
了解2010-2018年中国成年居民健康体检现状及变化趋势,探讨健康体检率的主要影响因素,为制定健康干预政策提供数据支持和理论依据。
利用2010、2013、2015和2018年中国慢性病及危险因素监测横断面调查数据,对数据进行复杂加权后,分析中国成年居民健康体检率、变化趋势及健康体检原因构成比,采用年均变化百分比(AAPC)描述变化趋势。以Anderson模型为分析框架,采用多因素logistic回归模型分析健康体检率的影响因素。
2010-2018年中国成年居民健康体检率从28.2%(95%CI:24.8%~31.6%)上升至41.0%(95%CI:38.9%~43.1%,趋势P<0.001),AAPC为5.47%,文化程度较低、人均年收入较低、农村和西部地区的居民年均增长幅度较大。2018年居民参与健康体检的原因以社区免费提供(36.7%)和单位免费提供(28.5%)为主。多因素分析结果显示,女性、年龄≥45岁、初中及以上文化程度、城市、参加医疗保险、人均年收入≥24 000元、患慢性病数≥1个、不吸烟、饮酒、身体活动充足人群的健康体检率较高。
中国成年居民健康体检率呈上升趋势,健康体检原因以免费提供为主。
版权归中华医学会所有。
未经授权,不得转载、摘编本刊文章,不得使用本刊的版式设计。
除非特别声明,本刊刊出的所有文章不代表中华医学会和本刊编委会的观点。
健康体检指通过医学手段和方法对受检者进行身体检查,了解受检者健康状况,早期发现疾病线索和健康隐患的诊疗行为[1],是针对无症状个体和群体的健康状况进行的医学检查与评价,不包括因病伤而进行的医学检查,其重点是对慢性非传染性疾病(慢性病)及其危险因素进行筛查与风险甄别评估,并提供健康指导建议及干预方案[2]。健康体检是实施疾病早期预防和开展健康管理的有效手段,目前已成为世界各国预防疾病、控制健康风险因素、提高生活质量的重要手段。相比发达国家已经形成的健康体检模式[3],受限于相关政策、资金支持力度及居民健康意识水平,我国专业健康体检工作起步较晚,随着社会人口老龄化程度增高,慢性病患病率不断上升,居民健康素养水平逐年增强,国内健康体检需求日益增加。《健康中国行动(2019-2030年)》将人群健康体检率纳入慢性病防治行动的个人和社会倡导性指标,提出持续提高人群健康体检率[4]。本研究利用2010、2013、2015和2018年中国慢性病及危险因素监测4次横断面调查数据,了解中国成年居民健康体检现状及变化趋势,探讨健康体检率的主要影响因素,为制定健康干预政策提供数据支持和理论依据。
1. 研究对象:来源于2010、2013、2015和2018年中国慢性病及危险因素监测连续4次调查的数据。2010年在全国31个省(自治区、直辖市)的161个监测点开展,2013、2015、2018年覆盖全国31个省(自治区、直辖市)的298个监测点,采用多阶段分层整群随机抽样的方法抽取≥18岁常住居民,符合纳入标准者作为调查对象开展调查,总体设计与抽样方法见文献[5, 6]。本研究通过中国CDC慢性非传染性疾病预防控制中心伦理委员会审查(批准文号:201819),研究对象均签署知情同意书。
2. 调查内容和方法:采用面对面问卷调查方法,收集调查对象基本人口学信息、慢性病危险因素(吸烟、饮酒和身体活动等)、主要慢性病患病情况(高血压、糖尿病和血脂异常等)及健康体检相关信息。健康体检信息包括最近一次健康体检时间及健康体检原因,2010、2013年问卷问题为“您最近一次健康体检距现在多长时间了(不包括看病时的检查)”,2015、2018年问卷问题为“您最近一次健康体检是在什么时候(不包括看病时的体检)”。所有调查员经过培训并考核合格后参与调查,严格执行国家、省和调查点三级质量控制。
3. 理论框架和相关指标定义:健康体检率:近两年内自报进行过健康体检的调查对象在总人群中所占的比例;从未体检率:自报从未进行过健康体检的调查对象在总人群中所占的比例。采用Anderson模型作为分析框架,该模型广泛应用于卫生体系评价和卫生服务研究,认为个人在决定是否利用卫生服务时受4个维度的影响,包括倾向特征、能力资源、需求因素和健康相关行为[7, 8, 9]。①倾向特征:疾病发生前倾向于利用卫生服务的人群特征,包括人口学特征、社会结构、健康信念,本研究选取性别、年龄、民族、婚姻状况、文化程度和职业6个指标。农林牧渔水利业指相关生产人员/生产、运输设备操作及有关人员;国家机关等指国家机关、党群组织、企事业单位负责人/专业技术人员/办事人员。②能力资源:个体获得医疗卫生服务的能力以及医疗卫生服务资源的可获得性,本研究选取城乡、地区、医疗保险情况和人均年收入4个指标。③需求因素:个体感受到的医疗服务需要,本研究选取患慢性病数和自评健康状况2个指标。患慢性病数为自报被诊断为高血压、糖尿病、血脂异常、肾脏疾病、脑卒中、心肌梗死的疾病数量。④健康相关行为:人类个体或群体与健康或疾病有关联的行为,本研究选取吸烟、饮酒和身体活动情况3个指标[10]。吸烟指调查时或调查以前有吸烟行为(不论是否每天吸烟);饮酒指过去12个月内有过饮酒行为;身体活动充足指中等强度或相当强度活动时间>150 min/周,身体活动不足指中等强度或相当强度活动时间≤150 min/周。
