) | 10.12 (9.40, 11.26) | 7.40 (5.10, 9.40) |
| 28 weeks (n = 30) | 18.01 (16.47, 19.53) | 14.90 (12.97, 16.67) | 10.43 (8.69, 11.66) | 6.11 (5.08, 9.04) |
| 29 weeks (n = 29) | 18.60 (16.66, 20.15) | 15.33 (13.95, 16.76) | 11.10 (9.85, 12.03) | 5.97 (3.68, 7.11) |
| 30 weeks (n = 50) | 19.57 (17.85, 21.18) | 16.10 (14.81, 17.66) | 12.87 (11.51, 14.31) | 3.75 (0.00, 6.07) |
| 31 weeks (n = 38) | 19.70 (17.35, 21.70) | 16.95 (14.90, 18.70) | 14.28 (12.58, 15.47) | 0.00 (0.00, 3.93) |
| 32 weeks (n = 33) | 21.60 (17.48, 22.26) | 18.23 (15.41, 19.02) | 14.37 (12.85, 15.75) | 0.00 (0.00, 0.65) |
| 33 weeks (n = 30) | 22.02 (16.94, 23.50) | 18.31 (15.61, 19.84) | 15.11 (12.24, 16.67) | – |
| 34 weeks (n = 29) | 22.63 (20.86, 24.81) | 19.23 (17.41, 21.02) | 16.60 (15.04, 18.78) | – |
| 35 weeks (n = 30) | 23.65 (21.03, 26.60) | 20.50 (19.77, 21.88) | 18.21 (17.03, 19.72) | – |
| 36 weeks (n = 36) | 23.85 (21.69, 26.21) | 20.90 (20.17, 22.87) | 18.30 (17.71, 20.03) | – |
| 37 weeks (n = 37) | 25.67 (23.73, 37.50) | 21.02 (19.24, 23.15) | 18.52 (16.85, 20.20) | – |
| 38 weeks (n = 27) | 25.70 (23.10, 28.67) | 21.70 (19.97, 23.16) | 19.30 (18.30, 20.77) | – |
| 39 weeks (n = 27) | 25.72 (23.47, 28.10) | 22.20 (21.20, 23.33) | 19.41 (18.47, 20.80) | – |
| 40 weeks (n = 11) | 26.83 (26.03, 30.63) | 23.70 (20.67, 24.43) | 20.31 (18.83, 21.72) | – |
| 41 weeks (n = 5) | 26.90 (26.42, 30.81) | 24.40 (22.28, 25.37) | 20.73 (19.67, 21.27) | – |
| Gestational ages | Uncovered ratio of insula | POF depth (mm) | POF angle (°) | CF depth (mm) |
|---|---|---|---|---|
| 18 weeks (n = 17) | 1.00 (1.00, 1.00) | – | 180.00 (180.00, 180.00) | – |
| 19 weeks (n = 57) | 1.00 (1.00, 1.00) | 0.35 (0.00, 1.20) | 171.06 (147.33, 180.00) | – |
| 20 weeks (n = 33) | 1.00 (1.00, 1.00) | 1.46 (1.00, 1.50) | 143.50 (135.81, 148.33) | 0.00 (0.00, 1.46) |
| 21 weeks (n = 37) | 1.00 (0.98, 1.00) | 1.90 (1.30, 2.43) | 137.97 (123.73, 143.50) | 0.00 (0.00, 2.40) |
| 22 weeks (n = 27) | 1.00 (0.90, 1.00) | 2.31 (2.10, 2.75) | 134.01 (123.08, 144.62) | 1.71 (0.00, 2.49) |
| 23 weeks (n = 44) | 1.00 (0.83, 1.00) | 3.07 (2.43, 3.53) | 118.80 (107.25, 130.45) | 2.51 (0.00, 3.22) |
| 24 weeks (n = 39) | 0.85 (0.76, 1.00) | 3.56 (3.07, 4.05) | 111.17 (101.46, 120.09) | 3.37 (2.73, 4.80) |
| 25 weeks (n = 26) | 0.83 (0.74, 0.89) | 3.63 (3.28, 4.56) | 110.67 (95.23, 121.67) | 3.86 (3.27, 4.77) |
| 26 weeks (n = 24) | 0.64 (0.64, 0.70) | 4.74 (4.33, 6.94) | 87.22 (71.45, 102.75) | 5.00 (4.20, 5.60) |
| 27 weeks (n = 30) | 0.41 (0.31, 0.48) | 6.03 (4.32, 7.97) | 71.39 (52.50, 87.59) | 5.88 (4.67, 6.70) |
| 28 weeks (n = 30) | 0.37 (0.31, 0.52) | 7.36 (6.48, 8.32) | 52.33 (41.67, 79.68) | 7.36 (6.15, 8.92) |
| 29 weeks (n = 29) | 0.30 (0.21, 0.40) | 8.00 (6.23, 9.60) | 39.53 (33.33, 54.30) | 8.27 (6.15, 9.51) |
| 30 weeks (n = 50) | 0.19 (0.00, 0.30) | 10.32 (9.17, 11.57) | 0.00 (0.00, 29.62) | 9.63 (8.57, 11.10) |
| 31 weeks (n = 38) | 0.00 (0.00, 0.20) | 10.50 (9.60, 11.78) | – | 10.52 (9.61, 11.63) |
| 32 weeks (n = 33) | 0.00 (0.00, 0.02) | 11.33 (9.65, 13.71) | – | 11.20 (9.72, 12.18) |
