
探讨D-二聚体(D-dimer)和高敏C反应蛋白(hs-CRP)对急性主动脉夹层(AAD)早期诊断的价值。
选取2010—2012年急性胸背痛患者382例,根据多层螺旋CT结果分为AAD组(206例)和对照组(176例),比较两组间D-dimer和hs-CRP水平的差异,应用受试者工作特征曲线(ROC)分析D-dimer和hs-CRP对AAD诊断的敏感度、特异度、阳性预测值和阴性预测值。
AAD组D-dimer和hs-CRP水平明显高于对照组[(9.40±18.79)mg/L比(0.31±0.28)mg/L,t=3.868,P<0.01;(31.88±40.05)mg/L比(5.98±16.16)mg/L,t=4.237,P<0.01];应用ROC分析,当D-dimer取值0.56 mg/L、hs-CRP取值5.94 mg/L时,对AAD诊断的敏感度、特异度、阳性预测值和阴性预测值分别为98.1%、75.2%、85.7%、98.3%和61.9%、71.8%、75.9%、69.3%。
在AAD早期诊断中,D-dimer和hs-CRP是有效、重要的筛选指标。
除非特别声明,本刊刊出的所有文章不代表本刊编辑委员会的观点。
急性主动脉夹层(acute aortic dissection,AAD)是一种严重威胁人类健康的血管疾病,其起病骤、进展快,且病情极凶险,如不及时进行诊治,病死率极高,有报道显示AAD发病后24 h内病死率为50.0%,48 h后升高至68.2%[1],故对于该疾病的早期诊断显得至关重要。由于磁共振成像(MRI)、CT血管造影(CTA)等检查费用较高,重症患者搬动风险大,而且目前暂无简单有效、特异度高的实验室指标[2],这给急诊医师的决策带来挑战。因而,寻找一种方便且敏感度高的诊断筛选方法显得尤为迫切。为此,本研究探讨D-二聚体(D-dimer)和高敏C反应蛋白(hypersensitive C-reactive protein,hs-CRP)在AAD早期诊断中的应用价值。
回顾性分析2010—2012年我院急诊科以急性胸背痛就诊的患者382例,均行主动脉CTA检查,明确为AAD诊断的患者206例,其中男性165例,女性41例,年龄30~80岁,平均(54.4±12.2)岁;可疑为AAD但最终排除的患者176例为对照组,其中男性136例,女性40例,年龄29~78岁,平均(56.8±11.1)岁,包括急性心肌梗死155例、非夹层动脉瘤10例、颈腰椎疾病5例、食道/胃疾病3例及肺栓塞3例。
AAD诊断标准:急性胸痛或背痛,中年以上常合并高血压,可伴有休克、外周无脉搏或脉搏不等、主动脉瓣反流等,胸部X线片可见纵隔或主动脉增宽,增强CT或MRI检查显示主动脉内膜撕裂所致内膜瓣,此瓣将主动脉夹层分为真假两腔。
所有患者均于症状发生24 h内行D-dimer和hs-CRP检测,由我院检验科测定,均使用德国罗氏公司Modular P生化分析仪,采用颗粒增强免疫投射比浊法检测。
采用SPSS 17.0统计学软件进行分析,计量资料以
±s表示,组间比较采用t检验;计数资料以百分构成比表示,组间比较采用χ2检验。P<0.05为差异有统计学意义。以灵敏度(真阳性率)为纵坐标,1-特异度(假阳性率)为横坐标,绘制受试者工作特征曲线(receiver operating characteristic,ROC),以灵敏度+特异度最大值计算最佳临界点,P<0.05为差异有统计学意义。
两组患者年龄、性别比及吸烟史差异无统计学意义(均为P>0.05),而AAD组血压水平显著高于对照组,差异有统计学意义(P<0.05),见表1。