4. 统计学分析:采用SAS 9.4软件对数据进行统计学分析。由于样本来自复杂抽样设计,统计分析均经过复杂加权调整,为确保4次调查的全国代表性和可比性,采用第六次全国人口普查数据调整年龄结构[11]。一般人口学特征采用人数和构成比描述,健康体检率采用率和95%CI描述,采用logistic回归模型分析4次调查中健康体检率的变化趋势,使用美国癌症数据中心开发的Joinpoint 4.9.1.0软件,采用对数线性回归法计算年均变化百分比(AAPC)。健康体检原因情况用构成比描述,采用基于设计校正的Rao-Scott χ2检验比较组间差异。利用2018年调查数据分析健康体检率的影响因素,以Anderson模型作为分析框架,多因素logistic回归分析以过去两年是否进行过健康体检为因变量,构建的4个模型考察倾向特征、能力资源、需求因素和健康相关行为对健康体检的影响,模型1仅纳入倾向特征,模型2在模型1的基础上纳入能力资源,模型3在模型2的基础上纳入需求因素,模型4在模型3的基础上纳入健康相关行为。双侧检验,检验水准α=0.05。
1. 一般人口学特征:2010、2013、2015和2018年4次调查有效样本量分别为98 120、176 534、189 605、184 509名,排除健康体检信息变量缺失的调查对象后,分别纳入96 701、172 012、189 441、184 404名研究对象。见表1。

2010-2018年中国慢性病及危险因素监测成年居民人口学特征
2010-2018年中国慢性病及危险因素监测成年居民人口学特征
| 变 量 | 2010年(n=96 701) | 2013年(n=172 012) | 2015年(n=189 441) | 2018年(n=184 404) |
|---|---|---|---|---|
| 性别 | ||||
| 男 | 44 204(45.7) | 73 241(42.6) | 88 974(47.0) | 81 859(44.4) |
| 女 | 52 497(54.3) | 98 771(57.4) | 100 467(53.0) | 102 545(55.6) |
| 年龄组(岁) | ||||
| 18~ | 21 470(22.2) | 23 424(13.6) | 28 475(15.0) | 18 654(10.1) |
| 35~ | 22 787(23.6) | 31 961(18.6) | 30 085(15.9) | 22 531(12.2) |
| 45~ | 22 424(23.2) | 43 592(25.3) | 48 224(25.5) | 46 049(25.0) |
| 55~ | 18 022(18.6) | 42 876(24.9) | 45 318(23.9) | 49 658(26.9) |
| 65~ | 8 676(9.0) | 21 532(12.5) | 27 666(14.6) | 36 638(19.9) |
| ≥75 | 3 322(3.4) | 8 627(5.0) | 9 673(5.1) | 10 874(5.9) |
| 民族 | ||||
| 汉 | 82 291(85.1) | 152 356(88.6) | 165 805(87.5) | 161 378(87.5) |
| 其他 | 14 410(14.9) | 19 656(11.4) | 23 636(12.5) | 23 026(12.5) |
| 婚姻状况 | ||||
| 未婚 | 8 246(8.5) | 7 443(4.3) | 8 110(4.3) | 5 832(3.1) |
| 已婚/同居 | 78 774(81.5) | 147 761(85.9) | 171 660(90.6) | 167 014(90.6) |
| 丧偶/离异/分居 | 9 681(10.0) | 16 808(9.8) | 9 671(5.1) | 11 558(6.3) |
| 文化程度 | ||||
| 小学及以下 | 42 445(43.9) | 83 014(48.3) | 92 749(49.0) | 91 611(49.7) |
| 初中 | 30 656(31.7) | 53 795(31.3) | 57 899(30.6) | 55 860(30.3) |
