
探讨两种实验室检测方法在EB病毒(EBV)相关儿童传染性单核细胞增多症(IM)临床诊断中的应用价值。
将2018年1月至2019年12月于西安医学院第一附属医院确诊为EBV-IM的158例患儿作为EBV-IM组。将本院同一时间段、同年龄和性别的158例非EBV-IM患儿作为对照组。分别采用间接免疫荧光法检测EBV抗体、实时荧光定量PCR法检测EBV-DNA,并对两种检测方法诊断儿童EBV-IM的敏感度、特异度和准确度进行比较。非正态分布计量资料以中位数(M,Min~Max)表示,采用Mann-Whitney U检验进行比较。计数资料以例(百分数)表示,采用χ2检验或Fisher确切概率法进行比较,多组间两两比较采用Bonferroni法调整α水平为0.017。采用Kappa一致性检验分析各检测方法间的一致性。采用受试者工作特征(ROC)曲线评价单一指标及联合检测的诊断效能,采用Delong法对ROC曲线下面积(AUC)进行比较。以P<0.05为差异有统计学意义。
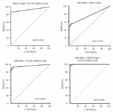
EBV-IM组中≤6岁学龄前儿童EBV-IM患病率最高,为82.9%(131/158)。EBV-IM组与对照组年龄、性别差异均无统计学意义(U/χ2=1 1728、1.529,P均>0.05)。实时荧光定量PCR法检测EBV-DNA的敏感度和特异度分别为46.2%、91.6%,AUC值为0.703(95%CI:0.644~0.761)。间接免疫荧光法检测单一指标中AUC值最高的2项分别为低亲和力EBV-CA IgG和EBV-CA IgM,其AUC值分别为0.820(95%CI:0.771~0.869)和0.677(95%CI:0.617~0.737)。与PCR法进行联合诊断,EBV-CA IgM+低亲和力EBV-CA IgG、EBV-DNA+EBV-CA IgM、EBV-DNA+低亲和力EBV-CA IgG以及EBV-DNA+EBV-CA IgM+低亲和力EBV-CA IgG的AUC值分别为0.934(95%CI:0.900~0.959)、0.757(95%CI:0.706~0.804)、0.963(95%CI:0.935~0.981)和0.999(95%CI:0.986~1.000)。EBV-DNA+EBV-CA IgM+低亲和力EBV-CA IgG联合检测的AUC值最高,敏感度和特异度分别为100%、91.6%,与其他单一以及联合检测指标相比差异均有统计学意义(P均<0.05)。
间接免疫荧光法与实时荧光定量PCR法联合检测具有较高的敏感度和特异度,在EBV-IM临床诊断中具有较好的应用价值。
版权归中华医学会所有。
未经授权,不得转载、摘编本刊文章,不得使用本刊的版式设计。
除非特别声明,本刊刊出的所有文章不代表中华医学会和本刊编委会的观点。
EB病毒(Epstein-barr virus,EBV)属于疱疹病毒γ亚科,为线性双链DNA病毒,含有多种结构抗原等[1]。EBV主要通过唾液、输血或器官移植等途径传播,人群具有普遍易感性。EBV感染在婴幼儿多为隐性感染,学龄儿童和青少年则表现为传染性单核细胞增多症(Infectious mononucleosis,IM)[2]。IM主要临床特征包括发热、咽峡炎、颈部淋巴结肿大和肝脾肿大等[3]。虽然IM属于自限性疾病,但也有少数患者因扁桃体和淋巴结肿大导致气道阻塞、脾破裂和肝衰竭等并发症[4,5]。基于EBV感染引起少数患者发生严重并发症,尤其是对儿童的危害更加巨大,因此及时、准确诊断EBV感染相关IM(EBV-IM)患者并进行及时治疗尤为重要。
目前,EBV感染的实验室检测方法主要包括EBV-DNA检测和EBV抗体检测。临床上普遍采用EBV抗体检测并结合临床诊断来确诊EBV-IM[6]。EBV-DNA检测结果主要反应机体内EBV的复制情况,然而该检测是否适用于确诊儿童EBV-IM尚无确定结论。本研究通过分析间接免疫荧光法与聚合酶链反应法(PCR法)检测EBV在儿童IM临床诊断中的有效性,以探索两种实验室检测方法能否单独或联合用于儿童EBV-IM的临床诊断。
