
除非特别声明,本刊刊出的所有文章不代表本刊编辑委员会的观点。
我国老年高血压患病率呈现逐年上升趋势。老年高血压以收缩压升高、脉压差增大、血压昼夜节律异常等为临床特点;同时老年人往往因合并多种疾病,同时服用多种药物,可致药物的相互作用。随着增龄和疾病的进展,可能出现心功能不全及其他靶器官损害。近年来一些新的老年人高血压的研究及药物治疗研究陆续发表,对老年高血压的诊治提出了新的思路,提供了新的治疗途径。
随着人口老龄化,老年高血压人数不断增加,高血压诊断是否随年龄不同而改变?血压控制标准是否也随年龄的不同而改变?近年发表的一系列研究探讨了这一问题,认为更积极的血压控制,可使心血管事件发生率进一步降低。
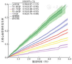
2021年Lancet发表的一篇荟萃分析[1],对药物降压治疗预防心血管疾病和死亡的年龄分层和血压分层效应进行探讨。文章共纳入51项随机对照研究的358 707例患者,年龄为21~105岁。根据入组年龄分为5组:<55岁、55~64岁、65~74岁、75~84、≥85岁;研究采用不同降压药物和对照药物治疗。血压变化以每升高10 mmHg为标准,收缩压从<120 mmHg至≥170 mmHg,舒张压从<70 mmHg至≥110 mmHg分组。研究终点为发生心脑血管事件。结果提示无论基线高血压水平如何,进一步降低血压在各年龄组均有获益。药物治疗组的主要心血管事件均低于对照组,除≥85岁组这一效果在不同年龄组均明显可见(图1)。研究还提示在提高生活质量方面,各组也无显著差别。该荟萃分析的结论:随着基线年龄的增加,事件发生率增加;在所有年龄组中,干预组的事件发生率均低于对照组;基线≥85岁人群的参与者和事件数量较少。


按随机对照和基线年龄分为5组,虚线为治疗组,实线为对照组。主要心血管事件包括致死或非致死卒中、致死或非致死心肌梗死、缺血相伴的心脏病、导致死亡或需要住院的心力衰竭
2020年JAMA发表的SPRINT研究[2],评估与标准血压控制相比强化血压治疗的剩余寿命和潜在生存收益。研究随机纳入9 361例患者,平均年龄68岁,均为心血管病高风险者,但无糖尿病和既往卒中史,分别给予标准降压治疗(<140 mmHg)和强化治疗(<120 mmHg)。强化与标准血压控制的获益范围为6个月至3年。结果提示,50岁患者强化治疗的估计生存期为37.3年,而标准治疗为34.4年,差异为2.9年(95%CI:0.9~5.0年,P=0.008);65岁以上患者,强化治疗的生存期为24.5年,标准治疗为23.3年,差异为1.1年(95%CI:0.1~2.1年,P=0.03)。绝对生存期获益方面,强化降压与标准降压治疗收益随着年龄的增长而减少,但相对收益一致(4%~9%)。该研究结论为在高心血管风险者,强化血压控制可延长预计生存期6个月至3年(但不包括糖尿病患者)。SPRINT的分析支持强化血压控制对生存的益处,尤其是在有风险的中年患者中。
2021年NEJM发表了SPRINT试验主要结果的最终报告:对于心血管事件风险增加的患者,经平均随访3.33年,强化降压治疗与标准治疗相比,可降低致死性和非致死性心血管事件以及全因死亡率。研究同时发现,一些不良事件在较低的血压目标下发生得更频繁,试验结束后的随访观察提示心力衰竭在强化治疗组出现较多[3]。