| 高中/中专/技校 | 15 659(16.2) | 23 994(13.9) | 24 540(12.9) | 23 991(13.0) |
| 大专及以上 | 7 941(8.2) | 11 209(6.5) | 14 253(7.5) | 12 942(7.0) |
| 职业 | ||||
| 农林牧渔水利业 | 49 692(51.4) | 88 712(51.6) | 92 844(49.0) | 86 654(47.0) |
| 商业/服务业 | 5 510(5.7) | 7 818(4.6) | 10 156(5.4) | 8 620(4.7) |
| 国家机关等 | 10 812(11.2) | 15 495(9.0) | 16 400(8.7) | 13 810(7.5) |
| 家务/待业 | 15 566(16.1) | 32 333(18.8) | 34 631(18.3) | 38 308(20.7) |
| 离退休 | 7 705(7.9) | 14 186(8.2) | 17 162(9.0) | 20 443(11.1) |
| 其他 | 7 416(7.7) | 13 468(7.8) | 18 248(9.6) | 16 569(9.0) |
| 城乡 | ||||
| 城市 | 44 140(45.6) | 79 100(46.0) | 77 033(40.7) | 75 142(40.7) |
| 农村 | 52 561(54.4) | 92 912(54.0) | 112 408(59.3) | 109 262(59.3) |
| 地区 | ||||
| 东部 | 32 498(33.6) | 64 758(37.7) | 70 526(37.2) | 68 526(37.2) |
| 中部 | 30 214(31.2) | 49 959(29.0) | 53 706(28.4) | 53 098(28.8) |
| 西部 | 33 989(35.2) | 57 295(33.3) | 65 209(34.4) | 62 780(34.0) |
| 人均年收入(元) | ||||
| 0~ | 33 945(35.1) | 28 105(16.3) | 32 240(17.0) | 34 223(18.6) |
| 6 000~ | 22 159(22.9) | 31 857(18.5) | 32 657(17.2) | 31 607(17.1) |
| 12 000~ | 18 669(19.3) | 39 346(22.9) | 42 551(22.5) | 36 678(19.9) |
| ≥24 000 | 7 611(7.9) | 32 100(18.7) | 44 091(23.3) | 38 612(20.9) |
| 拒绝回答 | 14 317(14.8) | 40 604(23.6) | 37 902(20.0) | 43 284(23.5) |
注:括号外数据为人数,括号内数据为构成比(%)
2. 健康体检状况:2010-2018年中国成年居民过去两年健康体检率从28.2%(95%CI:24.8%~31.6%)上升至41.0%(95%CI:38.9%~43.1%,趋势P<0.001),AAPC为5.47%,除未婚、高中及以上文化程度、职业为其他、人均年收入≥12 000元的人群趋势变化差异无统计学意义外,其余特征人群均呈上升趋势(趋势P<0.05),其中年龄≥65岁、少数民族、小学及以下文化程度、职业为农林牧渔水利业、农村、西部地区、年收入<6 000元的人群年均增长幅度较大。从未体检率从66.9%(95%CI:63.3%~70.6%)下降至52.3%(95%CI:50.0%~54.7%,趋势P<0.001),AAPC为-3.14%。见表2。

2010-2018年中国慢性病及危险因素监测成年居民健康体检率(%,95%CI)
2010-2018年中国慢性病及危险因素监测成年居民健康体检率(%,95%CI)
| 变 量 | 2010年 | 2013年 | 2015年 | 2018年 | AAPC(%) | 趋势P值 |
|---|---|---|---|---|---|---|
| 从未体检率 | 66.9(63.3~70.6) | 63.0(60.2~65.8) | 58.5(55.9~61.0) | 52.3(50.0~54.7) | -3.14 | <0.001 |
| 过去两年健康体检率 | ||||||
| 性别 | ||||||
| 男 | 28.3(24.9~31.6) | 29.3(26.8~31.8) | 32.4(30.1~34.8) | 40.3(38.2~42.4) | 5.40 | <0.001 |
| 女 | 28.2(24.6~31.7) | 31.3(28.6~34.0) | 34.4(32.1~36.6) | 41.7(39.4~44.0) | 5.45 | <0.001 |