将2018年1月至2019年12月于西安医学院第一附属医院确诊为EBV-IM患儿作为EBV-IM组。纳入标准:(1)就诊年龄<14岁;(2)儿童EBV-IM诊断金标准以《诸福棠实用儿科学(第8版)》[6]为依据:①临床诊断病例:发热、咽颊炎、颈淋巴结肿大、肝脏肿大、脾脏肿大和眼睑水肿(任意3项),且外周血异型淋巴细胞比例≥10%;②实验室诊断病例:发热、咽颊炎、颈淋巴结肿大、肝脏肿大、脾脏肿大和眼睑水肿(任意3项),且抗CA-IgM和抗CA-IgG抗体阳性、抗NA-IgG抗体阴性;或抗CA-IgM阴性,但抗CA-IgG低亲和力抗体阳性;或双份血清抗CA-IgG抗体滴度4倍以上增高。
将本院同一时间段、同年龄和性别的非EBV-IM患儿作为对照组。纳入标准:(1)因发热或怀疑呼吸道感染就诊于本院;(2)年龄<14岁;(3)同时进行EBV抗体检测及DNA检测;(4)排除EBV相关感染。
EBV-IM组与对照组排除标准均为:(1)先天性畸形;(2)脏器功能严重障碍;(3)恶性肿瘤;(4)入组前接受过相关治疗;(5)无法配合本研究所涉及检查;(6)资料不全。
最终纳入158例EBV-IM确诊患儿作为EBV-IM组,其中实验室诊断病例138例,临床诊断病例20例。纳入154例非EBV-IM患儿作为对照组,其中急性上呼吸道感染40例、急性支气管炎40例、支气管肺炎45例、大叶性肺炎22例、急性化脓性扁桃体炎5例以及急性淋巴结炎2例。本研究通过西安医学院第一附属医院医学伦理委员会批准(XYYFY2021LSK-015)。
美国ABI-7500荧光定量PCR仪,广州中山达安基因公司EBV荧光定量PCR检测试剂盒。EBV抗体检测试剂盒由欧蒙医学实验诊断股份公司生产,PW-960洗板机购自深圳市汇松科技发展有限公司,Ci-s荧光生物显微镜购自日本Nikon公司。
纳入研究对象于入院时抽取静脉血3 mL,3 500g离心10 min,取血清,采用间接免疫荧光法检测EBV抗体,包括EBV-CA IgM、EBV-CA IgG、EBV-EA IgG、EBNA IgG和低亲和力EBV-CA IgG。详细操作步骤及结果判读均严格按照说明书进行,样本滴度1∶10有反应则判定为EBV抗体阳性。
纳入研究对象于入院时抽取2 mL静脉血,采用乙二胺四乙酸(EDTA)抗凝,立即送检。无法立即送检时于-20 ℃保存待测,保存期为6个月。采用实时荧光定量PCR法检测EBV-DNA。操作方法严格按照说明书进行,EBV-DNA>500拷贝/mL判定为阳性。
对不同检测方法诊断儿童EBV-IM的敏感度、特异度和准确度进行比较与分析。
采用SPSS 25.0和MedCalc 15.2.2统计软件进行数据分析。非正态分布计量资料以中位数(M,Min~Max)表示,采用Mann-WhitneyU检验进行比较。计数资料以例(百分数)表示,采用χ2检验或Fisher确切概率法进行比较,多组间两两比较采用Bonferroni法调整α水平为0.017。采用Kappa一致性检验分析各检测方法间的一致性,Kappa≥0.75说明一致性好,<0.40说明一致性差。采用受试者工作特征(Receiver operating characteristic,ROC)曲线评价单一指标及联合检测的诊断效能,采用Delong法对ROC曲线下面积(Area under curve,AUC)进行比较。以P<0.05为差异有统计学意义。
EBV-IM组158例患儿中位年龄为3岁(1~14岁),男童88例,女童70例。154例对照组患儿中位年龄为3岁(1~14岁),男童75例,女童79例。两组患儿年龄、性别差异均无统计学意义(U/χ2=1 1728、1.529,P均>0.05)。
≤6岁学龄前儿童EBV-IM患病率最高,为82.9%(131/158)。随着年龄增长,EBNA IgG和EBV-DNA阳性率均有增高趋势,详见表1。<3岁与3~6岁组患儿EBNA IgG阳性率分别1.5%和6.2%,均低于>6岁组患儿(25.9%),差异均有统计学意义(χ2=13.27、6.398,P均<0.017)。

