
量化伤害相关死亡对于期望寿命性别差异(GGLE)的影响。
采用简略寿命表法对2003-2021年天津市户籍居民死因监测数据进行分析,分性别计算期望寿命。应用 SPSS 24.0软件计算天津市户籍居民伤害标化死亡率。使用 Arriaga 死因分解法计算2003年和2021年伤害相关死亡对特定年龄和城乡GGLE的影响。
2003-2021年天津市GGLE为2.63~4.47岁。男性伤害死亡率大幅下降,女性没有明显变化。伤害死亡率下降对男性19年间期望寿命增量的贡献为0.47岁(13.68%),明显高于女性(0.06岁,1.09%)。2021年伤害死亡导致的GGLE(0.34岁,7.64%)低于2003年(0.54岁,20.40%),且在农村地区降低更多。相比2003年,2021年5~49岁组伤害死亡对GGLE的贡献率降低最明显,累计降低了12.11%。机动车以外的运输事故、机动车辆交通事故、淹死、意外中毒和触电的贡献率均降低,只有机动车辆交通事故贡献率位次上升,位于2021年GGLE伤害死亡贡献率第一位。自杀的贡献率在25~29岁组中明显升高;意外跌落的贡献率在50~79岁组中升高,在≥85岁组中降低;其他意外事故和有害效应的贡献率在≥85岁组中降低明显。
天津市女性的伤害干预应受到更多关注,尤其是预防≥85岁老年女性发生意外跌落以及其他意外事故和有害效应。男性伤害的预防仍不容忽视,应努力降低天津市农村地区男性机动车辆交通事故死亡率,重视男性尤其是25~29岁男性的自杀干预以及预防50~79岁中老年男性发生意外跌落。
版权归中华医学会所有。
未经授权,不得转载、摘编本刊文章,不得使用本刊的版式设计。
除非特别声明,本刊刊出的所有文章不代表中华医学会和本刊编委会的观点。
期望寿命是人类发展指数等国际发展综合指标的重要组成部分[1]。女性的期望寿命往往比男性更长[2]。最近的证据表明非生物因素(如行为和社会特征)在这种持续的期望寿命性别差异(GGLE)中具有重要作用[3]。因此,近年来识别导致GGLE的非生物因素引起了较大关注。伤害是可避免的主要死亡原因。有研究表明年轻男性的高伤害死亡率,尤其是交通事故导致的高伤害死亡率,是造成GGLE的主要原因[4]。然而,相关研究的时间跨度较短或只是探讨某一年的伤害死亡对于GGLE的影响[1,5],有关伤害详细分类对于GGLE影响的研究较少。本研究利用2003-2021年天津市户籍居民死因监测数据,量化伤害相关死亡对于GGLE的年龄别、死因别影响,探讨进一步提高期望寿命和缩小GGLE的方法。
1. 资料来源:2003-2021年天津市CDC所收集的覆盖天津市户籍居民的全死因监测数据。报告信息以《天津市户籍居民死亡医学证明(推断)书》为依据,包括死者姓名、性别、年龄、死亡地点、死亡原因等80项内容。全市各级医疗机构对户籍居民死亡病例实时报告;全市各级医疗机构、区/县CDC和市CDC的三级质量审核;市CDC每年对区/县CDC、医疗机构报告死亡病例的抽样复核;每年进行全人群死亡漏报调查;定期与民政殡葬、公安和妇幼保健部门核对死亡病例,保证死亡数据的完整性和可靠性。由天津市公安局人口管理办公室提供2003-2021年不同年龄、性别、城乡户籍人口数。根据《国际疾病分类》第十版(ICD-10)对伤害进行分类[6],其分类及编码见表1。本研究参考中国疾病分类将运输事故分为机动车辆交通事故和机动车以外的运输事故[7]。

伤害分类和《国际疾病分类》第十版(ICD-10)编码
伤害分类和《国际疾病分类》第十版(ICD-10)编码
| 伤害分类 | ICD-10编码 |
|---|---|
| 运输事故a | V01~V99 |
| 意外中毒 | X40~X49 |
| 意外跌落 | W00~W19 |
| 火灾 | X00~X09 |
| 由自然环境因素所致的意外事故 | X30~X39 |
| 淹死 | W65~W74 |
| 意外的机械性窒息 | W75~W77、W81~W84 |
| 砸死 | W20 |
| 由机器切割和穿刺工具所致的意外的事故 | W25~W31 |