| 年龄组(岁) | ||||||
| 18~ | 33.3(29.4~37.2) | 30.1(27.1~33.1) | 31.3(28.6~34.0) | 38.6(36.0~41.2) | 2.79 | 0.021 |
| 35~ | 25.7(22.3~29.1) | 26.5(24.1~29.0) | 31.0(28.5~33.6) | 37.5(35.1~40.0) | 5.71 | <0.001 |
| 45~ | 25.6(22.3~29.0) | 28.5(26.0~31.0) | 30.3(28.0~32.7) | 37.4(35.1~39.7) | 5.23 | <0.001 |
| 55~ | 24.2(20.6~27.8) | 31.6(28.6~34.5) | 32.9(30.4~35.3) | 40.6(38.2~42.9) | 6.13 | <0.001 |
| 65~ | 26.5(22.3~30.7) | 41.2(37.3~45.1) | 50.3(47.1~53.4) | 61.5(58.9~64.2) | 9.19 | <0.001 |
| ≥75 | 27.0(22.2~31.7) | 37.6(33.0~42.2) | 49.6(45.3~53.8) | 61.0(57.9~64.1) | 9.92 | <0.001 |
| 民族 | ||||||
| 汉 | 29.3(25.7~32.8) | 31.5(28.9~34.2) | 34.2(31.9~36.6) | 41.8(39.7~43.9) | 5.18 | <0.001 |
| 其他 | 17.3(12.4~22.3) | 17.4(13.7~21.0) | 23.8(19.9~27.7) | 32.8(25.1~40.5) | 9.53 | 0.001 |
| 婚姻状况 | ||||||
| 未婚 | 40.4(36.3~44.5) | 34.7(30.9~38.6) | 35.9(31.7~40.1) | 43.2(40.0~46.4) | 1.37 | 0.266 |
| 已婚/同居 | 26.4(23.0~29.8) | 29.3(26.8~31.8) | 32.6(30.5~34.8) | 40.2(38.0~42.4) | 5.95 | <0.001 |
| 丧偶/离异/分居 | 24.7(21.0~28.4) | 35.2(31.4~39.0) | 41.7(38.3~45.1) | 48.8(45.7~51.8) | 7.86 | <0.001 |
| 文化程度 | ||||||
| 小学及以下 | 16.4(13.5~19.2) | 22.8(20.2~25.4) | 27.4(25.1~29.7) | 36.4(34.1~38.7) | 10.17 | <0.001 |
| 初中 | 23.6(20.3~26.8) | 25.0(22.8~27.3) | 26.1(24.2~28.0) | 33.9(31.8~36.0) | 5.51 | <0.001 |
| 高中/中专/技校 | 42.9(39.4~46.5) | 40.4(37.9~42.9) | 40.9(38.2~43.5) | 45.0(42.4~47.6) | 0.96 | 0.320 |
| 大专及以上 | 61.6(58.0~65.2) | 58.2(54.9~61.6) | 55.3(52.3~58.4) | 58.5(55.5~61.5) | -0.67 | 0.150 |
| 职业 | ||||||
| 农林牧渔水利业 | 16.0(13.3~18.7) | 22.1(19.6~24.6) | 23.6(21.7~25.5) | 32.3(29.9~34.7) | 8.86 | <0.001 |
| 商业/服务业 | 37.8(33.9~41.7) | 39.0(35.5~42.4) | 39.1(35.2~42.9) | 44.3(41.1~47.5) | 2.10 | 0.010 |
| 国家机关等 | 54.2(50.3~58.2) | 52.9(49.9~55.9) | 54.1(51.3~57.0) | 59.4(56.3~62.5) | 1.39 | 0.024 |
| 家务/待业 | 25.5(21.6~29.4) | 26.1(23.3~28.9) | 29.7(27.3~32.1) | 36.0(33.5~38.5) | 5.31 | <0.001 |
| 离退休 | 51.3(47.4~55.2) | 56.1(50.9~61.4) | 58.3(54.5~62.1) | 63.1(58.7~67.5) | 2.59 | <0.001 |