EBV-IM组不同年龄段患儿EBV抗体与EBV-DNA阳性率比较结果[例(%)]
EBV-IM组不同年龄段患儿EBV抗体与EBV-DNA阳性率比较结果[例(%)]
| 组别 | 例数 | EBV-CA IgM | EBV-CA IgG | EBV-EA IgG | EBNA IgG | EBV-DNA | 低亲和力EBV-CA IgG |
|---|---|---|---|---|---|---|---|
| <3岁 | 66 | 28(42.4) | 65(98.4) | 29(43.9) | 1( 1.5)a | 27(40.9) | 45(68.2) |
| 3~6岁 | 65 | 20(30.7) | 64(98.5) | 27(41.5) | 4( 6.2)a | 31(47.7) | 43(66.2) |
| >6岁 | 27 | 8(29.6) | 26(96.2) | 10(37.0) | 7(25.9) | 15(55.6) | 13(48.1) |
| χ2值 | - | 2.353 | 1.127 | 0.382 | 13.088 | 1.755 | 3.481 |
| P值 | - | >0.05 | >0.05 | >0.05 | <0.05 | >0.05 | >0.05 |
注:"-".无数据;与>6岁组相比,aP<0.017
EBV-CA IgM、EBV-CA IgG和低亲和力EBV-CA IgG阳性率均为男童高于女童,但差异均无统计学意义(χ2=0.885、0.054和2.506,P均>0.05)。EBV-EA IgG、EBNA IgG和EBV-DNA阳性率均为女童大于男童,但差异均无统计学意义(χ2=2.389、4.959和0.284,P均>0.05)。详见表2。

不同性别EBV-IM患儿EBV抗体与与EBV-DNA阳性率比较结果[例(%)]
不同性别EBV-IM患儿EBV抗体与与EBV-DNA阳性率比较结果[例(%)]
| 组别 | 例数 | EBV-CA IgM | EBV-CA IgG | EBV-EA IgG | EBNA IgG | EBV-DNA | 低亲和力EBV-CA IgG |
|---|---|---|---|---|---|---|---|
| 男性 | 88 | 34(38.6) | 86(97.7) | 32(36.3) | 3( 3.4) | 39(44.3) | 61(69.3) |
| 女性 | 70 | 22(31.4) | 68(97.1) | 34(48.5) | 9(12.9) | 34(48.6) | 40(57.1) |
| χ2值 | - | 0.885 | 0.054 | 2.389 | 4.959 | 0.284 | 2.506 |
| P值 | - | >0.05 | >0.05 | >0.05 | >0.05 | >0.05 | >0.05 |
注:"-".无数据
两组EBV-CA IgM、EBV-CA IgG、EBV-EA IgG、EBNA IgG、EBV-DNA和低亲和力EBV-CA IgG阳性率差异均有统计学意义(χ2=66.522、30.318、19.381、25.569、55.694和145.565,P均<0.05),详见表3。

EBV-IM组与对照组EBV抗体与EBV-DNA阳性率比较结果[例(%)]
EBV-IM组与对照组EBV抗体与EBV-DNA阳性率比较结果[例(%)]
| 组别 | 例数 | EBV-CA IgM | EBV-CA IgG | EBV-EA IgG | EBNA IgG | EBV-DNA | 低亲和力EBV-CA IgG |
|---|---|---|---|---|---|---|---|
| EBV-IM组 | 158 | 56(35.4) | 154(97.4) | 66(41.7) | 12( 7.5) | 73(46.2) | 101(63.9) |