今年我国阜外医院发表了STEP研究[4]。这是一项多中心、随机、对照试验,涉及中国42个临床中心的8 511例老年高血压患者(60~80岁)。这些患者随机进入强化治疗组(收缩压目标为110~130 mmHg)或标准治疗组(目标为130~150 mmHg)。主要终点是卒中、急性冠状动脉综合征、急性心力衰竭、冠状动脉血运重建、心房颤动或心血管原因死亡的复合终点结局。结果显示,中位随访3.34年,期间主要心血管事件的发生在强化治疗组有147例患者(3.5%) ,标准治疗组为196例(4.6%)(HR=0.74,95%CI:0.60~0.92,P=0.007)。另外,除了低血压的发生率在强化治疗组中更高之外,两组的安全性和肾脏结局的结果无统计学差异。结论为在老年高血压患者中,收缩压目标为110~130 mmHg的强化治疗导致心血管事件的发生率低于目标为130~150 mmHg的标准治疗。这一研究具有重要的意义,是国人的重要临床研究证据,对既往的降压目标提出挑战,在接受高血压治疗的老年患者中,或许应当将收缩压的目标低于130 mmHg,以获得更好的预后。
对于强化降压治疗,数项随机对照试验及其荟萃分析的其他年龄分层分析也显示,老年人的功能状态、身体健康或生活质量没有恶化。至于对老年人认知功能恶化和低血压的担忧,尚未在随机试验中得到证实。但目前的研究还存在一些尚不明确处,如对于85岁以上老年人的高血压治疗目标,对合并糖尿病或有过脑卒中史患者强化降压的益处等,研究证据并不充分,另外还需要考虑心力衰竭的发生风险。因此,老年降压靶目标的研究和讨论仍将继续,个体化的处理老年高血压,尤其是上述几种情况,仍是临床医生应当关注的。
老年高血压以收缩压升高为主且脉压差增大。据统计,我国老年单纯收缩期高血压患病率为21.5%,占老年高血压总人数的53.2%[5]。这与年龄增长导致大动脉弹性下降,动脉将硬度增加,压力感受器反射敏感性和β肾上腺素能反应性降低相关。同时,由于血压调节能力下降,老年人体位性低血压多见,血压波动较大,且餐后低血压、血压昼夜节律异常也并不少见。老年高血压的另一显著特点为常伴有多种危险因素及相关合并症。数据显示,合并糖尿病、高脂血症、冠心病、肾功能不全和脑血管病的检出率分别为39.8%、51.6%、52.7%、19.9%和48.4%[6]。另外,老年人多重合并用药及假性高血压也不容忽视。由于老年高血压的这些特点,在治疗中有其特殊性。近期有些新药用于临床。
SGLT2i主要通过抑制尿糖重吸收,增加尿液渗透压,发挥渗透性利尿作用降低血容量,同时还通过排钠、降低体重等降低血压[7]。同时也有益于心力衰竭患者的治疗。从理论上看老年、糖尿病、高血压和心力衰竭常相伴,SGLT2i在此人群中将会有很好的应用前景。2017年,Baker等[8]的一项荟萃分析纳入了6项随机对照研究(2 098例),结果显示,SGLT2i显著降低了24 h动态收缩压(-3.76 mmHg,95%CI:-4.23~-2.34 mmHg)及舒张压(-1.83 mmHg,95%CI:-2.35~-1.31 mmHg)。2018年,日本进行的SACRA研究[9]观察了132例老年糖尿病伴高血压的患者,使用常规降压治疗基础上,随机加用恩格列净10 mg(68例)或安慰剂(63例)。观察至第12周时,治疗组与安慰剂组相比,日间收缩压(-9.5 mmHg比-3.9 mmHg)、舒张压(-4.3 mmHg比-1.6 mmHg)及24 h动态血压(-7.7 mmHg比-2.9 mmHg)均有显著下降。说明该类药物在老年人中的有效降压作用,尤其对于亚洲人群以及老年人,SGLT2i有着较大的降压幅度。作者分析其机制认为,SGLT2i的有效性可能与亚洲人群营养结构及老年人血压容量负荷敏感性相关。
沙库巴曲缬沙坦钠是首个血管紧张素受体-脑啡肽酶抑制剂(angiotensin receptor neprilysin inhibitor,ARNI),缬沙坦通过抑制血管紧张Ⅱ的Ⅰ型受体来抑制肾素-血管紧张素-醛固酮系统(renin-angiotensin-aldosteron system,RAAS)的异常激活,从而降低外周血管阻力,并通过抑制血管收缩和醛固酮分泌减少水钠潴留。脑啡肽酶是一种中性内肽酶,可降解包括利钠肽、缓激肽、肾上腺髓质素等血管活性肽。沙库巴曲通过抑制脑啡肽酶增强上述血管活性肽作用,使血管舒张、尿量增加,降低前后负荷从而降低血压[10]。