| 其他 | 40.2(35.8~44.6) | 32.4(28.7~36.1) | 32.4(28.8~36.1) | 40.4(37.2~43.5) | 0.76 | 0.732 |
| 城乡 | ||||||
| 城市 | 40.4(36.6~44.2) | 39.5(36.4~42.5) | 42.2(39.6~44.7) | 47.9(45.2~50.5) | 2.66 | <0.001 |
| 农村 | 17.7(14.7~20.8) | 22.6(20.2~25.1) | 24.0(22.0~26.0) | 33.6(31.2~36.1) | 8.58 | <0.001 |
| 地区 | ||||||
| 东部 | 36.7(30.2~43.1) | 38.3(33.7~42.9) | 40.8(37.1~44.6) | 47.0(43.3~50.7) | 3.62 | 0.002 |
| 中部 | 22.5(18.4~26.5) | 28.3(24.9~31.7) | 28.8(25.6~32.0) | 36.3(33.6~39.1) | 5.88 | <0.001 |
| 西部 | 21.7(17.7~25.7) | 20.0(16.9~23.1) | 26.8(24.1~29.4) | 36.8(33.3~40.4) | 8.65 | <0.001 |
| 人均年收入(元) | ||||||
| 0~ | 14.6(12.3~16.9) | 18.9(16.1~21.6) | 26.2(24.0~28.3) | 35.6(32.6~38.7) | 12.12 | <0.001 |
| 6 000~ | 26.2(22.9~29.6) | 24.1(21.9~26.2) | 25.2(23.4~27.1) | 33.0(30.4~35.5) | 4.01 | 0.002 |
| 12 000~ | 41.1(37.1~45.1) | 33.1(30.5~35.7) | 31.4(29.3~33.5) | 40.9(38.6~43.2) | 1.27 | 0.824 |
| ≥24 000 | 51.7(46.7~56.8) | 45.5(42.1~48.9) | 45.5(42.6~48.5) | 52.8(50.2~55.3) | 1.31 | 0.077 |
| 拒绝回答 | 29.7(24.8~34.6) | 29.3(25.7~32.9) | 29.4(26.7~32.0) | 37.5(34.3~40.6) | 3.85 | 0.004 |
| 合 计 | 28.2(24.8~31.6) | 30.3(27.7~32.8) | 33.4(31.2~35.6) | 41.0(38.9~43.1) | 5.47 | <0.001 |
注:AAPC:年均变化百分比
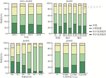
3. 健康体检原因:2010年居民健康体检原因从高到低依次为单位免费提供(35.2%)、自我保健(27.3%)、社区免费提供(25.8%)、其他(11.7%),2013、2015年居民健康体检原因均为社区免费提供占比最高,2018年居民健康体检原因从高到低依次为社区免费提供(36.7%)、单位免费提供(28.5%)、自我保健(26.4%)、其他(8.4%)。2018年不同性别、城乡、地区、年龄、人均年收入构成比差异均有统计学意义(P<0.05)。随年龄增长,社区免费提供体检占比逐渐上升。见图1。


4. 健康体检率的影响因素分析:多因素logistic回归分析结果显示,倾向特征的4个指标(性别、年龄、文化程度、职业),能力资源的4个指标(城乡、地区、医疗保险情况、人均年收入),需求因素的1个指标(患慢性病数),健康相关行为的3个指标(吸烟、饮酒和身体活动情况)是影响健康体检的因素。女性、年龄≥45岁、初中及以上文化程度、城市、东部地区、参加医疗保险、人均年收入≥24 000元、患慢性病数≥1个、不吸烟、饮酒、身体活动充足等人群的健康体检率较高。对所构建的模型进行拟合优度比较结果显示,所构建的4个模型对健康体检情况的解释程度逐步增强,通过分析R2值和调整R2值的增长幅度可以发现,加入能力资源后,模型解释程度上升情况最大,其后依次为需求因素和健康行为,由此可以看出,能力资源和需求因素是影响居民健康体检率的主要因素。见表3。

2018年中国慢性病及危险因素监测成年居民健康体检状况的多因素logistic回归分析[OR值(95%CI)]
2018年中国慢性病及危险因素监测成年居民健康体检状况的多因素logistic回归分析[OR值(95%CI)]
| 分 类 | 模型1 | 模型2 | 模型3 | 模型4 |
|---|---|---|---|---|