| 对照组 | 154 | 0 | 118(76.6) | 29(18.8) | 46(29.8) | 13( 8.4) | 0 |
| χ2值 | - | 66.522 | 30.318 | 19.381 | 25.569 | 55.694 | 145.565 |
| P值 | - | <0.05 | <0.05 | <0.05 | <0.05 | <0.05 | <0.05 |
注:"-".无数据
实时荧光定量PCR法检测EBV-DNA的敏感度和特异度分别为46.2%、91.6%。间接免疫荧光法检测EBV-CA IgG敏感度最高,为97.5%,但特异度仅为23.4%;EBV-CA IgM与低亲和力EBV-CA IgG特异度最高(均为100%),但其敏感度仅为35.4%和63.9%。间接免疫荧光法检测EBV抗体各项单一指标与实时荧光定量PCR法检测EBV-DNA相比,除EBV-CA IgM外,AUC值差异均有统计学意义(P均<0.05)。低亲和力EBV-CA IgG与EBV-CA IgM的AUC值最高,分别为0.820和0.677,差异有统计学意义(Z=4.395,P<0.05),实时荧光定量PCR法AUC值略高于EBV-CA IgM(0.703),但差异无统计学意义(Z=1.095,P>0.05)。此外,实时荧光定量PCR法与间接免疫荧光法的一致性较差,除EBV-CA IgM外(Kappa值=0.460),其余指标Kappa值均<0.4。详见表4。

间接免疫荧光法与实时荧光定量PCR法检测EBV的诊断效能
间接免疫荧光法与实时荧光定量PCR法检测EBV的诊断效能
| 检测方法 | 检测指标 | 敏感度(%) | 特异度(%) | 阳性预测值(%) | 阴性预测值(%) | AUC(95%CI) | Kappa值 |
|---|---|---|---|---|---|---|---|
| 间接免疫荧光法 | EBV-CA IgM | 35.4 | 100.0 | 100.0 | 60.2 | 0.677abcdf(0.617~0.737) | 0.460 |
| EBV-CA IgG | 97.5 | 23.4 | 56.6 | 90.0 | 0.604abcdef(0.541~0.667) | 0.087 | |
| EBV-EA IgG | 41.8 | 81.2 | 69.5 | 57.6 | 0.615abcdef(0.552~0.677) | 0.059 | |
| EBNA IgG | 7.6 | 70.1 | 20.7 | 42.5 | 0.389abcdef(0.326~0.451) | 0.089 | |
| 低亲和力EBV-CA IgG | 63.9 | 100.0 | 100.0 | 73.0 | 0.820abde(0.771~0.869) | 0.028 | |
| PCR法 | EBV-DNA | 46.2 | 91.6 | 84.9 | 62.4 | 0.703abcdf(0.644~0.761) | - |
| 联合检测 | EBV-CA IgM+低亲和力EBV-CA IgG | 86.7 | 100.0 | 100.0 | 88.0 | 0.934acdef(0.900~0.959) | - |
| EBV-DNA+EBV-CA IgM | 55.7 | 91.6 | 87.1 | 66.8 | 0.757abde(0.706~0.804) | - | |
| EBV-DNA+低亲和力EBV-CA IgG | 93.7 | 91.6 | 91.9 | 93.4 | 0.963acef(0.935~0.981) | - | |
| EBV-DNA+EBV-CA IgM+低亲和力 | 100.0 | 91.6 | 92.4 | 100.0 | 0.999bcdef(0.986~1.000) | - | |
| EBV-CA IgG |