| 33 weeks (n = 30) | – | 12.50 (10.23, 14.45) | – | 11.46 (9.95, 13.74) |
| 34 weeks (n = 29) | – | 12.95 (11.21, 14.20) | – | 12.57 (10.57, 13.52) |
| 35 weeks (n = 30) | – | 13.13 (11.58, 13.53) | – | 14.40 (13.05, 15.80) |
| 36 weeks (n = 36) | – | 13.43 (11.59, 13.80) | – | 14.55 (12.95, 15.87) |
| 37 weeks (n = 37) | – | 13.60 (11.95, 15.01) | – | 15.50 (13.91, 16.91) |
| 38 weeks (n = 27) | – | 13.76 (12.37, 15.20) | – | 15.70 (14.20, 17.40) |
| 39 weeks (n = 27) | – | 15.30 (14.26, 17.43) | – | 16.70 (14.53, 18.63) |
| 40 weeks (n = 11) | – | 16.27 (15.13, 17.45) | – | 20.23 (17.55, 22.17) |
| 41 weeks (n = 5) | – | 17.72 (15.50, 19.20) | – | 21.80 (20.50, 23.10) |
The data are shown as median (Q1, Q3). –: Not applicable; SF: Sylvian fissure; POF: Parieto-occipital fissure; CF: Calcarine fissure.


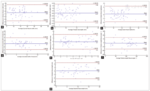
Our results showed that ICC for the measurements was high up to 0.999 for SF width, and all ICC values were higher than 0.750 [Table 2]. The mean interobserver difference between measurements and the mean difference in measurements between observers are shown in Table 3 and Figure 5. There were more than 95% dots in the LOA scale in every figure. The intra- and inter-observer agreements showed consistent reproducibility.

The ICC of all the measurements in this study
The ICC of all the measurements in this study
| Gestation ages | ICC (95% CI) | |||
|---|---|---|---|---|
| SF width | SF depth | Temporal lobe depth | Uncovered width of insula | |
| 18 weeks (n = 17) | 0.998 (0.988–1.000) | 0.975 (0.917–0.995) | 0.948 (0.825–0.989) | 0.890 (0.628–0.976) |
| 19 weeks (n = 57) | 0.998 (0.996–0.999) | 0.998 (0.997–0.999) | 0.998 (0.996–0.999) | 0.990 (0.984–0.994) |
| 20 weeks (n = 33) | 0.999 (0.998–0.999) | 0.996 (0.993–0.998) | 0.998 (0.996–0.999) | 0.996 (0.993–0.998) |
| 21 weeks (n = 37) | 0.952 (0.913–0.975) | 0.961 (0.930–0.980) | 0.979 (0.962–0.989) | 0.947 (0.904–0.973) |
| 22 weeks (n = 27) | 0.909 (0.826–0.956) | 0.894 (0.796–0.949) | 0.882 (0.772–0.944) | 0.912 (0.828–0.958) |
| 23 weeks (n = 44) | 0.937 (0.897–0.964) | 0.941 (0.903–0.966) | 0.939 (0.899–0.946) | 0.862 (0.772–0.920) |
| 24 weeks (n = 39) | 0.918 (0.860–0.954) | 0.781 (0.625–0.879) | 0.948 (0.912–0.971) | 0.949 (0.913–0.971) |
| 25 weeks (n = 26) | 0.968 (0.939–0.985) | 0.977 (0.956–0.989) | 0.961 (0.920–0.982) | 0.795 (0.575–0.910) |
| 26 weeks (n = 24) | 0.957 (0.916–0.980) | 0.978 (0.958–0.990) | 0.889 (0.752–0.957) | 0.799 (0.604–0.907) |
| 27 weeks (n = 30) | 0.978 (0.959–0.989) | 0.941 (0.882–0.970) | 0.837 (0.702–0.917) | 0.944 (0.883–0.976) |
| 28 weeks (n = 30) | 0.956 (0.919–0.978) | 0.833 (0.690–0.916) | 0.908 (0.826–0.955) | 0.940 (0.875–0.974) |
| 29 weeks (n = 29) | 0.895 (0.799–0.950) | 0.950 (0.904–0.976) | 0.876 (0.763–0.940) | 0.928 (0.860–0.964) |
| 30 weeks (n = 50) | 0.912 (0.857–0.948) | 0.951 (0.920–0.971) | 0.899 (0.838–0.940) | 0.944 (0.910–0.967) |
| 31 weeks (n = 38) | 0.932 (0.883–0.962) | 0.948 (0.911–0.971) | 0.891 (0.814–0.940) | 0.978 (0.963–0.988) |
