
分析2018-2023年中国尖锐湿疣流行趋势及时空分布特征。
通过中国疾病预防控制信息系统传染病报告信息管理系统收集2018-2023年31个省(自治区、直辖市)尖锐湿疣报告病例数及发病率数据,应用Joinpoint 4.9.1软件进行时间趋势分析,应用ArcGIS 10.5软件构建地理信息数据库并进行空间自相关分析,应用SaTScan 10.1.2软件进行时空扫描分析。
2018-2023年尖锐湿疣报告发病率由7.26/10万下降至7.19/10万,平均年变化百分比为-0.26%,发病率下降趋势无统计学意义(t=-0.26,P=0.806)。全局Moran's I值范围为0.55~0.60(均P<0.001),表明各县(区)尖锐湿疣报告发病率呈显著的空间正自相关,全局G系数检验统计量均Z(G)>1.96,表明尖锐湿疣报告发病率呈高值聚集模式。局部空间自相关分析探测到各年热点地区的数量分别为256、244、246、284、308和315个,主要分布于浙江省、福建省、广东省、贵州省、云南省和重庆市。时空扫描分析共识别76个有统计学意义的时空聚集区,覆盖25个省(自治区、直辖市)。
2018-2023年中国尖锐湿疣报告发病率略有下降,热点地区和时空聚集区分布基本一致,主要分布在东南沿海和西南地区。
版权归中华医学会所有。
未经授权,不得转载、摘编本刊文章,不得使用本刊的版式设计。
除非特别声明,本刊刊出的所有文章不代表中华医学会和本刊编委会的观点。
尖锐湿疣是由HPV感染生殖器或肛门等部位皮肤黏膜所致的以疣状增生性病变为主要临床表现的一种多发和常见的STD。2008-2016年我国STD监测点尖锐湿疣的报告发病率呈下降趋势,高发地区主要分布在长江三角洲、珠江三角洲和闽江地区[1]。目前对尖锐湿疣分布特征的研究是采用传统的描述性流行病学三间分布分析[2, 3],尚缺乏空间流行病学的研究。通过地理信息系统与时空统计方法相结合可以使尖锐湿疣报告发病数据实现时空可视化,更直观、精确地揭示该病的时空分布规律,为防控提供依据[4]。本研究以县(区)为地理单位对2018-2023年尖锐湿疣报告发病数据进行空间自相关和时空扫描分析,了解尖锐湿疣流行趋势与时空分布特征。
1. 资料来源:中国疾病预防控制信息系统传染病报告信息管理系统31个省(自治区、直辖市)2018年1月1日至2023年12月31日尖锐湿疣报告病例数及发病率数据。
2. 资料收集方法:尖锐湿疣的诊断标准来自文献[5],全国各县(区)各级各类医疗机构的医生填写传染病报告卡,由医疗机构STD疫情管理工作人员对病例报告信息进行审核和网络直报,定期对疫情报告质量进行自查。疾病预防控制机构疫情管理科室人员对网络直报的尖锐湿疣病例报告质量进行审核并确认。
3. 统计学分析:
(1)建立数据库:应用ArcGIS 10.5软件将全国尖锐湿疣报告病例数及发病率数据基于行政区划代码字段与全国县(区)级矢量地图的地理空间数据进行连接,建立全国尖锐湿疣疫情的地理信息数据库。
(2)流行趋势分析:采用Joinpoint 4.9.1软件计算全国尖锐湿疣报告发病率的平均年变化百分比(AAPC)[6],AAPC的正负值反映报告发病率平均每年上升或下降的百分比,通过t检验对模型拟合的趋势变化进行显著性检验,以P<0.05为差异有统计学意义。
(3)空间聚集分析:采用ArcGIS 10.5软件进行空间自相关分析,构建邻接空间权重矩阵,全局空间自相关分析通过计算全局Moran's I值,探索2018-2023年全国县(区)尖锐湿疣报告发病率是否存在空间聚集,Moran's I值的取值范围为[-1,1],检验统计量Z(I)>1.96表示存在全局空间正自相关(高值聚集或低值聚集),-1.96<Z(I)<1.96表示数据在空间上呈现随机分布,Z(I)<-1.96表示整体存在全局空间负自相关(即离散分布)。由于全局Moran's I值无法判断数据在空间上是高值还是低值的聚集,需进一步引入全局G系数[7],分析我国尖锐湿疣整体空间聚集模式,检验统计量Z(G)> 1.96表示高值聚集,Z(G)<-1.96表示低值聚集。局部空间自相关分析通过计算局部G系数探索尖锐湿疣报告发病率热点地区[8],检验统计量Z(Gi)> 2.58表示该区域为热点地区,Z(Gi)<-2.58表示该区域为冷点地区。
