
新型冠状病毒肺炎疫情发生后,不少学者采用传染病动力学模型进行疫情的趋势分析和发病数的拟合及预测,但由于传染病综合防控中的一些不确定因素,导致很多模型预测不准确。本文论述了传染病动力学模型的理论假设、局限性,以及在疫情预警、防控决策以及防控措施效果评价中的应用价值。
版权归中华医学会所有。
未经授权,不得转载、摘编本刊文章,不得使用本刊的版式设计。
除非特别声明,本刊刊出的所有文章不代表中华医学会和本刊编委会的观点。
2019年12月,中国报告了几例不明原因肺炎病例,后被鉴定为一种新型冠状病毒[1],国际病毒分类委员会将其命名为严重急性呼吸综合征冠状病毒2(SARS-CoV-2)[2],WHO将其导致的新型冠状病毒肺炎(简称新冠肺炎)的英文命名为COVID-19[3]。为阻止疾病的蔓延,我国政府和各级地方政府相继采取相应措施,武汉于2020年1月23日采取了严格的交通管制,1月下旬各省份陆续启动了突发公共卫生事件的一级响应[4, 5]。中华预防医学会新型冠状病毒防控专家组等国内学者详细描述了新型冠状病毒的基因组和流行病学特征[6, 7, 8]。
根据2020年3月31日中国国家卫生健康委员会官方网站发布的数据,我国31个省(自治区、直辖市)和新疆生产建设兵团报告累计病例数(包含临床诊断病例)为81 518例,其中67 801(83.2%)的病例源自湖北省,50 006(61.3%)的病例源自武汉市;累计死亡3 305例,病死率达4.1%。目前,新冠肺炎有全球蔓延之势,截至3月31日,在中国之外的全世界六大洲204个国家已累计确诊760 519例,广泛分布于欧洲(49国)、亚洲(44国)、美洲(52国)、非洲(51国)等国;累计死亡38 144例,病死率约5.0%[9, 10]。面对未知的病毒,病毒溯源、传播模式、关键流行病学参数尚不清晰,给全球公共卫生带来了严峻的挑战[11]。
疫情发生后,有不少学者根据公开数据采用不同方法进行建模,试图预测疾病的发展趋势[12, 13, 14, 15, 16, 17, 18, 19, 20]。本文简单介绍动力学模型的基本概念,分析动力学模型在传染病疫情趋势预测中的应用和局限性,阐述动力学模型在传染病防控中的作用、地位及其理论价值。
早在1760年,数学家Daniel Bernoull就曾用数学模型研究天花的传播。首次用传染病动力学模型研究传染病始于20世纪,1906年Hamer用离散模型研究了麻疹的反复流行。1911年,Ross利用常微分方程(ordinary differential equations)研究了疟疾在蚊子和人群间的传播,并获得诺贝尔医学奖。1927年Kermack和McKendrick[21]提出易感者-感染者-移出者(susceptible-infected-removed,SIR)仓室模型(compartment model)用于研究发生于英国伦敦的“黑死病”流行规律,为后续传染病动力学研究开辟了新的理论和应用框架。
Bailey[22]最早于1957年出版的《传染病的数学理论》一书是该领域的标志性著作,并于1975年再版。此后,大量的数学模型被用于分析各种各样的传染病问题。有针对一般规律的研究,也有针对特殊疾病的研究,如麻疹、疟疾、肺结核、流感、天花、登革热、疟疾、丝虫病、重症急性呼吸综合征(severe acute respiratory syndrome,SARS)、中东呼吸综合征(Middle East respiratory syndrome,MERS)、HIV、手足口病等诸多疾病,各有特点。
基本的SIR仓室模型将某一个固定区域内的人群分为3类(3种状态),即易感人群(susceptible,S)、发病人群(infectious,I)和移出人群(removed,R)(图1)。


β:单位时间内,1例患者传染给1名易感者的概率,称为传染系数;γ:单位时间内,从患者人群移出的速率
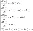