| 触电 | W85~W87 |
| 其他意外事故和有害效应b | W21~W24、W32~W45、W49~W64、W78~W80、W88~W99、X10~X29、X50~X59、Y10~Y36、Y40~Y89 |
| 自杀 | X60~X84 |
| 被杀 | X85~Y09 |
注:a包括行人、骑脚踏车人员、骑摩托车人员、三轮机动车乘员、小汽车乘员、轻型货车或篷车乘员、重型运输车乘员、公共汽车乘员运输事故以及其他陆地运输事故、水上、航空和航天运输事故以及其他和未特指的运输事故;b包括暴露于其他无生命或有生命的机械力;威胁呼吸的其他意外事件;暴露在辐射和极端的周围空气温度和压力下;与热和烫的物质接触;与有毒动植物接触;操劳过度、旅行和贫困;意外暴露于其他和未特指因素;意图不确定的事件;依法处置和作战行动;医疗和手术护理的并发症;发病和死亡外因造成的后遗症等
2. 统计学分析:死亡及人口数据从天津市CDC自行开发的天津市全死因监测管理系统导出,保存为SPSS(*.SAV)数据格式。采用SPSS 24.0软件计算标化死亡率(以2010年全国人口普查数据进行标化)[8]。
采用简略寿命表分别计算2003-2021年天津市不同性别和不同地区户籍居民的期望寿命。选取每5岁为1个年龄组,因婴儿死亡率对寿命表影响较大,将5岁以下年龄组拆分成“0~”岁组和“1~4”岁组,从5岁开始组距为5岁。将人群分为19个年龄组(0~、1~、5~、10~、15~、…、≥85岁)[9]。
本研究使用Arriaga[10]提出的期望寿命分解法(Arriaga死因分解法)对GGLE进行分解,包含2个步骤,第一步为年龄分解,第二步为死因分解。根据各年龄组或某种死因男女性死亡率差异造成的GGLE占总GGLE的百分比计算贡献率。
(1)GGLE的年龄分解:将GGLE(即总效应nTEx)分解为直接效应(nDEx)、间接和交互效应(nOEx),分析不同年龄组对GGLE的影响。开放年龄段即≥85岁组只有直接效应,因为没有后一个年龄组对其有间接和交互效应的影响[11]。
计算公式:
nTEx=nDEx+nOEx
直接效应:
“nDEx”
开放年龄段的直接效应:
“nDEx+1”
间接效应和交互效应:
“nOEx”
式中,e指期望寿命,l和T分别指寿命表中的尚存人数和生存总人年数,上标1和2分别指男性和女性,x指初始年龄,n指组间间隔年龄。
(2)GGLE的死因分解:Arriaga死因分解法假设某一年龄的死亡率等于该年龄组不同死因死亡率之和,假定在x~(x+n)年龄段死因i死亡率变化对期望寿命产生的影响与其年龄段总死亡率成正比,即不同性别人口期望寿命来自年龄组x~(x+n)间死亡率变化的总影响。某死因i的效应(nTExi)等于总效应(nTEx)乘以该年龄组某死因i对总死亡率的影响因子(nkxi),即
nTExi=nTEx×nkxi,nkxi
式中,nRxi是人口(上标1和2分别指男性和女性)从年龄x岁到(x+n)岁某种死因i占总死因的比率,nmx代表x~(x+n)岁人群的死亡率。
1. 伤害死亡率性别差异:2003-2021年天津市男性伤害标化死亡率为43.10/10万~26.70/10万,呈下降趋势[平均年变化百分比(AAPC)=-2.51%,P<0.001],女性为16.92/10万~16.20/10万,无明显变化趋势(AAPC=0.44%,P=0.335),男性伤害标化死亡率始终高于女性,男女性伤害标化死亡率差异有缩小的趋势。见图1。


2. 伤害死亡对期望寿命和GGLE的影响:2003-2021年天津市居民期望寿命为77.70~82.03岁,增加了4.33岁。伤害死亡变化对全人群期望寿命增量的贡献为0.31岁,贡献率为7.18%。2003-2021年天津市男性期望寿命为76.41~79.83岁,女性为79.04~84.30岁,分别增加3.42岁和5.26岁,伤害对男性和女性期望寿命增量的贡献分别为0.47岁(13.68%)和0.06岁(1.09%)。见图2。


注:GGLE:期望寿命性别差异