| 倾向特征 | ||||
| 性别 | ||||
| 男 | 1.00 | 1.00 | 1.00 | 1.00 |
| 女 | 1.12(1.06~1.17)a | 1.11(1.05~1.17)a | 1.14(1.08~1.20)a | 1.12(1.05~1.19)a |
| 年龄组(岁) | ||||
| 18~ | 1.00 | 1.00 | 1.00 | 1.00 |
| 35~ | 1.21(1.12~1.31)a | 1.13(1.04~1.22)a | 1.07(0.98~1.16) | 1.05(0.97~1.14) |
| 45~ | 1.49(1.36~1.62)a | 1.35(1.24~1.47)a | 1.16(1.06~1.27)a | 1.14(1.04~1.25)a |
| 55~ | 1.79(1.61~1.98)a | 1.69(1.53~1.88)a | 1.31(1.18~1.45)a | 1.31(1.18~1.46)a |
| 65~ | 4.75(4.17~5.41)a | 4.53(3.97~5.16)a | 3.38(2.96~3.85)a | 3.42(3.00~3.90)a |
| ≥75 | 4.58(3.92~5.36)a | 4.35(3.74~5.06)a | 3.25(2.80~3.78)a | 3.38(2.92~3.93)a |
| 民族 | ||||
| 汉 | 1.00 | 1.00 | 1.00 | 1.00 |
| 其他 | 0.88(0.70~1.12) | 0.94(0.75~1.18) | 0.95(0.76~1.19) | 0.94(0.75~1.19) |
| 婚姻状况 | ||||
| 未婚 | 1.00 | 1.00 | 1.00 | 1.00 |
| 已婚/同居 | 0.98(0.87~1.11) | 0.92(0.81~1.05) | 0.89(0.78~1.01) | 0.90(0.79~1.02) |
| 丧偶/离异/分居 | 1.01(0.88~1.17) | 0.95(0.82~1.10) | 0.89(0.77~1.03) | 0.90(0.78~1.05) |
| 文化程度 | ||||
| 小学及以下 | 1.00 | 1.00 | 1.00 | 1.00 |
| 初中 | 1.19(1.10~1.28)a | 1.11(1.02~1.20)a | 1.13(1.05~1.23)a | 1.13(1.04~1.22)a |
| 高中/中专/技校 | 1.71(1.54~1.90)a | 1.43(1.29~1.57)a | 1.46(1.33~1.61)a | 1.46(1.33~1.61)a |
| 大专及以上 | 2.67(2.35~3.04)a | 1.82(1.61~2.07)a | 1.87(1.65~2.12)a | 1.86(1.65~2.10)a |
| 职业 | ||||
| 农林牧渔水利业 | 1.00 | 1.00 | 1.00 | 1.00 |
| 商业/服务业 | 1.63(1.41~1.89)a | 1.34(1.17~1.55)a | 1.34(1.17~1.54)a | 1.34(1.16~1.54)a |
| 国家机关等 | 2.27(1.97~2.61)a | 1.71(1.49~1.96)a | 1.70(1.48~1.94)a | 1.71(1.49~1.95)a |
| 家务/待业 | 1.07(0.95~1.19) | 1.07(0.96~1.19) | 1.05(0.94~1.17) | 1.06(0.95~1.18) |
| 离退休 | 1.83(1.55~2.16)a | 1.10(0.93~1.30) | 0.98(0.83~1.17) | 0.97(0.82~1.15) |
| 其他 | 1.38(1.20~1.57)a | 1.23(1.08~1.40)a | 1.24(1.09~1.41)a | 1.24(1.09~1.41)a |
| 能力资源 | ||||
| 城乡 | ||||
| 农村 | 1.00 | 1.00 | 1.00 | |
| 城市 | 1.16(1.03~1.30)a | 1.14(1.02~1.28)a | 1.14(1.02~1.28)a | |
| 地区 | ||||
| 中部 | 1.00 | 1.00 | 1.00 | |
| 东部 | 1.32(1.15~1.52)a | 1.34(1.17~1.54)a | 1.33(1.17~1.52)a | |
| 西部 | 1.16(1.02~1.32)a | 1.19(1.05~1.36)a | 1.19(1.05~1.35)a | |
| 医疗保险情况 | ||||