(4)时空扫描分析:应用SaTScan 10.1.2软件,选择Poisson分布模型进行时空扫描分析[9],识别尖锐湿疣疫情的时空聚集区。扫描窗口为三维圆柱体,以年为时间单位,县(区)为地理单位,扫描时间设置为2018年1月1日至2023年12月31日,最大时间聚集规模设置为研究周期的50%,风险人口占总人口数的比例设置为50%,扫描窗口覆盖人口数不超过总人口数的5%。基于理论发病数与实际发病数构建检验统计量对数似然比(LLR),LLR值越高,表明该区域内疾病聚集的证据越强[9],蒙特卡罗模拟次数设置为999次[10]。使用自然断点法,根据LLR值由高到低对有统计学意义的时空聚集区进行分类,若各聚集区的RR值>1.00,表示在聚集区内的疾病发生风险高于背景区域。双侧检验,检验水准α=0.05。
1. 流行趋势分析:2018-2023年中国尖锐湿疣报告发病率略有下降,由7.26/10万下降至7.19/10万。见表1。Joinpoint 回归分析结果显示,AAPC=-0.26%,报告发病率下降趋势无统计学意义(t=-0.26,P=0.806)

2018-2023年中国尖锐湿疣报告病例数和发病率
2018-2023年中国尖锐湿疣报告病例数和发病率
| 年份 | 病例数 | 发病率(/10万) |
|---|---|---|
| 2018 | 100 872 | 7.26 |
| 2019 | 105 909 | 7.58 |
| 2020 | 97 167 | 6.92 |
| 2021 | 108 286 | 7.68 |
| 2022 | 101 990 | 7.23 |
| 2023 | 101 352 | 7.19 |
2. 空间自相关分析:
(1)全局空间自相关分析:2018-2023年中国尖锐湿疣报告发病率的全局Moran's I值在0.55~0.60之间,检验统计量均Z(I)>1.96,结果有统计学意义(均P<0.001),表明全国县(区)级尖锐湿疣报告发病率呈显著的空间正自相关,存在聚集分布。全局G系数的检验统计量均Z(G)>1.96,结果有统计学意义(均P<0.001),表明全国尖锐湿疣报告发病率在空间上呈高值聚集的分布模式。见表2。

2018-2023年中国尖锐湿疣报告发病率全局空间自相关分析
2018-2023年中国尖锐湿疣报告发病率全局空间自相关分析
| 年份 | 全局Moran's I值 | 全局G系数 | ||||
|---|---|---|---|---|---|---|
| Moran's I值 | Z(I)值 | P值 | G值 | Z(G)值 | P值 | |
| 2018 | 0.56 | 48.59 | <0.001 | 0.000 60 | 42.02 | <0.001 |
| 2019 | 0.55 | 48.13 | <0.001 | 0.000 58 | 41.43 | <0.001 |
| 2020 | 0.55 | 47.67 | <0.001 | 0.000 58 | 41.10 | <0.001 |
| 2021 | 0.59 | 50.93 | <0.001 | 0.000 55 | 42.90 | <0.001 |
| 2022 | 0.59 | 51.66 | <0.001 | 0.000 57 | 44.06 | <0.001 |
| 2023 | 0.60 | 52.56 | <0.001 | 0.000 55 | 44.24 | <0.001 |
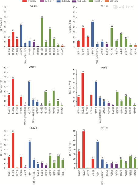