易感人群与传染源接触后(exposed,E)并未立即患病,而是成为病原携带者并潜伏一段时间后方出现症状,转化为发病人群。因此SIR模型后来被扩展到具有潜伏期人群的情况,即易感者-暴露者-感染者-移除者(susceptible-exposed-infectious-removed,SEIR)模型(图2)。SEIR模型作为基本模型在传染病研究中被广泛应用,在本次疫情的预测和评估中很多模型都是基于SEIR改进的。


β:单位时间内,1例患者传染给1名易感者的概率,称为传染系数;α:单位时间内,病原携带者转变为患者的速率;γ:单位时间内,从患者人群移出的速率
SEIR模型的基本假设是:(1)不考虑人群的变化,包括出生、死亡、流动,即此地区是一个封闭的环境,总人群是一个常数,不发生变化,任何时刻的四类人群总数(N)不变:
,t表示时刻,N表示总人口数,固定不变,设为常数。(2)S中每个人都是易感者;E为病原携带者人群,传统SEIR模型中假设潜伏期不具有传染性;经过一定的潜伏期,方而转变为患者(I),具有传染性;单位时间(如天)内,1个患者传染给1名易感者的概率为β,通常为常数,又称为传染系数。由此推算,1个传染源在单位时间内传染的总人数为βS(t)。(3)单位时间内,病原携带者按照一定的速率α,转变为患者,α通常为平均潜伏期的倒数。在时刻t新增患者的人数为αE(t)。(4)单位时间内,从患者人群移出的速率为γ,与发病至痊愈或发病至死亡的时长有关,其平均数通常设为常数。因此,在时刻t从患者人群移出的人数为γI(t)。假设移出人群R不再具有传染性,也不会再次感染。当所有移出人群都是治愈时,γ就是治愈速率,而1/γ就是平均治愈期长度。
相应的SEIR模型用微分方程组表示为:

基本再生数(R0)可按照以下公式估算:
,其中,β为传染系数,γ为单位时间内从患者人群移出的速率;S0为易感者的初始人数。
R0表示1个传染源(病原携带者或患者)进入到易感人群中,在未加干预的情况下,平均可感染的二代病例个数,用于体现传染病的传播能力。如果R0>1,若不加控制,疫情将呈现上升态势,R0越大,传播速度越快;若R0=1,则人群中的患者数目较为稳定;当R0<1时,则传染病的传播能力有限,传染病将会消亡。在疫情发展过程中,可以用实时的再生数来评价疫情发展态势,又被称为有效再生数,即R(t)。若R(t)>1,说明疫情仍在快速发展期;若R(t)=1,则疫情的增速达到峰值,即将迎来“拐点”;若R(t)<1,则说明疫情趋缓,R(t)为0,则疫情消失。
从模型可见,动力学模型的数学假设是非常严格,主要考虑基本的传染病流行规律,无法充分考虑各种防控措施、防控措施的动态变化以及执行效果对疫情演进的影响,对现实世界的疫情的预测能力应该是有限的。
SEIR模型是最基本的传染病动力学模型。不同传染病的传播规律各有不同,应用时需根据各自特点对模型进行改进。例如,考虑治愈后可再次感染的SIS模型;考虑治愈后可有一定时间免疫力,然后可再次感染的SIRS模型;考虑人群中部分具有先天免疫的人群;考虑潜伏期即有传染性的SEIR模型;考虑隔离措施的SEIR模型;考虑存在隐性感染者和未收治感染者的SEIR扩展模型;此外还需考虑免疫干预的模型,总人口变动的模型,垂直传染的模型,等等。随着研究因素考虑得越来越多,相应的模型越来越复杂,模型所涉及的参数愈加多样,给模型的拟合和外延带来了一定的困难。
动力学模型推演疫情趋势,依赖于基本再生数、潜伏期长度、移出速率等一系列关键的流行病学参数。Lauer等[23]基于网上搜集的101例确诊患者数据,分析得到中位潜伏期为5.2 d,95%CI值为4.4~6.0 d。Li等[24]利用截至2020年1月22日已报告的425例实验室确诊的新冠肺炎病例的人口统计学特征、接触史和疾病时间等信息,通过对数正态分布估计平均潜伏期为5.2(95%CI:4.1~7.0)d;采用Gamma分布和传播链(chains of transmission)模型估计倍增时间为7.4 d,平均代际间隔时间(serial interval distribution)为7.5(95%CI:5.3~19)d,R0为2.2(95%CI:1.4~3.9)。Guan等[25]报道了1 099例新冠肺炎病例的临床和预后特征,提示潜伏期中位数为4 d,四分位间距为2~7 d。两项研究为动力学模型的参数设置提供了依据,被广泛引用。