| 未参加医疗保险 | 1.00 | 1.00 | 1.00 | |
| 城镇职工基本医疗保险 | 2.61(2.03~3.34)a | 2.52(1.97~3.23)a | 2.48(1.94~3.16)a | |
| 城乡居民基本医疗保险 | 1.46(1.14~1.86)a | 1.41(1.10~1.79)a | 1.38(1.09~1.76)a | |
| 公费医疗 | 2.94(1.61~5.36)a | 2.76(1.45~5.26)a | 2.36(1.26~4.42)a | |
| 商业医疗保险 | 1.44(0.93~2.22) | 1.43(0.93~2.21) | 1.38(0.90~2.13) | |
| 人均年收入(元) | ||||
| 0~ | 1.00 | 1.00 | 1.00 | |
| 6 000~ | 0.89(0.79~1.00) | 0.89(0.79~1.00) | 0.89(0.79~1.00) | |
| 12 000~ | 1.02(0.90~1.16) | 1.01(0.89~1.15) | 1.01(0.88~1.14) | |
| ≥24 000 | 1.16(1.02~1.32)a | 1.16(1.02~1.32)a | 1.15(1.02~1.31)a | |
| 拒绝回答 | 0.84(0.73~0.96)a | 0.85(0.74~0.97)a | 0.85(0.74~0.97)a | |
| 需求因素 | ||||
| 自评健康状况 | ||||
| 好 | 1.00 | 1.00 | ||
| 差 | 0.99(0.92~1.06) | 0.98(0.92~1.06) | ||
| 患慢性病数(个) | ||||
| 0 | 1.00 | 1.00 | ||
| 1 | 2.00(1.88~2.14)a | 2.01(1.88~2.15)a | ||
| ≥2 | 2.82(2.60~3.06)a | 2.87(2.64~3.11)a | ||
| 健康行为 | ||||
| 吸烟 | ||||
| 是 | 1.00 | |||
| 否 | 1.14(1.07~1.22)a | |||
| 饮酒 | ||||
| 是 | 1.00 | |||
| 否 | 0.86(0.80~0.92)a | |||
| 身体活动情况 | ||||
| 不足 | 1.00 | |||
| 充足 | 1.23(1.09~1.38)a | |||
| R2值 | 0.087 8 | 0.106 6 | 0.125 1 | 0.127 5 |
| 调整R2值 | 0.118 4 | 0.143 7 | 0.168 7 | 0.171 9 |
注:模型1纳入倾向特征;模型2在模型1的基础上纳入能力资源;模型3在模型2的基础上纳入需求因素;模型4在模型3的基础上纳入健康相关行为;aP<0.05
健康体检通过体格检查、实验室检查和辅助检查等,结合病史、家族史和健康危险因素评估,可以掌握受检者的健康状况,从而早期发现、诊断和治疗疾病。尽管有研究提出,常规健康体检无法预防心肌梗死、卒中等心血管事件发生或降低疾病的死亡率[12],但可以提高糖尿病、高血压等慢性病的知晓率[13],从而提醒患者及早治疗和控制,改善体检者的健康态度,促进其采取健康行动,提升患者对预防性服务(如疫苗接种和癌症筛查)的接受程度,促进患者及其家人健康[14],建议高风险人群定期健康体检,特别是风险因素控制不佳、自评健康状况较低、卫生服务利用较差的人群等[15]。《健康中国行动(2019-2030年)》提倡居民定期进行健康体检;≥18岁成年人定期自我监测血压,血压正常高值人群和其他高危人群经常测量血压;<40岁血脂正常人群每2~5年检测1次血脂,≥40岁人群至少每年检测1次血脂,心脑血管疾病高危人群每6个月检测1次血脂。倡导老年人参加定期体检,经常监测呼吸、脉搏、血压、大小便情况,接受家庭医生团队的健康指导[4]。
本研究结果显示,2010-2018年中国成年居民过去两年健康体检率从28.2%上升至41.0%,从未体检率从66.9%下降至52.3%。2014年美国行为风险因素监测系统显示,美国成年居民过去一年健康体检率为64.5%[16];2014年德国健康更新调查显示,德国成年居民过去两年健康体检率为男性50.8%,女性49.8%[17];2018年沙特阿拉伯家庭健康调查显示,沙特阿拉伯定期体检率为49.27%[18]。由于各国根据经济状况和法律采取不同的健康体检模式,各国卫生保健系统对预防性检查和筛检的定义不同,以及健康体检的频率、数量和内容在不同研究中并不一致[3],可能造成各国健康体检率的报告差异。