(2)局部空间自相关分析:2018-2023年热点地区数量分别为256、244、246、284、308和315个,其中热点地区数量居前5位的省份分别为贵州省(353个)、广东省(309个)、浙江省(202个)、福建省(164个)和云南省(130个)。2018-2023年热点地区的最高发病率分别为90.51/10万、91.81/10万、66.56/10万、53.85/10万、49.39/10万和61.19/10万;发病率中位数分别为17.17/10万、16.74/10万、15.86/10万、16.62/10万、15.78/10万和15.61/10万。热点地区主要集中在东南沿海和西南地区,包括浙江省、福建省、广东省、贵州省、云南省和重庆市。冷点地区主要集中在东北、西北和西南地区,包括黑龙江省、吉林省、辽宁省、新疆维吾尔自治区和西藏自治区。见图1。


3. 时空扫描分析:共识别出76个时空聚集区有统计学意义,覆盖25个省(自治区、直辖市)。使用自然断点法,根据LLR值将聚集区分为5个类别。一类聚集区为2018-2020年的广东省,包括38个县(区);二类聚集区为2021-2023的贵州省、重庆市、湖南省、四川省、湖北省和云南省,共137个县(区);三类聚集区由第3~4时空聚集区组成,为2018-2020年的浙江省、福建省、安徽省、江西省和广东省,共188个县(区);四类聚集区由第5~10时空聚集区组成,为2018-2023年的安徽省、广西壮族自治区、海南省、广东省、湖南省、山东省和江西省,共69个县(区);五类聚集区分布于19个省(自治区、直辖市),共270个县(区)。见表3。

2018-2023年中国尖锐湿疣报告病例时空扫描分析
2018-2023年中国尖锐湿疣报告病例时空扫描分析
聚集 区域 | 序号a | 聚集时间 (年) | 省份及县(区)数 | 县(区)数 合计 | 对数 似然比值 | RR值 | P值 |
|---|---|---|---|---|---|---|---|
| 一类 | 1 | 2018-2020 | 广东省(38) | 38 | 32 848.92 | 4.26 | <0.001 |
| 二类 | 2 | 2021-2023 | 贵州省(75),重庆市(27),湖南省(18),四川省(13),湖北省(2),云南省(2) | 137 | 6 071.94 | 2.06 | <0.001 |
| 三类 | 3 | 2018-2020 | 浙江省(81),安徽省(13),江西省(12),福建省(10) | 116 | 4 647.16 | 1.94 | <0.001 |
| 4 | 2018-2020 | 福建省(48),江西省(15),广东省(9) | 72 | 1 363.98 | 1.66 | <0.001 | |
| 四类 | 5 | 2021-2023 | 安徽省(11) | 11 | 1 276.81 | 2.22 | <0.001 |
| 6 | 2021-2023 | 广西壮族自治区(7) | 7 | 966.63 | 2.58 | <0.001 | |
| 7 | 2018-2020 | 海南省(24),广东省(6),广西壮族自治区(4) | 34 | 697.68 | 1.73 | <0.001 | |
| 8 | 2021-2023 | 湖南省(9) | 9 | 597.48 | 1.86 | <0.001 | |
| 9 | 2018-2020 | 山东省(3) | 3 | 528.57 | 3.17 | <0.001 | |
| 10 | 2021-2023 | 江西省(5) | 5 | 384.96 | 2.83 | <0.001 | |
| 五类 | 11~76 | 2018-2023 | 云南省(68),四川省(61),湖北省(25),河北省(22),山东省(17),安徽省(13),江苏省(12),陕西省(8),西藏自治区(7),重庆市(7),江西省(6),山西省(6),北京市(4),湖南省(4),黑龙江省(3),宁夏回族自治区(3),辽宁省(2),内蒙古自治区(1),上海市(1) | 270 | 14.89~370.39 | 1.32~3.91b | <0.001~0.013 |
