
评价八种不同的灭活型病毒保存液对病毒核酸的保护效果。
收集八种商业化的灭活型病毒保存液,分别将新冠病毒假病毒标准物质和禽流感病毒样本加入保存液中,同时设置2个对照组(生理盐水和磷酸盐缓冲液),在保存温度为24 ℃和37 ℃条件下,保存时间为0 h、6 h、12 h、24 h、48 h、72 h,分别提取各保存液中的病毒核酸,采用逆转录荧光定量PCR(RT-qPCR)和逆转录数字PCR方法(RT-dPCR)检测病毒核酸的含量变化。
四种商业化病毒保存液A、E、G、H在不同温度和时间条件下对病毒核酸的保存效果明显。另外四种保存液保护效果较差:保存液B和C在37 ℃条件下12 h后保存效果变差,保存液D的保存效果在24 ℃和37 ℃下6 h后均明显减弱;保存液F对病毒核酸没有任何保护作用。
病毒保存液的保护效果差会导致核酸检测的假阴性,建议开展核酸检测时对使用的病毒保护液进行质量控制。
版权归中华医学会所有。
未经授权,不得转载、摘编本刊文章,不得使用本刊的版式设计。
除非特别声明,本刊刊出的所有文章不代表中华医学会和本刊编委会的观点。
呼吸道疾病在世界范围内是危害人类健康的重大疾病之一,其中又以急性病毒性呼吸道感染为主[1,2]。如新型冠状病毒(2019-nCoV),对全球公共健康、经济等众多领域造成了巨大破坏。目前,病原微生物感染检测的"金标准"是基于核酸的检测方法,多数研究集中在检测方法和试剂的灵敏度和准确性。新冠病毒核酸检测结果的准确与否对疫情的有效控制非常重要,因此也备受关注。在整个检测过程中出现的任何问题都可能会导致错误的诊断结果,尤其由于病毒核酸发生降解所导致的假阴性[3,4]。因此,病毒核酸样品保存对检测至关重要,而与其相关的研究较少[5,6]。商业化的一次性使用病毒采样管是以咽拭子或鼻拭子加病毒保存液及保存管的形式。在检测呼吸道疾病时,会使用咽拭子或鼻拭子进行样本采集,随后将其放入保存液中。在提取核酸之前,病毒样本将会在保存液中保存数小时或者数天。如果样本在采集、运输过程不能持续保持低温,样本中的核酸得不到有效保护,很容易导致样本发生降解,检测结果的质量就难以得到保证。
国务院应对新型冠状病毒感染肺炎疫情联防联控机制印发的《医疗机构新型冠状病毒核酸检测工作手册(试行第二版)》(联防联控机制医疗发〔2020〕313号),要求各医疗机构应当加强核酸检测质量控制。实验室应按照《国家卫生健康委办公厅关于医疗机构开展新型冠状病毒核酸检测有关要求的通知》(国卫办医函〔2020〕53号)要求规范开展室内质控。然而,目前的质量控制仅包括了样品提取、扩增和检测的环节,尚未包括病毒采样和保存环节的质量控制。
本研究采用逆转录实时荧光定量PCR(reverse transcribed real-time fluorescence quantitative PCR,RT-qPCR)和逆转录数字PCR(reverse transcription digital PCR,RT-dPCR)利用新冠病毒假病毒标准物质和禽流感病毒样本评价了八种商业化采样拭子保存液对病毒核酸的保护效果。结果发现不同的病毒保存液保护效果差异显著,在进行核酸检测时应当加强对病毒保存液的质量控制。
新型冠状病毒核酸标准物质(GBW(E)091090)和新型冠状病毒假病毒标准物质(NIM-RM5203)由中国计量科学研究院研制,灭活的禽流感病毒由中国动物卫生与流行病学中心提供。
不同厂家的一次性采样拭子保存液8种,来自石家庄康卫仕医疗器械有限公司、无锡百泰克生物技术有限公司、江苏默乐生物科技股份有限公司、浙江硕华生命科学研究股份有限公司、江苏荣业科技有限公司、北京傲美生物科技有限公司、杭州恩格生物医疗科技有限公司、沧州复康医药用品有限公司。磁珠法病毒基因组DNA/RNA提取试剂盒(傲美,北京);OneStep RT-qPCR Rrobe Kit(Cat#:AM1504)(傲美,北京);对照:医用级生理盐水(大冢,大连)、磷酸盐缓冲液(Biosharp,美国);Lightcycler Roche 480实时荧光定量PCR仪(罗氏,德国),QX200(伯乐,美国)等。
将灭活的禽流感病毒原液样本和新型冠状假病毒标准物质分别加入生理盐水中稀释至一定浓度,涡旋混匀后,各取5 μl,再分别按照1∶500和1∶50的比例加入A、B、C、D、E、F、G、H共八种病毒保存液和I、J对照中,每种处理分装200 μl/管,置于24 ℃和37 ℃保存。分别在0 h、6 h、12 h、24 h、48 h和72 h,每个条件下取1管用病毒基因组提取试剂盒进行核酸提取。