在疫情早期,数据较少,对疾病的认识有限,模型的参数设置以理论假设为主。香港大学李嘉诚医学院公共卫生学院Wu等[12]学者,采用拓展的SEIR模型,考虑了进、出武汉的国内、国际人流量,以及武汉海鲜市场关闭前的动物源传染性,对武汉新冠肺炎疫情趋势进行预测,该模型预计截至2020年1月25日,武汉市可能有多达75 815例被感染。Read等[13]学者根据模型估算,武汉截至1月22日将有14 464例感染。伦敦帝国理工学院(Imperial College London)的Ferguson等[14]学者预测, 截至2020年3月16日,英国和美国将有81%的人感染新冠肺炎,英美两国的死亡人数将分别高达51万(英国)和220万(美国)。
随着疫情发展,人们对疾病和传播规律的认识逐渐深入,数据逐渐丰富,则可基于实际数据进行拟合以构建动力学模型。魏永越等[15]基于SEIR动力学模型,考虑新冠肺炎的传播机制、感染谱、隔离措施等,建立SEIR+CAQ传播动力学模型,基于2月12日前的疫情数据,预测至2月底全国确诊病例数将达到80 417例。但是,因临床诊断标准的实施,2月底的预测偏差达25%左右。Wang等[16]基于我国传染病网络直报系统中的武汉市疫情数据,考虑人口流动,扩展SEIR动力学模型,对武汉疫情的拟合效果较好,并预测累计病例数将达125 959例,其中未确诊(或漏报)比例高达59%,疫情将于5月4日触底。此外,周涛等[17]、Imai等[18]、Tang等[19]、Shen等[20]也相继报道了模型预测结果。综合来看,动力学模型研究所预测的结果和实际疫情相差较大。
无论是公开发表的文章,还是网络自媒体发布的结果,其模型预测的结果都不够准确。事实上,由于实际情况太复杂,模型所能考虑的情况有限,早期模型的参数设置更是缺乏依据,导致模型的外延性较差。
疾病的扩散程度和范围,易感染群规模、传染源规模、传染系数、治愈率等流行病学参数密切相关。因此,传染病防控的关键措施包括:控制传染源,切断传播途径,保护易感人群。但是,任何措施都需要具体去落实,若落实不到位,则达不到理想的防控效果。新冠肺炎之所以难防,就是因为潜伏期有传染性,存在无症状感染者,轻型感染者容易被忽略,这给控制传染源、切断传播途径、保护易感人群带来了困难;在防控物资准备不足、易感人群防护不到位、自我隔离不完全的时候,传染风险就会增加。同时,不同国家面对疫情,采取了适合本国国情防控机制。以我国为例,武汉两轮全城“拉网式”排查,方舱医院的建立,均显著改变了病毒的传播特征。在无法预测下一次防控措施的发生时,再精确的模型也无法预测出防控措施之后疫情的发展。
病毒为了适应其宿主环境,基因组在其增殖过程中时刻发生随机突变,在外界干预等强烈的选择性压力情况下,其为了生存,会发生亚型的分离,可能导致病毒致死力的下降,反之传染能力可能上升,从而改变了疫情发展趋势。近期发表于《国家科学评论》的研究显示,新型冠状病毒已于近期产生149个突变点,并演化出L和S亚型。在103株病毒株中,有101株属于这两个亚型之一。其中,更新的S亚型占30%,传染性似乎更强[26]。随着疫情在全世界的快速传播,病毒可能加速变异并产生新的亚型。能否通过增加参数,使得动力学模型体现病毒本身的变异对疫情的影响,值得探讨。
自疫情暴发以来,国家卫生健康委、国家中医药管理局已经联合发布了7版《新型冠状病毒肺炎诊疗方案》。可见,随着对新发传染病认识的提高,对疾病的诊断标准也在不断变化和完善,治疗方法越来越合理规范。前者使得患者的定义发生变化,收治速度越来越快,收治率越来越高,潜在的传染源越来越少;后者使得治愈率越来越高,平均治愈时间越来越短,病死率逐步降低。
绝大多数的动力学模型依据官方每日所公布的确诊病例数。而事实上,从病例出现明显的临床症状或典型CT影像学特征,到出具核酸检查阳性结果,具有明显的时间差。不同地区、不同监测点,甚至不同患者的滞后期各有不同,短则当天确诊,长则几十天方才确诊,中国疾病预防控制中心[27]基于中国传染病与突发公共卫生事件监测信息系统(简称网络直报系统)的数据分析显示,期间有长达平均10 d左右的滞后。采用发病时间进行疫情分析,方可正确预测传染病疫情趋势。公开的数据缺乏这一关键信息,给统计学模型研究提出了挑战。