它不仅有利于心力衰竭的治疗,也是一类新的抗高血压药物。一项多中心、双盲、随机对照研究[10]纳入了454例受试者,年龄≥60岁,诊断为收缩期高血压,且脉压>60 mmHg,比较每日采用ARNI(200 mg)和奥美沙坦(20 mg)的作用。经12周治疗,显示相较于对照组,ARNI可多降低中心动脉压达3.7 mmHg(95%CI:-6.4~-0.9 mmHg,P=0.01),提示ARNI在老年人的高血压治疗中可能具有优势。另一项随机对照研究也是以奥美沙坦作为对照,观察588例收缩期高血压老年患者的治疗效果,得出同样的结果[11]。目前ARNI已被批准抗高血压的适应证。
肾素是肾小球旁器分泌的一种蛋白水解酶,以无活性的酶原形式分泌,称肾素原,其后能转变为有活性的肾素,后者可水解血管紧张素原生成血管紧张素Ⅰ(angiotensin Ⅰ,AngI)。AngI在血管紧张素转换酶的催化下转变为AngⅡ,从而发挥生理学活性。肾素直接抑制剂可抑制RAAS上游途径,同时减少血管紧张素转换酶抑制剂和血管紧张素Ⅱ受体拮抗剂引起的代偿性肾素活性。早在本世纪初,就有数个肾素抑制剂治疗老年高血压的研究发表。研究报道754例年龄≥65岁,收缩压为150~180 mmHg的患者,将患者随机分配至阿利吉仑75 mg、150 mg、300 mg及安慰剂组,8周后,阿利吉仑组的患者平均收缩压/舒张压分别降低了13/5 mmHg、15/6 mmHg及14/7 mmHg,阿利吉仑对老年原发性高血压有较好的降压作用,同时体现出良好的耐受性[12]。另一项随机对照研究[13]纳入355例老年高血压患者(年龄>65岁),同样采用不同剂量阿利吉仑和赖诺普利10 mg组,结果显示各组疗效相当。还有研究将阿利吉伦和雷米普利分别应用于平均年龄>72岁患者,研究样本量达900例,同样得到相同良好的结果[14]。上述研究说明阿利吉仑作为老年高血压治疗药物具有较高的治疗前景及安全性,但对中国老年人高血压研究较少,有待进一步观察总结。
老年高血压控制率较低,药物依从性差是主要原因[15]。研究表明,老年人往往存在认知功能下降及用药方案复杂等问题[16],因此《中国老年高血压管理指南2019》[17]也推荐单片固定复方制剂用于老年高血压患者的起始及维持治疗。复方利血平氨苯蝶啶片作为我国自主研发的单片固定剂量复方制剂,其主要成分为氢氯噻嗪、氨苯蝶啶、硫酸双肼屈嗪及利血平,从基础降压、协同降压和中枢神经调节多个方面发挥降压作用[18]。一项研究纳入老年单纯收缩期高血压患者共510例,将复方利血平氨苯蝶啶和其他类降压药比较,结果发现降压效果类似,而且未发现服用该药影响患者糖脂代谢及电解质等。近期的另一项报道我国10个省市老年高血压研究,共纳入1 574例患者,同样比较复方利血平氨苯蝶啶和其他类降压药的作用,研究结果显示两组高血压分级和诊室血压无统计学差异(P>0.05),同时每日服用降压药物片数显著少于对照组(1.33片比1.41片,P<0.05),安全性方面两组在血常规、肝肾功能、糖脂代谢以及抑郁焦虑评分等均无明显差异。作为一种国内自主研发的老药,其降压作用安全有效,且依从性好,经济实惠。为此中国老年医学学会高血压分会组织专家编写了《复方利血平氨苯蝶啶片(O号®)临床应用中国专家共识2021版》[18],推荐国人的使用,尤其是广大基层医疗机构。
总之,随着老龄化浪潮到来,我国老年高血压患病率呈上升趋势,截至2020年,我国老年人高血压患病率约58.9%,其中男性为56.5%,女性61.2%,但我国现高血压的知晓率、治疗率及控制率仍处于较低水平。老年高血压的药物治疗一直是研究的热点,SGLT2i及ARNI在心力衰竭的治疗取得重要成果,但在老年高血压的有效性及安全性方面仍需进一步研究。直接肾素抑制剂如阿利吉仑可在上游通路抑制RAAS,在治疗高血压及改善预后方面具有极大的潜力。
无





