2003-2021年天津市全死因导致的GGLE为2.63~4.47岁,有逐渐扩大的趋势;而自2009年伤害死亡导致的GGLE有逐渐减小的趋势,2021年伤害死亡导致的GGLE(0.34岁,7.64%)低于2003年(0.54岁,20.40%)。见图2,表2。2003年伤害死亡对GGLE的贡献率(20.40%)仅次于恶性肿瘤(26.63%)和脑血管病(26.63%);2021年伤害死亡对GGLE的贡献率(7.64%)位于脑血管病(26.70%)、恶性肿瘤(26.18%)和心脏病(19.27%)之后,排位第四位。见表2。

2003年和2021年天津市期望寿命性别差异死因分解
2003年和2021年天津市期望寿命性别差异死因分解
| 顺位 | 2003年 | 2021年 | ||
|---|---|---|---|---|
| 类别 | 贡献率(%) | 类别 | 贡献率(%) | |
| 1 | 恶性肿瘤 | 26.63 | 脑血管病 | 26.70 |
| 2 | 脑血管病 | 26.63 | 恶性肿瘤 | 26.18 |
| 3 | 伤害a | 20.40 | 心脏病 | 19.27 |
| 4 | 心脏病 | 12.42 | 伤害a | 7.64 |
| 5 | 呼吸系统疾病 | 4.74 | 呼吸系统疾病 | 4.76 |
| 6 | 消化系统疾病 | 4.33 | 其他疾病 | 3.32 |
| 7 | 泌尿生殖系统疾病 | 1.63 | 诊断不明 | 2.77 |
| 8 | 传染病寄生虫病 | 1.37 | 消化系统疾病 | 2.48 |
| 9 | 围生期的情况 | 0.86 | 糖尿病 | 2.10 |
| 10 | 诊断不明 | 0.79 | 泌尿生殖系统疾病 | 1.31 |
| 11 | 神经系统疾病 | 0.70 | 围生期的情况 | 1.31 |
| 12 | 先天畸形 | 0.63 | 神经系统疾病 | 1.18 |
| 13 | 精神疾病 | 0.13 | 传染病寄生虫病 | 0.85 |
| 14 | 其他疾病 | 0.12 | 先天畸形 | 0.53 |
| 15 | 血液免疫疾病 | 0.09 | 血液免疫疾病 | 0.10 |
| 16 | 妊娠分娩产褥期并发症 | -0.16 | 妊娠分娩产褥期并发症 | -0.03 |
| 17 | 肌肉骨骼和结缔组织疾病 | -0.46 | 精神疾病 | -0.03 |
| 18 | 糖尿病 | -0.84 | 肌肉骨骼和结缔组织疾病 | -0.44 |
注:a包括损伤和中毒
3. 伤害死亡对GGLE影响的年龄别分解:2003年天津市男女性伤害年龄别死亡率均在35~39岁组中最高(4.85/10万、1.99/10万);2021年男性50~54岁组伤害死亡率最高(2.26/10万),而女性为≥85岁组伤害死亡率最高(4.37/10万)。相比2003年,2021年伤害死亡对GGLE的正向影响较小且平缓,主要集中在20~79岁组,而在≥85岁组中伤害死亡使GGLE减小了0.04岁(-0.81%)。见表3,图3。相比2003年,2021年5~49岁组伤害死亡的贡献率降低最明显,累计降低了12.11%。

2003年和2021年天津市伤害死亡对期望寿命性别差异(GGLE)影响的年龄别分解
2003年和2021年天津市伤害死亡对期望寿命性别差异(GGLE)影响的年龄别分解
年龄组 (岁) | 2003年 | 2021年 | ||||||
|---|---|---|---|---|---|---|---|---|
| 男性伤害死亡率(/10万) | 女性伤害死亡率(/10万) | GGLE增量 (岁) | 贡献率 (%) | 男性伤害死亡率(/10万) | 女性伤害死亡率(/10万) | GGLE增量 (岁) | 贡献率 (%) | |
| 0~ | 0.00 | 0.22 | -0.01 | -0.49 | 0.03 | 0.03 | 0.00 | 0.00 |
| 1~ | 0.62 | 0.54 | 0.00 | 0.00 | 0.16 | 0.11 | 0.00 | 0.06 |