在传统的抑或改良的动力学模型中,不可能将上述种种因素都纳入其中,尤其是在传染病早期阶段,数据有限的情况下。纳入参数个数太少,模型不能反应实际情况;纳入太多参数,模型将过拟合(overfitting)或不能拟合;如果人为让一些参数取固定的值,模型的主观性又太强。因此,如何权衡模型参数的个数与模型对现实世界的贴近程度,是值得关注的。
传统动力学模型中所假设的参数是固定的,模型拟合的过程就是寻找参数的最优解。但从上述分析可见,在疾病的防控过程中,传染力在变,潜伏期在变,收治率在变,平均治疗时间在变,被隔离的人群比例在变,易感人群和人群免疫水平也可能在发生着变化等。因此,假设这些参数是固定的是不合理的,需要将参数看成是随时间而变化的,或是具有随机分布的,即考虑随机参数动力学模型(stochastic dynamics model);同时需考虑校正影响因素(covariates)。
传统仓室模型假设在单位时间内平均每一个患者与易感者的接触率为k,每次接触的传染概率为β0,则传染率系数β=β0k;则时刻t新增患者数为:βI(t)S(t)。显然,当人口数很大时,每个传染源与所有易感者都有相同的接触概率这一假设可能不符合实际。
既然动力学模型有那么多局限性,那么,它还有什么价值呢?事实上,动力学模型有如下三种用途:早期预警,决策支持,效果评价。
在传染病流行早期,根据有限的数据、历史的经验以及专家的意见等,构建传染病动力学模型,提前预测疾病的传播速度、程度、范围,此时的模型,不是用来与未来实际发病数进行拟合的,而是用于预警,便于大家对疫情及时预判。
例如,针对此次疫情,假设人类均无免疫能力,每个人都是易感者,如果不采取任何防护措施,也不收治患者,按照平均潜伏期为5.2 d,1个潜伏期内平均传染2.6人(即R0=2.6),平均每个患者每天传染的人数为0.2,即每天按照20%增长,则只要3个月,全球将有1 000万人感染;4个月全球70亿人均会感染,从而向全球发出预警。
疾病防治过程中的决策是艰难的,经费预算,物资准备,如何保护易感人群;是否要对密切接触者进行隔离,范围多大;是否要停工、停学、切断交通,是否要新建医院等。此时,可以通过在动力学模型中指定相关参数,模拟不同防控场景条件下的疾病传播速度、程度、范围,以提供决策支持。
例如,由于检测方法本身的漏诊率比较高,一些检测阴性的患者,或来不及检测的患者,其具有新冠肺炎临床症状,如果不收治就不能切断传染源。这也是武汉病例居高不下的原因之一。2月5日发布的《新型冠状病毒感染的肺炎诊疗方案(试行第五版)》,针对湖北省增加临床诊断标准,这一问题得到了解决。2月12至14日公布了符合临床诊断标准的病例数。如果按照2月12日之前的流行态势构建动力学模型,预测至4月底武汉每日新增病例数降到10以下,而实际上武汉已经于3月12日降至个位数。说明采用临床诊断标准,收治了核酸检测阴性或无核酸检查的患者,表面上看起来是短期增加了很多病例,但是从长期趋势来看,快速减少了传染源,降低了传播速度。说明在武汉采用临床诊断标准这一决策是正确的。
在疫情过后,通过比较理论预测数与实际发病数,评价防控措施的效果。此时,实际发生数比理论预测数越小,说明防控效果越佳。疾病防治过程中,通过比较理论预测数与实际发病数,阶段性评价防控措施的效果,以便必要时及时调整有关措施。在疫情结束后,可以评估防控措施的成本效益,从而为国家建立疫情应对体系提供证据。
如果按照2020年1月23日(离汉离鄂交通管制)前的流行态势,利用动力学模型估计到2月5日全国累计发病例数为19.5万,但实际累计病例数为2.8万,显示交通管制等综合措施减少了85%的病例。Wang等[16]估计武汉市自1月23日起严格的交通管制使得病例数减少了94.5%。
综上所述,传染病动力学模型在疾病防控中起关键的作用,既有其理论指导价值,又有实际应用价值,可以用于流行趋势分析,而更重要的价值在于疾病的早期预警、决策过程的理论支持,以及后续的阶段性防控效果和最终防控效果的评估,定量评估所采取的一系列防控措施对阻断新冠病毒传播、保障人民群众健康所带来的效果,亦可从“人类命运共同体”的角度出发客观量化我国防控措施对全球新冠肺炎疫情状况的影响等,并为各国防控提供科学依据。
所有作者均声明不存在利益冲突





