注:a76个时空聚集区根据对数似然比值由高到低排序;bRR值最小值与最大值
本研究发现,2018-2023年我国尖锐湿疣报告发病率的范围为6.92/10万~7.68/10万,低于全球估计发病率[11],也低于英国、墨西哥和加拿大等国家[12, 13, 14]。我国尖锐湿疣报告发病率低的原因可能为存在漏报情况[15, 16],有待进一步调查。
2018-2023年我国尖锐湿疣报告发病率略有下降(AAPC=-0.26%),其原因是否与HPV疫苗接种等因素有关,需要进一步的研究。在将HPV疫苗接种纳入免疫规划的国家中,英国尖锐湿疣的报告发病率由2014年的135.5/10万下降至2023年的45.8/10万[12];2007-2022年澳大利亚在年轻女性、男性异性恋者、男性同性恋者和男性双性恋者中尖锐湿疣患者的比例均出现了不同程度的下降[17]。目前我国已开展对尖锐湿疣有免疫效果的4价或9价HPV疫苗接种,持续监测尖锐湿疣发病率的变化趋势可以为评估HPV疫苗接种效果和制定防控策略提供依据。
全局空间自相关分析结果表明,我国尖锐湿疣空间分布存在显著的聚集性并呈高值聚集,即报告发病率高的地区之间显著聚集。局部空间自相关结果表明,热点地区主要分布在东南沿海(浙江省、福建省和广东省)和西南地区(贵州省、重庆市和云南省),提示需加强这些地区尖锐湿疣的防控。与空间自相关分析相比,时空扫描分析更重视时间在空间分布中的作用。一至四类时空聚集区根据聚集时间分为2个阶段,其中2018-2020年时空聚集区主要位于广东省、浙江省、福建省和海南省,2021-2023年时空聚集区主要位于贵州省、重庆市和四川省,提示尖锐湿疣的主要时空聚集区随着时间的变化逐渐从东南沿海地区转移到西南地区,需要进一步探索时空聚集区出现转移的原因。尖锐湿疣发病的热点地区与时空聚集区分布基本一致,这种分布特征对于确定防控工作的重点地区具有重要意义。为提升我国尖锐湿疣疫情防控的效能,国家层面上需合理配置医疗卫生资源,与地方联防联控;相关省份需要制定针对性的区域化防控措施,与基层医疗卫生机构紧密协作开展防控工作。关于热点地区和时空聚集区的形成可能与多种因素相关,包括经济发展水平、人口流动、性行为等[18],提示要进一步加强空间回归分析,明确影响因素。
本研究存在局限性。资料来源于全国各级各类医疗机构通过传染病监测系统的尖锐湿疣报告病例,可能存在漏报和重报的问题[15, 16,19],但主要还是漏报,从而低估实际疫情规模,导致某些热点地区和时空聚集区无法识别。为了更加科学地掌握尖锐湿疣的疫情规模和时空分布特征,未来需要加强尖锐湿疣的病例报告管理。
综上所述,2018-2023年中国尖锐湿疣报告发病率略有下降,需要进一步观察尖锐湿疣的发病趋势。尖锐湿疣疫情的热点地区和时空聚集区主要分布在东南沿海和西南地区,需要加强重点地区的监测和防控工作,合理配置医疗资源。
梁诗晴, 陈泽伟, 岳晓丽, 等. 2018-2023年中国尖锐湿疣流行趋势及时空分布特征[J]. 中华流行病学杂志, 2024, 45(8): 1073-1078. DOI: 10.3760/cma.j.cn112338-20240308-00107.
Liang SQ, Chen ZW, Yue XL, et al. Epidemic trends and spatiotemporal distribution characteristics of condyloma acuminatum in China from 2018 to 2023[J]. Chin J Epidemiol, 2024, 45(8):1073-1078. DOI: 10.3760/cma.j.cn112338-20240308-00107.
所有作者声明无利益冲突





