| 32 weeks (n = 33) | 0.955 (0.918–0.977) | 0.786 (0.512–0.890) | 0.906 (0.829–0.952) | 0.973 (0.947–0.988) |
| 33 weeks (n = 30) | 0.973 (0.950–0.986) | 0.948 (0.905–0.974) | 0.925 (0.863–0.962) | 0.871 (0.728–0.945) |
| 34 weeks (n = 29) | 0.944 (0.894–0.973) | 0.962 (0.927–0.982) | 0.901 (0.777–0.961) | 0.978 (0.949–0.992) |
| 35 weeks (n = 30) | 0.944 (0.898–0.972) | 0.887 (0.792–0.942) | 0.796 (0.461–0.936) | – |
| 36 weeks (n = 36) | 0.826 (0.688–0.909) | 0.884 (0.792–0.940) | 0.904 (0.827–0.950) | – |
| 37 weeks (n = 37) | 0.866 (0.761–0.929) | 0.872 (0.772–0.933) | 0.914 (0.847–0.955) | – |
| 38 weeks (n = 27) | 0.933 (0.871–0.968) | 0.857 (0.744–0.936) | 0.914 (0.812–0.965) | – |
| 39 weeks (n = 27) | 0.873 (0.763–0.937) | 0.903 (0.819–0.952) | 0.907 (0.826–0.954) | – |
| 40 weeks (n = 11) | 0.830 (0.365–0.968) | 0.969 (0.885–0.994) | 0.946 (0.800–0.990) | – |
| 41 weeks (n = 5) | 0.989 (0.879–1.000) | – | – | – |
| Gestation ages | ICC (95% CI) | ||
|---|---|---|---|
| POF depth | POF angle | CF depth | |
| 18 weeks (n = 17) | – | – | – |
| 19 weeks (n = 57) | 0.828 (0.637–0.926) | 0.934 (0.886–0.964) | – |
| 20 weeks (n = 33) | 0.946 (0.884–0.978) | 0.900 (0.794–0.956) | 0.773 (0.586–0.996) |
| 21 weeks (n = 37) | 0.950 (0.902–0.976) | 0.817 (0.648–0.912) | 0.781 (0.625–0.879) |
| 22 weeks (n = 27) | 0.872 (0.743–0.942) | 0.980 (0.960–0.990) | 0.759 (0.285–0.899) |
| 23 weeks (n = 44) | 0.946 (0.910–0.969) | 0.938 (0.897–0.964) | 0.756 (0.514–0.871) |
| 24 weeks (n = 39) | 0.918 (0.860–0.954) | 0.949 (0.913–0.971) | 0.895 (0.819–0.942) |
| 25 weeks (n = 26) | 0.897 (0.802–0.950) | 0.949 (0.900–0.976) | 0.755 (0.523–0.884) |
| 26 weeks (n = 24) | 0.973 (0.948–0.988) | 0.919 (0.841–0.963) | 0.759 (0.502–0.895) |
| 27 weeks (n = 30) | 0.983 (0.968–0.991) | 0.959 (0.925–0.979) | 0.906 (0.798–0.961) |
| 28 weeks (n = 30) | 0.962 (0.930–0.980) | 0.978 (0.960–0.989) | 0.935 (0.873–0.970) |
| 29 weeks (n = 29) | 0.974 (0.952–0.987) | 0.976 (0.955–0.988) | 0.974 (0.951–0.987) |
| 30 weeks (n = 50) | 0.951 (0.922–0.971) | 0.993 (0.989–0.996) | 0.951 (0.920–0.971) |
| 31 weeks (n = 38) | 0.972 (0.952–0.985) | 0.986 (0.928–0.998) | 0.897 (0.823–0.943) |
| 32 weeks (n = 33) | 0.926 (0.865–0.962) | – | 0.938 (0.881–0.970) |
| 33 weeks (n = 30) | 0.958 (0.923–0.979) | – | 0.939 (0.886–0.970) |
| 34 weeks (n = 29) | 0.904 (0.821–0.952) | – | 0.928 (0.866–0.964) |
| 35 weeks (n = 30) | 0.876 (0.774–0.937) | – | 0.912 (0.838–0.956) |
| 36 weeks (n = 36) | 0.861 (0.756–0.925) | – | 0.895 (0.810–0.945) |
| 37 weeks (n = 37) | 0.884 (0.799–0.937) | – | 0.910 (0.826–0.958) |
| 38 weeks (n = 27) | 0.902 (0.809–0.954) | – | 0.808 (0.603–0.916) |
| 39 weeks (n = 27) | 0.948 (0.896–0.976) | – | 0.968 (0.931–0.987) |
| 40 weeks (n = 11) | 0.954 (0.877–0.992) | – | 0.856 (0.454–0.973) |
| 41 weeks (n = 5) | 0.989 (0.879–1.000) | – | 0.989 (0.879–1.000) |
SF: Sylvian fissure; POF: Parieto-occipital fissure; CF: Calcarine fissure; CI: Confidence interval; ICC: Intraclass correlation coefficient; –: Not applicable.

Interobserver reproducibility for measurement of fetal temporal lobe and SF, POF, and CFs