禽流感病毒的RT-qPCR方法使用北京傲美生物科技有限公司的一步法试剂盒(OneStep RT-qPCR Rrobe Kit),引物探针序列如表1。新冠假病毒的RT-qPCR方法使用上海伯杰医疗科技有限公司以ORFab1和N基因为靶标基因的新型冠状病毒2019-nCoV核酸检测试剂盒(荧光PCR法)。使用Lightcycler Roche 480实时荧光定量PCR仪对所有处理进行定量测量。

荧光定量PCR检测禽流感病毒的引物与探针序列信息
Information of primers and probe sequences of real-time PCR for avian influenza virus detection
荧光定量PCR检测禽流感病毒的引物与探针序列信息
Information of primers and probe sequences of real-time PCR for avian influenza virus detection
| 名称 | 引物和探针序列(5’-3’) | 工作浓度(nmol/L) |
|---|---|---|
| CGMV-F | CTTCTAACCGAGGTCGAAACGTA | 300 |
| CGMV-R | GGATTGGTCTTGTCTTTAGCCA | 300 |
| 探针 | FAM-TCAGGCCCCCTCAAAGCCGAGA-BHQ1 | 300 |
采用中国计量科学研究院研制的新冠病毒数字PCR试剂盒进行核酸定量[7]。
所有试验数据均使用IBM SPSS Statistics 26.0分析差异显著性。
根据临床阳性样本中检测的病毒载量分布(101~104拷贝/μl)[8],确定本实验中加入的起始样品的浓度。以新型冠状病毒核酸标准物质(GBW(E)091090)作为参考进行加入样本起始浓度的优化,以其0 h时的病毒检出量1.7×103拷贝/μl作为起始样本加入浓度,对应Ct值为27.97。以此Ct值及病毒核酸量为参考标准来稀释新冠病毒假病毒标准物质和禽流感样品。
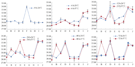
不同保存液中不同时间和温度下的核酸含量RT-qPCR检测结果Ct值变化见图1。首先对照组I(生理盐水)和J(磷酸缓冲液)在24 ℃和37 ℃条件下,随时间的推移,6 h的Ct值明显高于0 h,其Ct值分别增加1.75和1.21,对应的核酸含量减少了81%和72%,表明对照组I、J在6 h后对病毒核酸的保护效果变差。保存液B在24 ℃条件下Ct值波动较大,但未发现Ct值显著增加趋势,表明核酸含量没有明显降解,但在37 ℃条件下12 h后Ct值开始显著增加,其Ct值增加1.38,核酸含量降低了76%,表明在高温条件下,该保护液不具有较好的保护效力。此外,保存液C在37 ℃条件下12 h和保存液D在24 ℃和37 ℃条件下6 h后,Ct值均明显增高了0.41和0.76,对应的核酸含量降低19%和56%。保存液F在24 ℃和37 ℃条件下0 h时Ct值均很高,可见对病毒核酸没有保护作用。


注:将等量的假病毒RNA混合在8种保存液(A-H)、生理盐水(I )和PBS (J)中于24 ℃和37 ℃ 0 h、6 h、12 h、24 h、48 h和72 h处理,结果以一步法RT-qPCR检测的假病毒和不同保存液的混合物中提取的RNA的Ct值(Y轴)表示
Note:The results were presented byCt values (Y axis) of one step RT-qPCR detecting RNA extracted from mixtures of pseudovirus RNA and different preservation solutions, after same amount of pseudovirus RNA were mixed in 8 kind of preservation solutions (A-H), physiological saline (I) and PBS (J) for 0 h, 6 h, 12 h, 24 h, 48 h and 72 h at 24 ℃ and 37 ℃
为进一步验证上述的结果的可靠性,本研究进行了重复试验,并且采用RT-dPCR对核酸含量进行绝对定量,结果见图2和图3。与RT-qPCR结果类似,保存液A、E、G、H在监测的时间段内对病毒核酸有较好的保存能力,没有显著差异。保存液B和C在37 ℃条件下12 h发生核酸降解。保存液D在24 ℃ 12 h和37 ℃条件下6 h发生核酸降解,且37 ℃的保存能力较24 ℃的差。保存液F在两个温度下6 h及之后的检测结果均为阴性,表明保存液F在24 ℃和37 ℃条件下均无保护效果。