注:"-".无数据;EBV.EB病毒;AUC. ROC曲线下面积;95%CI. 95%可信区间;与EBV-DNA+EBV-CA IgM+低亲和力EBV-CA IgG相比,aP<0.05;与EBV-DNA+低亲和力EBV-CA IgG相比,bP<0.05;与EBV-DNA+EBV-CA IgM相比,cP<0.05;与EBV-CA IgM+低亲和力EBV-CA IgG相比,dP<0.05;与EBV-DNA相比,eP<0.05;与低亲和力EBV-CA IgG相比,fP<0.05
采用现有实验室诊断模式(即抗CA-IgM和抗CA-IgG抗体阳性、且抗NA-IgG抗体阴性或抗CA-IgM阴性但抗CA-IgG低亲和力抗体阳性)诊断为EBV-IM,其AUC值分别为0.753(95%CI:0.701~0.800)、0.820(95%CI:0.771~0.869)。
将间接免疫荧光法检测单一指标中AUC值最高的2项(低亲和力EBV-CA IgG和EBV-CA IgM)与PCR法进行联合诊断,联合指标EBV-CA IgM+低亲和力EBV-CA IgG、EBV-DNA+EBV-CA IgM、EBV-DNA+低亲和力EBV-CA IgG以及EBV-DNA+EBV-CA IgM+低亲和力EBV-CA IgG的AUC值分别为0.934(95%CI:0.900~0.959)、0.757(95%CI:0.706~0.804)、0.963(95%CI:0.935~0.981)和0.999(95%CI:0.986~1.000)。EBV-DNA+EBV-CA IgM+低亲和力EBV-CA IgG联合检测的AUC值最高,与其他单一以及联合检测指标相比差异均有统计学意义(P均<0.05)。详见图1、表4。


注:EBV. EB病毒;IM.传染性单核细胞增多症;ROC.受试者工作特征;AUC.曲线下面积
EBV属于4型疱疹病毒,人群普遍易感,可逃避机体的免疫攻击,在B细胞内建立持续终身的潜伏感染,大多数人初次感染发生在儿童或青少年时期并可终生携带[7,8]。IM是EBV初次感染的典型表现,临床以发热、咽峡炎和淋巴结肿大为特征,实验室检查出现外周血淋巴细胞计数升高多伴随异型淋巴细胞比例增高[9,10]。但是由于巨细胞病毒、弓形体等其他病原体也可引起IM样临床表现,因此仅依靠临床特征与外周血检验结果难以辨别[11]。IM多为自限性疾病,人群普遍易感,因此给临床诊断带来了极大困难。本研究IM好发年龄为学龄前期(0~6岁),与国内研究一致[12,13]。而欧美国家IM好发于青春期和成人,多见于15~19岁[14]。但本研究并未涉及到14岁以上人群,结果提示EBV感染不存在性别差异,这与EBV人群普遍易感特点相一致。
IM通常被认为是一种免疫病理性疾病,原发性EBV感染过程首先针对CA产生相应的IgG和IgM;在急性感染晚期,抗EA复合抗体出现;在恢复期晚期,抗NA复合抗体产生,并且抗EBV-CA IgG和抗EBV-NA IgG可持续终身[8]。因此,抗EBV-CA IgM抗体诊断一直是EBV-IM重要的临床诊断依据[6,10]。本研究结果显示,EBV-CA IgM的特异度为100.0%,但敏感为仅为35.4%,AUC值仅为0.677。EBV-CA IgM单一检测敏感度差的原因与患者就诊时间或者部分患者抗EBV-CA IgM产生延迟或者持续缺失有关[15,16]。
近年来,EBV-CA IgG抗体亲合力检测逐渐被用于判断EBV-IM患者是否处于急性感染期[17]。本研究显示,虽然单独检测低亲和力EBV-CA IgG对EBV-IM的诊断特异度好(100.0%)、敏感度低(63.9%),AUC值是在单一检测指标中最高(0.820),诊断预测价值较高,与文献报道[18]一致,也是《诸福棠实用儿科学(第8版)》[6]推荐的诊断方法。这可能是由于机体在受到EBV入侵时首先产生EBV-CA IgG低亲合力抗体,随着感染进程的发展,抗体亲合力逐步升高[19]。因此,低亲和力EBV-CA IgG含量随着患者感染进程发生变化,导致这一指标特异度很高但敏感度不足。