Interobserver reproducibility for measurement of fetal temporal lobe and SF, POF, and CFs
| Structure | Mean difference (95% LOA with 95% CI) |
|---|---|
| Temple lobe depth | 0.54 (−1.71 [−2.12–−1.31] to 1.86 [1.45–2.26]) |
| SF width | 0.01 (−3.58 [−4.28–−2.89] to 2.53 [1.84–3.22]) |
| SF depth | 0.10 (−1.82 [−2.28–−1.35] to 2.27 [1.81–2.73]) |
| Uncovered width of insula | 0.65 (−3.66 [−4.51–−2.81] to 3.88 [3.03–4.73]) |
| POF depth | −0.56 (−2.23 [−2.71–−1.75] to 2.07 [1.59–2.55]) |
| POF angle | 0.34 (−15.92 [−19.25–−12.58] to 14.06 [10.73–17.39]) |
| CF depth | 0.61 (−2.19 [−2.84–−1.56] to 2.39 [1.75–3.02]) |
LOA: Limits of agreement; CI: Confidence interval; SF: Sylvian fissure; CFs: Calcarine fissures; POF: Parieto-occipital fissure.


This was a large population-based cross-sectional study to assess fetal cortical sulcus development at 18–41 weeks of gestation. We described the standard ultrasound images, which could be used to evaluate the SF, POF, and CF as well as the specific ultrasonographic features of these images. We measured the SF width, temporal lobe depth, uncovered insula width, POF depth, POF angle, and CF depth in a large cohort of normal fetuses and calculated the normal reference range for each of these measurements between 18 and 41 weeks of gestation.
Histology has played a critical role in understanding the fetal cortical sulcus development; however, conventional neuropathological examinations have yielded conflicting results.[1,4] The fetal cortical development is a progressive process that contains three overlapped steps: neural cell proliferation, neuronal migration, and cortical folding. Malformations of cortical development have been classified initially in 1996, and the classification was updated in 2012. These disorders were classified at the structural as well as at the molecular level.[14] Both genetic abnormalities and prenatal insults can cause abnormal cortical development. In addition, time of the insult to fetal brain may cause different abnormal cortical development. For example, prenatal stroke may cause brain cavity if insult at or before 20 weeks, and it may cause polymicrogyria if insult at or before 25 weeks.[15,16] A few investigators have previously attempted to define the features of normal fetal cortical development by ultrasonography[17] and MRI,[18,19,20] and the sample sizes of these studies were small and the results were inconsistent. They only observed SF from transverse view[8] and coronal view.[5] In the current study, we defined three standard ultrasonographic images more accurately to measure fetal cortical sulcus development. The intra- and inter-observer agreements showed consistent reproducibility. This study showed that the SF image could be obtained early at 18 weeks of gestation and can be obtained in all cases at 22 weeks of gestation; the POF image could be obtained early at 19 weeks of gestation and can be obtained in all cases at 23 weeks of gestation; and the CF image could be obtained early at 20 weeks of gestation and can be obtained in all cases at 24 weeks of gestation.