| 5~ | 0.90 | 0.28 | 0.03 | 1.04 | 0.19 | 0.12 | 0.00 | 0.09 |
| 10~ | 1.12 | 0.38 | 0.03 | 1.10 | 0.40 | 0.39 | 0.00 | -0.04 |
| 15~ | 2.47 | 0.77 | 0.05 | 1.91 | 0.63 | 0.48 | 0.01 | 0.14 |
| 20~ | 3.87 | 0.94 | 0.07 | 2.51 | 1.60 | 0.52 | 0.04 | 0.83 |
| 25~ | 3.56 | 1.43 | 0.06 | 2.12 | 1.39 | 0.41 | 0.04 | 0.86 |
| 30~ | 4.30 | 1.03 | 0.08 | 2.97 | 1.07 | 0.36 | 0.03 | 0.58 |
| 35~ | 4.85 | 1.99 | 0.05 | 1.90 | 1.35 | 0.29 | 0.03 | 0.64 |
| 40~ | 4.26 | 1.72 | 0.04 | 1.42 | 1.91 | 0.56 | 0.03 | 0.69 |
| 45~ | 4.15 | 1.46 | 0.04 | 1.54 | 2.12 | 0.98 | 0.03 | 0.61 |
| 50~ | 2.41 | 1.20 | 0.02 | 0.78 | 2.26 | 0.98 | 0.03 | 0.78 |
| 55~ | 2.62 | 0.87 | 0.02 | 0.92 | 2.25 | 1.03 | 0.03 | 0.63 |
| 60~ | 2.33 | 0.91 | 0.02 | 0.81 | 2.11 | 0.64 | 0.04 | 0.82 |
| 65~ | 1.76 | 0.78 | 0.02 | 0.62 | 1.65 | 0.77 | 0.02 | 0.55 |
| 70~ | 1.53 | 0.83 | 0.01 | 0.41 | 1.65 | 0.78 | 0.02 | 0.51 |
| 75~ | 0.83 | 0.67 | 0.00 | 0.13 | 2.11 | 1.30 | 0.02 | 0.54 |
| 80~ | 0.87 | 0.49 | 0.01 | 0.28 | 1.87 | 2.09 | 0.01 | 0.17 |
| ≥85 | 0.61 | 0.45 | 0.01 | 0.44 | 1.95 | 4.37 | -0.04 | -0.81 |
| 合计 | 43.10 | 16.92 | 0.54 | 20.40 | 26.70 | 16.20 | 0.34 | 7.64 |


4. 伤害死亡对GGLE的死因别影响:相比于2003年,2021年机动车以外的运输事故(0.34%)、机动车辆交通事故(3.59%)、淹死(0.99%)、意外中毒(0.28%)和触电(0.20%)对GGLE的贡献率均降低,其中只有机动车辆交通事故贡献率位次上升,位于2021年GGLE伤害死亡贡献率第一位。见图4。相比于2003年,2021年男性自杀死亡率升高,女性自杀死亡率降低,自杀死亡对GGLE的贡献率升高(1.30%);男女性意外跌落死亡率均升高,对GGLE的贡献率升高(0.81%)。见表4。


注:a包括暴露于其他无生命或有生命的机械力;威胁呼吸的其他意外事件;暴露在辐射和极端的周围空气温度和压力下;与热和烫的物质接触;与有毒动植物接触;操劳过度、旅行和贫困;意外暴露于其他和未特指因素;意图不确定的事件;依法处置和作战行动;医疗和手术护理的并发症;发病和死亡外因造成的后遗症等

2003年和2021年天津市期望寿命性别差异(GGLE)伤害死因别影响
2003年和2021年天津市期望寿命性别差异(GGLE)伤害死因别影响
| 伤害分类 | 2003年 | 贡献率 (%) | GGLE 增量 (岁) | 2021年 | 贡献率 (%) | GGLE 增量 (岁) | ||||||