为进一步验证保存液对真实病毒的保护效果是否与新冠假病毒一致,我们又使用了灭活的禽流感病毒重复上述试验。不同保存液在不同时间和温度下的禽流感核酸含量检测结果Ct值变化见图4。保存液B在37 ℃ 12 h条件下,其Ct值至少增加1.11,核酸含量则减少70%;保存液C在24 ℃和37 ℃条件下12 h后Ct值均显著增加0.66,病毒核酸减少50%。而保存液D于37 ℃ 48 h后的保存能力较24 ℃的差;保存液F于0 h后均检测不出其病毒核酸,对病毒核酸没有保护作用;其它4种商业保存液A、E、G、H对病毒核酸有较好的保存能力,没有显著差异;而对照组也有较好保存能力。


注:将等量的病毒RNA混合在8种保存液(A-H)、生理盐水(I )和PBS (J)中于24 ℃和37 ℃ 0 h、6 h、12 h、24 h、48 h和72 h处理,结果以一步法RT-qPCR检测的禽流感病毒和不同保存液的混合物中提取的RNA的Ct值(Y轴)表示
Note:The results were presented byCt values (Y axis) of one step RT-qPCR detecting RNA extracted from mixtures of Avian influenza virus and different preservation solutions, after same amount of Avian influenza virus RNA were mixed in 8 kind of preservation solutions (A-H), physiological saline (I) and PBS (J) for 0 h, 6 h, 12 h, 24 h, 48 h and 72 h at 24 ℃ and 37 ℃
病毒核酸的保存是核酸检测关键的第一步,对检测结果的准确性至关重要。送检样本中的病毒活性会随时间的延长而降低,所以样本采集后应尽快送检。根据《医疗机构新型冠状病毒核酸检测工作手册(试行第二版)》(联防联控机制医疗发〔2020〕313号)公示样本管理基本要求中,样本采集后室温放置不超过4 h,应在2~4 h内送到实验室。且有研究报道对于呼吸道疾病的样本应在室温下30分钟内进行检测,或4 ℃条件下运输2天内进行检测;或不能及时处理的样本4 ℃保存不能超过48 h,且超出2天应-70 ℃保存[9,10]。本研究结果表明目前采用的样本管理要求还是非常合理的。A、E、G、H病毒保存液在24 ℃和37 ℃下6 h内对病毒核酸均具有较好保护效果,其次为B、C、D组病毒保存液,F组则没有保护作用。由于国内第三方检验机构和区域检验中心的发展,样本往往需要寄送到其它实验室进行检测。但是样本在采集、运输过程不能持续保持低温且极易发生降解,使得样本核酸得不到有效保护,样本检测前的质量就难以得到保证,容易在检测过程中出现假阴性结果[5,6]。
目前市场上商业化的一次性使用病毒保存液有很多种,其成分复杂包括有表面活性剂、异丙醇、无水乙醇、异硫氰酸、抗生素等单品或多种复合成分[10]。其原理主要是抑制RNA/DNAse的活性,杀死样品中的病原微生物并保护释放出来的病毒核酸,使其不被降解。通过比较8种商业化一次性使用病毒保存液,研究发现其中四种保存液A、E、G、H在不同时间和温度条件下都有保护禽流感病毒和新型冠状假病毒核酸的作用,彼此之间没有显著差异;但另外4种保存液的保护效果并不好,尤其是保存液F基本没有任何保护作用。因此建议增加采用环节中对病毒采样管(保存液)的质量控制步骤,以防因采样管的保护效果造成的假阴性。
此外,保存温度和保存时间也是样品保存的至关重要的因素[11]。试验中病毒保存液B在24 ℃保存条件下的2种病毒的核酸量降低幅度都小于37 ℃,说明保存温度越高,核酸降解越快。即保存温度越低越有利于获得质量可靠的样品。但是干冰运输其成本相对较高,因此更应该注重于病毒保存液的选择。选择保存效果好的病毒保存液如试验中商业化的病毒保存液A、E、G、H配合冰袋降低其环境温度,将会对病毒核酸的降解起到一定的减缓作用,从而保证检测的准确性。
为了更好的测试商业化病毒保存液对病毒核酸保护效果的影响,试验中所使用的病毒核酸的浓度为1.7×103拷贝/μL,因此设置的检测浓度在RT-qPCR方法的理想检测范围内[9,12]。但临床样本可能多数会低于本实验中的检测浓度,再加上实验室技术和试剂条件的影响,会造成RT-qPCR的Ct值有一定的波动。在检测更低的样本时结果很可能会落入灰区或变成阴性,因此建议此情况下进行多次重复检测[11]。
综上所述,建议选择质量稳定可靠的病毒保存液,可在使用前以生物安全风险低的假病毒标准物质,验证保存液的保护效果;同时,建议增加对采样和运输环节的质控,防止假阴性,并且在采样本后尽快完成核酸检测。
所有作者均声明不存在利益冲突





