This study also assessed the uncovered ratio of the insula and the POF angle and investigated how these measurements of fetal cortical sulcus development change with gestational age. Since the insula region on the lateral surface of the brain does not expand at the same rate as the rest of the cortex, it gradually becomes covered with cortical tissues arising from the frontal, temporal, and parietal lobes, which take on a plateau-like appearance. This plateau is known as the operculum (lid). In this study, we demonstrated that the insula and SF could be visible in all fetuses from 22 weeks onward, which was later than that reported in previous studies.[5,12] This could be explained by the fact that the SF image we defined in this study was more caudal than the BPD image used by the prior investigators[12] [Figure 1b], or that the prior studies involved few cases between 18 and 22 weeks of gestation. Prior reports have shown that the posterior operculum (arising from the temporal and parietal lobes) developed faster than the anterior operculum (arising from the frontal lobe).[11] Using the SF image described in this study, we were able to assess both the frontal and the posterior operculum, whereas the BPD view described in prior studies was only able to evaluate the posterior operculum. An abnormal uncovered ratio of the insula may reflect the stage of cerebral development at which the operculum becomes deranged. Consistent with our study, Chen et al.[21] observed opercular anomalies appeared to follow sequentially predetermined normal steps in the development of infants and children. The POF depth measurement is objective, whereas the POF angle is more subjective. As pregnancy progresses, the POF depth increases and the POF angle becomes more acute (decreases) [Figure 4].
This study defined standard SF, POF, and CF images of the fetal brain as well as the normal reference ranges of these sulcus measurements between 18 and 41 weeks of gestation. Based on the above data, we proposed a schematic model of normal fetal cortical sulcus development between 18 and 41 weeks of gestation [Figure 5]. Pistorius et al.[8] had divided the developmental form of SF, CF, and POF into five grades and they had analyzed them for every 4 weeks. In this study, dramatic changes in the appearance of the fetal cortical sulci were apparent for every 2 weeks. The SF, POF, and CF were not visible in all fetuses on transabdominal ultrasound examination until 22, 23, and 24 weeks, respectively. By 31 weeks of gestation, the insula was covered completely and the POF angle was 0° in almost all fetuses [Figure 4].
Abnormal sulcus development could be an early warning sign of an underlying fetal neurodevelopment migration disorder,[22] which may present clinically with cognitive deficits, epilepsy, and/or motor deficits.[15] Abnormal SF development seems to be the main marker of abnormal gyration. Opercular abnormalities may be caused by genetic factors, as usually seen in Miller-Dieker syndrome,[23] glutaric aciduria type 1,[24,25] methylmalonic acidaemia,[26] and nonsyndromic microencephaly.[27] However, abnormal operculization on prenatal imaging does not systematically reflect the underlying cortical dysplasia. It may be related to extracortical factors.[28,29] We should take ventriculomegaly, frontal hypoplasia, subarachnoid broadening arachnoid cyst, and other cerebral abnormalities into account.
The limitation of this study was that the hemispheres' asymmetry was not considered, partly because of fetal position and echo attenuation from posterior to skull. We are planning to conduct a MRI study of fetus cortical sulcus, including hemispheres’ asymmetry analysis. What is more important is a long-term follow-up of these cases in the future studies.
In summary, this study demonstrated that ultrasound is a reliable method to assess cortical sulcus development in the human fetus between 18 and 41 weeks of gestation. Such ultrasonographic measurements could also prove helpful in the future to identify fetuses at risk of fetal neurodevelopmental disorders. It should be remembered that transabdominal two-dimensional ultrasonography only visualizes part of a sulcus. In this study, we chose to focus selectively on the temporal lobe, SF, POF, and CF. Further studies using different imaging modalities and focusing on different sulci are needed to confirm these observations and further evaluate fetal brain development throughout pregnancy.
We would like to thank the assistance of Dr Jia-Xiang Yang from Department of Ultrasound, Maternity and Child Healthcare Hospital of Sichuan Province.
This work was supported by a grant from the National Natural Science Foundation of China (No. 81270707).
There are no conflicts of interest.
