|---|---|---|---|---|---|---|---|---|---|---|---|---|
| 男性 | 女性 | 男性 | 女性 | |||||||||
构成比 (%) | 标化 死亡率 (/10万) | 构成比 (%) | 标化 死亡率 (/10万) | 构成比 (%) | 标化 死亡率 (/10万) | 构成比 (%) | 标化 死亡率 (/10万) | |||||
| 运输事故 | 57.91 | 25.11 | 39.19 | 6.56 | 13.96 | 0.37 | 30.96 | 9.10 | 15.07 | 3.02 | 3.93 | 0.18 |
| 机动车辆交通事故 | 23.80 | 10.30 | 16.56 | 2.76 | 5.76 | 0.15 | 27.55 | 8.15 | 13.53 | 2.68 | 3.59 | 0.16 |
| 机动车以外的运输事故 | 34.11 | 14.81 | 22.63 | 3.80 | 8.20 | 0.22 | 3.40 | 0.95 | 1.53 | 0.34 | 0.34 | 0.02 |
| 意外中毒 | 10.93 | 4.48 | 17.57 | 2.88 | 1.32 | 0.03 | 3.31 | 0.97 | 2.27 | 0.47 | 0.28 | 0.01 |
| 意外跌落 | 3.24 | 1.40 | 3.16 | 0.58 | 0.72 | 0.02 | 28.16 | 5.53 | 38.80 | 5.28 | 0.81 | 0.04 |
| 火灾 | 1.35 | 0.56 | 1.77 | 0.30 | 0.12 | 0.00 | 1.49 | 0.39 | 1.07 | 0.18 | 0.13 | 0.01 |
| 自然环境因素所致意外事故 | 0.34 | 0.15 | 0.25 | 0.04 | 0.10 | 0.00 | 0.42 | 0.13 | 0.00 | 0.00 | 0.07 | 0.00 |
| 淹死 | 5.90 | 2.79 | 7.46 | 1.36 | 1.96 | 0.05 | 6.57 | 2.27 | 4.60 | 0.95 | 0.99 | 0.04 |
| 意外的机械性窒息 | 0.29 | 0.13 | 0.25 | 0.04 | 0.09 | 0.00 | 0.19 | 0.08 | 0.13 | 0.02 | 0.09 | 0.00 |
| 砸死 | 0.77 | 0.32 | 0.63 | 0.10 | 0.17 | 0.00 | 0.84 | 0.28 | 0.00 | 0.00 | 0.17 | 0.01 |
| 机器切割和穿刺工具所致意外事故 | 0.19 | 0.09 | 0.13 | 0.02 | 0.07 | 0.00 | 0.09 | 0.03 | 0.00 | 0.00 | 0.02 | 0.00 |
| 触电 | 3.14 | 1.38 | 0.88 | 0.14 | 1.04 | 0.03 | 0.75 | 0.32 | 0.13 | 0.03 | 0.20 | 0.01 |
| 其他意外事故和有害效应a | 3.00 | 1.35 | 2.78 | 0.55 | 0.32 | 0.01 | 12.21 | 2.57 | 25.73 | 3.27 | -0.34 | -0.02 |
| 自杀 | 10.40 | 4.28 | 20.99 | 3.46 | 0.59 | 0.02 | 14.22 | 4.70 | 10.73 | 2.61 | 1.30 | 0.06 |
| 被杀 | 2.52 | 1.07 | 4.93 | 0.90 | -0.06 | 0.00 | 0.79 | 0.32 | 1.47 | 0.36 | -0.01 | 0.00 |
| 合 计 | 100.00 | 43.10 | 100.00 | 16.92 | 20.40 | 0.54 | 100.00 | 26.70 | 100.00 | 16.20 | 7.64 | 0.34 |