两组基线资料比较
两组基线资料比较
| 组别 | 例数 | 年龄[ ±s,岁] | 男性[例(%)] | 吸烟史[例(%)] | 高血压史[例(%)] | 收缩压[ ±s,mmHg] | 舒张压[ ±s,mmHg] |
|---|---|---|---|---|---|---|---|
| AAD组 | 206 | 54.44±12.20 | 165(80.1) | 149(72.3) | 187(90.8) | 169.5±27.5 | 102.3±22.5 |
| 对照组 | 176 | 56.84±11.12 | 136(77.3) | 125(71.0) | 131(74.4) | 147.5±27.0 | 91.2±16.5 |
| t/χ2值 | 0.328 | 68.25 | 62.39 | 85.63 | 2.216 | 2.032 | |
| P值 | 0.774 | 0.486 | 0.537 | 0.015 | 0.004 | 0.007 |
AAD组血浆D-dimer和hs-CRP水平均显著高于对照组[(9.40±18.79)mg/L比(0.31±0.28)mg/L,t=3.868,P<0.01;(31.88±40.05)mg/L比(5.98±16.16)mg/L,t=4.237,P<0.01],差异有统计学意义(均为P<0.01)。
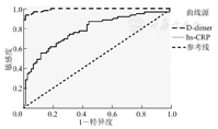
在急性胸背痛患者诊断AAD中,D-dimer的ROC曲线下面积为0.993,面积标准误为0.004,P<0.001,95%CI:0.980~1.000,提示其诊断准确率高,最佳临界点为0.56 mg/L,敏感度和特异度分别为98.1%和75.2%,阳性预测值和阴性预测值分别为85.7%和98.3%。
hs-CRP的ROC曲线下面积为0.785,面积标准误为0.039,P<0.001,95%CI:0.708~0.862,提示其诊断准确率也较高,最佳临界点为5.94 mg/L,敏感度和特异度分别为61.9%和71.8%,阳性预测值和阴性预测值分别为75.9%和69.3%,见图1。


近年,随着社会人口逐渐老龄化,人们生活水平逐步提高,同时由于MRI血管造影、CTA等影像检查技术的临床应用日趋普及,AAD的临床检出率也随之提高,使得发病率呈现出上升趋势[3,4]。由于该疾病危险性高,若不能给予及时、准确的救治,可能会带来灾难性后果,故快速、正确的诊断成为AAD救治的关键。
在急诊以急性胸背痛就诊的患者中,AAD患者的D-dimer也可见升高现象,究其原因可能与主动脉发生撕裂时,血管壁损伤引发凝血纤溶反应相关[5,6,7]。D-dimer在主动脉夹层发生24 h内即可被检测到,并维持在较高水平,具有较高的灵敏度[8,9],D-dimer的检测快速、方便、经济,故对AAD早期有重要的筛选价值。
hs-CRP与普通C反应蛋白属于同一种蛋白,只因其检测方法更敏感而得名,其在心血管疾病领域越来越受到关注。在主动脉夹层急性期,由于其非特异炎症反应,hs-CRP可作为其预测因子之一[10]。
本研究显示,血浆D-dimer和hs-CRP水平在AAD组均显著高于对照组(均为P<0.01),提示这两个指标有助于AAD与非AAD的鉴别。根据ROC曲线分析,当D-dimer取值0.56 mg/L,为最佳临界点,敏感度和特异度均较高,敏感度为98.1%,且阴性预测值为98.3%,也即在D-dimer<0.56 mg/L时,则AAD诊断可能性很小[11,12],故对急性胸背痛且可疑AAD患者,D-dimer检测有助于排除AAD,其阳性预测值为85.7%,结合临床症状对可疑AAD患者有助于早期识别;作为筛选指标,D-dimer只能用于主动脉夹层早期筛查,且其阴性预测价值大于阳性预测价值。当hs-CRP取值5.94 mg/L时,其阳性预测值、阴性预测值、敏感度和特异度分别为75.9%、69.3%、61.9%和71.8%,虽低于D-dimer水平,但也可有助于可疑AAD的早期筛选。D-dimer作为单一指标对AAD的筛选优于hs-CRP,若将两者结合分析,可进一步提高AAD的早期诊断率。由于对照组中有肺栓塞等患者,也存在着血栓形成继而纤溶等情况,D-dimer也有一定程度升高,故造成其诊断特异度偏低,临床诊断中,需根据临床症状加以鉴别。因D-dimer和hs-CRP均为非特异性指标,临床过程中,不能仅以此作为AAD诊断依据,需密切结合临床表现,若高度怀疑AAD,条件许可时应尽快完善CTA或MRI等检查以确诊。
综上所述,D-dimer和hs-CRP是可以快速、方便、经济获得的实验室指标,可在急诊作为临床怀疑AAD患者的重要筛查指标,以提高早期诊断率,减少误诊、漏诊,为AAD患者争取治疗时间。但由于D-dimer和hs-CRP均为非特异性指标,而主动脉夹层在临床上为十分凶险的疾病,通过以上两个指标对主动脉夹层的早期筛选过程中,一定要紧密联系临床症状,尤其注意避免漏诊。





±s,岁]
±s,mmHg]
±s,mmHg]



