本研究发现,2018年中国成年居民参加健康体检的原因以免费提供为主,包括社区免费提供(36.7%)和单位免费提供(28.5%),因自我保健和其他原因参加健康体检者占34.8%,高于张蕊和庞秀英[19]的研究中11.0%的自费比例,但仍处于较低水平,居民参与健康体检主动性不强,健康意识有待提高。
我国提供国家基本公共卫生服务项目,2009年国务院印发《医药卫生体制改革近期重点实施方案(2009-2011年)》,提出基本公共卫生服务覆盖城乡居民[20]。每年为>65岁老年人提供免费健康体检及健康管理服务,将≥35岁原发性高血压患者和2型糖尿病患者纳入慢性病患者健康管理,实施免费婚前检查和孕前优生健康检查项目,推行农村妇女免费宫颈癌和乳腺癌筛查项目。这些针对特定人群的免费健康体检政策,可能是造成性别、年龄等差异的原因。女性过去两年健康体检率高于男性,这与既往研究中女性参加预防性服务的概率高的结果一致,这可能与女性在其生活的不同阶段(如产前和产后)需要接受特定健康检查[21]、女性比男性更加重视个人的健康状况等因素有关[22]。本研究≥65岁年龄组健康体检率高于其他年龄组,与老年群体的身体健康状况和国家注重老年群体健康管理的政策相符。35~54岁组中年人群健康体检率较低,从未体检率较高,可能与其工作和生活紧张无暇顾及身体健康状况或自认为身体健康状况好不用体检等健康观念有关[23]。我国《健康体检基本项目专家共识》除必选项目外,针对不同年龄组提出疾病风险筛查项目建议,如高血压风险筛查(>20岁),冠心病、卒中风险筛查(>40岁),2型糖尿病风险筛查(>35岁)[2],许多慢性病筛查的体检项目建议从中年开始,我国中年群体健康体检率仍然需要提高。
城乡、地区间健康体检率存在差异,城市高于农村,东部地区高于中、西部,与既往研究结果一致[13,19,23, 24]。虽然我国多年来一直深化医药卫生体制改革,取得了显著成效,但城乡医疗卫生资源配置不均衡的问题仍然存在,农村基层服务能力薄弱、卫生服务可及性较差[25],部分地区开始采取不同形式在农村推行健康体检服务,如新疆维吾尔自治区实行全民免费健康体检,浙江省为全省参加新型农村合作医疗的农民每两年提供一次健康体检[26],但其他尚未政策覆盖的地区,居民自费健康体检的比例很低。在我国,部分地区城镇职工基本医疗保险为参保职工提供健康体检,新型农村合作医疗是农民健康体检的有效载体[27],有医疗保险的人群进行健康体检的概率更高。
需求因素是影响居民健康体检率的主要因素。自评健康状况较差的人健康体检率高,多因素分析差异无统计学意义,这与既往研究结果不一致[28],自评健康状况是测量健康状况的良好替代指标,是影响人们利用卫生服务的重要因素[29]。慢性病患者频繁接触医疗卫生服务,长期接受医疗监督,被建议和获得健康体检的可能性更大,出于渴望探索患病原因而进行健康体检。一般的健康检查对于慢性病患者、自评状况差的人群尤为有益,这些高风险人群应该定期进行健康检查。具有吸烟、身体活动不足等慢性病危险因素的人群健康体检的概率较低,可能与对健康相关行为的认知程度较差,健康意识不足,需要加强健康教育有关。
本研究存在局限性。一是由于问卷调查内容提供信息有限,仅有最近一次健康体检时间和体检原因,缺乏健康体检频率问题;二是自我报告的参与健康体检情况可能存在回忆偏倚;三是在使用Anderson模型时,纳入变量相对较少,缺乏医疗卫生服务可及性等环境因素指标、个体对待健康体检的认识和态度等个人健康观念指标,模型的解释力度较低。
综上所述,中国成年居民健康体检率呈上升趋势,文化程度较低、人均年收入较低、农村和西部地区的居民年均增长幅度较大,健康体检原因以免费提供为主,需求因素和能力资源是影响居民健康体检率的主要因素。《“健康中国2030”规划纲要》提出要发展健康服务新业态,鼓励发展健康体检、咨询等健康服务,促进个性化健康管理服务发展[30]。目前我国鼓励健康体检工作发展的政策相继出台,政府应继续完善我国基本医疗服务卫生制度,提升我国居民健康素养水平,持续提高我国居民健康体检率。
王蓝, 张梅, 赵振平, 等. 2010-2018年中国成年居民健康体检率变化趋势及影响因素分析[J]. 中华流行病学杂志, 2023, 44(7): 1037-1045. DOI: 10.3760/cma.j.cn112338-20230207-00061.
Wang L, Zhang M, Zhao ZP, et al. Analysis on trend of health examination rate and influencing factors in adults in China,2010-2018[J]. Chin J Epidemiol, 2023, 44(7):1037-1045. DOI: 10.3760/cma.j.cn112338-20230207-00061.
所有作者声明无利益冲突

