注:a包括暴露于其他无生命或有生命的机械力;威胁呼吸的其他意外事件;暴露在辐射和极端的周围空气温度和压力下;与热和烫的物质接触;与有毒动植物接触;操劳过度、旅行和贫困;意外暴露于其他和未特指因素;意图不确定的事件;依法处置和作战行动;医疗和手术护理的并发症;发病和死亡外因造成的后遗症等
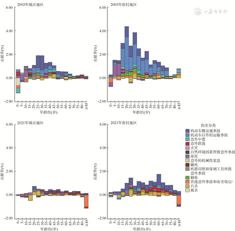
5. 伤害死亡对GGLE的年龄别、死因别影响:相比于2003年,2021年淹死对GGLE的贡献率在5~14岁组中减小,触电的贡献率在15~44岁组中减小,机动车以外的运输事故的贡献率在15~74岁组中明显减小。此外机动车辆交通事故对GGLE的影响虽然减小,但仍是2021年造成≥10岁组GGLE增加的主要因素,其中农村地区机动车辆交通事故的贡献率大于城市。2021年自杀的贡献率在25~29岁组中明显升高,意外跌落的贡献率在50~79岁组中升高,而在≥85岁组中降低,自杀和意外跌落对于农村地区GGLE的影响均大于城市。其他意外事故和有害效应的贡献率在≥85岁组中明显降低。2003-2021年农村地区伤害死亡对GGLE的影响相比城市降低更多。见图5,6。


注:a包括暴露于其他无生命或有生命的机械力;威胁呼吸的其他意外事件;暴露在辐射和极端的周围空气温度和压力下;与热和烫的物质接触;与有毒动植物接触;操劳过度、旅行和贫困;意外暴露于其他和未特指因素;意图不确定的事件;依法处置和作战行动;医疗和手术护理的并发症;发病和死亡外因造成的后遗症等


注:a包括暴露于其他无生命或有生命的机械力;威胁呼吸的其他意外事件;暴露在辐射和极端的周围空气温度和压力下;与热和烫的物质接触;与有毒动植物接触;操劳过度、旅行和贫困;意外暴露于其他和未特指因素;意图不确定的事件;依法处置和作战行动;医疗和手术护理的并发症;发病和死亡外因造成的后遗症等
近30年来,中国的期望寿命稳步增长,经济发展也取得了长足的进步,然而GGLE却逐渐上升[12]。本研究结果显示,2003-2021年天津市全死因导致的GGLE呈扩大趋势。而伤害死亡导致的GGLE有减小的趋势,2021年伤害死亡对于GGLE的影响在所有疾病中排第四位,相比2003年贡献率降低,且在农村地区降低更多,这与已有研究结果相似[5]。相比2003年,2021年5~49岁组伤害死亡对GGLE的贡献率降低最明显,主要是由于该组男女性淹死、运输事故、触电以及意外中毒的死亡差异缩小。
男性相比女性更倾向于冒险行为和有害的生活方式,因此男性比女性更容易遭受伤害并死于伤害[13]。本研究结果显示,伤害导致的GGLE呈现下降趋势,此外男性伤害死亡率在2003-2021年呈现明显下降趋势,这提示近20年天津市经济实力的增强、居民生活水平的提高对包括人群健康在内的各项社会进步发挥了积极作用,同时在减少伤害的发生和预后方面也发挥了重要作用。然而男性伤害死亡率在大幅下降的同时,女性并未有明显下降变化,且伤害对男性2003-2021年期望寿命增量的贡献明显大于女性。这不仅表明男性伤害防控取得了明显成效,也提示未来女性的伤害干预应受到更多的关注。女性伤害死亡率未下降可能是由于老年女性伤害死亡率明显升高,抵消了幼年、青年和中年女性伤害死亡率的降低,从而导致女性伤害死亡率呈现出平缓趋势。本研究结果显示,2021年女性老年人(尤其是≥85岁组)伤害死亡率相比2003年明显升高,且在≥85岁组中伤害死亡使GGLE减小,主要是由于女性老年人意外跌落以及其他意外事故和有害效应的死亡率升高造成,可能是因为女性期望寿命比男性更长,且期望寿命不断增加,社会老龄化程度加深,不同疾病竞争风险发生了变化[14],导致更多女性老年人面临意外跌落以及其他意外事故的伤害。所以在未来应更加关注女性的伤害干预,尤其是预防≥85岁老年女性发生意外跌落以及其他意外事故和有害效应。
值得注意的是,未来对于男性伤害干预的预防仍不容忽视。最近的研究发现,某些国家在经历了GGLE不断增大的进程后,男性期望寿命开始升高,GGLE将逐渐缩小[15, 16]。然而尚未观察到中国的GGLE有减小的趋势,仍不断上升,这提示中国男性期望寿命还有更大的提升空间。本研究结果显示,2021年伤害的贡献率仍在全死因中排第四位,故今后还需继续关注男性的伤害干预。