EBV感染机制复杂,临床症状不一,预后千差万别。由于婴幼儿免疫系统发育尚不成熟,大部分感染EBV后临床表现不典型,仅表现为血清学转化,给EBV-IM确诊带来一定困难[19]。随着分子生物学技术的发展,实时荧光定量PCR法开始用于检测EBV-IM患者外周血EBV-DNA,其目的是对抗体反应尚不明确的患者进行早期诊断[20]。本研究发现,对于原发感染初期和急性期的患者,有相当一部分DNA检测结果为阴性(62%,85/137),单独检测外周血EBV-DNA可能造成漏检。这可能是由于EBV首先侵犯B细胞及口咽部上皮细胞,通过GP350/220与B细胞表面CR2相结合进入B细胞,并且诱导其分化成记忆性B细胞,形成潜伏性感染[21,22]。当环境改变或感染者免疫力低下时,EBV被大量激活,感染后的记忆B细胞分化为浆细胞,细胞发生溶解时可诱导EBV再次被活化,形成复制性感染[23]。而EBV-DNA检测采用全血标本,如病毒感染初期B细胞内病毒释放量未达到检测下限,从而造成漏检[24]。随着人们对EBV的深入研究,由EBV感染引起的疾病也越来越被重视,加大对临床可疑病例外周血EBV-DNA的筛查,及时找出致病原,缓解病情。EBV-DNA载量可以用于鉴别EBV健康携带者的低水平复制以及EBV相关疾病患者的高水平活动性感染[20]。EBV-DNA载量与器官损伤程度、疾病种类、疾病严重程度及病死率呈正相关,临床上可以根据EBV-DNA检测结果来判断病情的严重程度[25,26]。
间接免疫荧光法与实时荧光定量PCR法两种检测方法单一指标的临床诊断价值均有一定局限性,因此单一指标不适宜用于EBV-IM的临床诊断。本研究发现,目前临床现有的实验室诊断指标,即抗CA-IgM和抗CA-IgG抗体阳性、且抗NA-IgG抗体阴性或抗CA-IgM阴性但抗CA-IgG低亲和力抗体阳性,二者AUC值分别为0.753(95%CI:0.701~0.800)和0.820(95%CI:0.771~0.869),并不能完全满足临床诊断的需要。为了解决单一指标检测局限性问题,本研究将抗体学检测方法中AUC值最高的2个指标(低亲和力EBV-CA IgG和EBV-CA IgM)与EBV-DNA进行联合检测,结果发现当采用低亲和力EBV-CA IgG与其他指标联合检测时,均可得到良好的诊断预测价值(AUC值均>0.9),其中EBV-DNA+EBV-CA IgM+低亲和力EBV-CA IgG联合诊断的AUC值可达0.999,诊断效能优异,为临床诊断提供了新的思路。
血清学检测是诊断EBV感染的有效方法,但只能作为病毒感染的指标,不能准确反应体内EBV感染的复制情况,而PCR定量分析可以准确测出病毒载量。低亲和力EBV-CA IgG在感染初期就可检测到,但是随着感染的进展含量逐渐下降;外周血EBV-DNA一般在EBV感染2周后开始迅速下降,尤其在退热后可能检测不到,但EBV CA-IgM水平反而逐渐升高[27]。故联合检测低亲和力EBV-CA IgG、EBV-CA IgM及外周血EBV-DNA可提高EBV-IM的诊断效能。此外,对于部分免疫学反应特殊的群体(如肾移植后儿童),在早期诊断EBV-IM、放疗后监测EBV感染以及时评估和管理患者EBV感染情况,使用PCR法进行常规监测优于血清学检测[28]。
本研究尚存在一定局限性:EBV-IM病例数较少,并未涵盖14岁以上人群;未对EBV-IM组和对照组进行动态观察;未纳入异型淋巴细胞及细胞因子等感染相关指标;未对疾病严重程度差异进行统计分析。因此,后续研究中我们将扩大样本量,纳入更多与EBV-IM相关指标并进行动态观察,对各项实验室检测指标的诊断价值进行更加充分评估。
综上所述,儿童EBV-IM感染以学龄前为主,不存在性别差异。间接免疫荧光法与实时荧光定量PCR法联合检测可以作为临床快速筛选EBV感染的有效方法。通过EBV-DNA+EBV-CA IgM+低亲和力EBV-CA IgG联合检测可提高EBV-IM的诊断效能,有助于早期诊断。
所有作者均声明不存在利益冲突

