本研究结果显示,运输事故死亡对于GGLE的贡献率明显降低,从2003年的13.96%降至2021年的3.93%,其中机动车辆交通事故从5.76%降至3.59%。可能是由于中国交通法规、交通基础设施、创伤救援和医院治疗等方面的改善[17],以及自2011年起施行的醉驾入刑[18]。这些改进可能导致男性交通事故死亡率比女性更明显地下降,因为前者通常行驶时间更长、路程更远,更可能有不安全的驾驶,并且比后者具有更高的初始交通事故死亡率[17]。然而值得注意的是,在2021年,机动车辆交通事故是对GGLE贡献最大的伤害,且在农村地区的影响大于城市,提示今后应重点预防天津市农村地区男性机动车辆交通事故的发生。
已有研究提示自杀导致的死亡在男性中比女性中更常见,对GGLE产生了正向影响[19, 20, 21],这与本研究结果一致。而相比2003年,2021年自杀的贡献率升高,其中25~29岁年龄段男性的贡献率明显升高,且自杀对于农村地区GGLE的影响大于城市。据Lancet报道,1995-1999年中国女性的自杀率比男性高25%,主要是因为农村年轻女性的自杀率较高[22]。此外1999-2015年天津市自杀死亡率变化的趋势研究指出,女性、农村居民自杀死亡率下降速度分别快于男性、城市[23]。因此自杀的贡献率升高可能是女性之前自杀率较高的结果,当基本值较高时,下降幅度也相对较大。此外,相比2003年,2021年天津市男性自杀标化死亡率升高,进一步增加了自杀对于GGLE的贡献率。未来需关注天津市男性尤其是25~29岁男性的自杀干预,从而进一步提高其期望寿命,减少GGLE。
相比于2003年,2021年意外跌落的贡献率在50~79岁组中升高,提示50~79岁中老年男性死亡率升高。预防是减少意外跌落的关键,应对于天津市50~79岁中老年男性实施有针对性的干预措施。但总体而言,意外跌落已成为中国老年人的共同健康问题[24],亟需高度重视并采取有效措施加以预防。
本研究的目的是量化不同伤害死因对天津市GGLE的影响,并了解其在多大程度上促成了天津市2003-2021年GGLE的变化。结果表明,未来天津市女性的伤害干预应受到更多关注,尤其是预防≥85岁老年女性发生意外跌落以及其他意外事故和有害效应。仍不容忽视男性伤害的预防,应努力降低天津市农村地区男性机动车辆交通事故死亡率,重视男性尤其是25~29岁男性的自杀干预以及预防50~79岁中老年男性发生意外跌落。本研究可能有助于制定公共卫生政策,以提高天津市和其他具有类似社会和流行病学转变特征的城市或地区的期望寿命,缩小GGLE。
本研究存在局限性。首先,本研究仅通过分解特定年龄和特定原因的影响来分析GGLE,这种分解分析不能直接反映经济、生活等主流因素对GGLE的影响。其次,已有研究指出Arriaga死因分解法可能低估了老年人死因特异性死亡率的贡献[5],因此本研究中的发现可能较为保守。
尹晓林, 江婷婷, 王士玉, 等. 天津市2003-2021年伤害死亡对期望寿命性别差异的影响[J]. 中华流行病学杂志, 2024, 45(8): 1084-1092. DOI: 10.3760/cma.j.cn112338-20240424-00214.
Yin XL, Jiang TT, Wang SY, et al. The impact of injury deaths on gender gap in life expectancy in Tianjin from 2003 to 2021[J]. Chin J Epidemiol, 2024, 45(8):1084-1092. DOI: 10.3760/cma.j.cn112338-20240424-00214.
感谢天津市疾病预防控制中心非传染病预防控制所及天津市从事死因监测工作的同事在数据收集和质控中的贡献
所有作者声明无利益冲突





















