
探索双参数磁共振成像(biparametric magnetic resonance imaging,bpMRI)在前列腺癌(prostate cancer,PCa)检出方面的应用。
收集我院2017年5月至2019年9月期间临床怀疑前列腺癌,行术前常规bpMRI检查,之后行前列腺癌根治术并行病理大切片的患者进行回顾性分析,将包括T2WI、扩散加权成像(diffusion weighted imaging,DWI)及ADC在内的双参数MR图像与病理大切片图像进行匹配分析,探索bpMRI在前列腺癌灶检出方面的敏感性,并分析影响前列腺癌灶检出的因素。
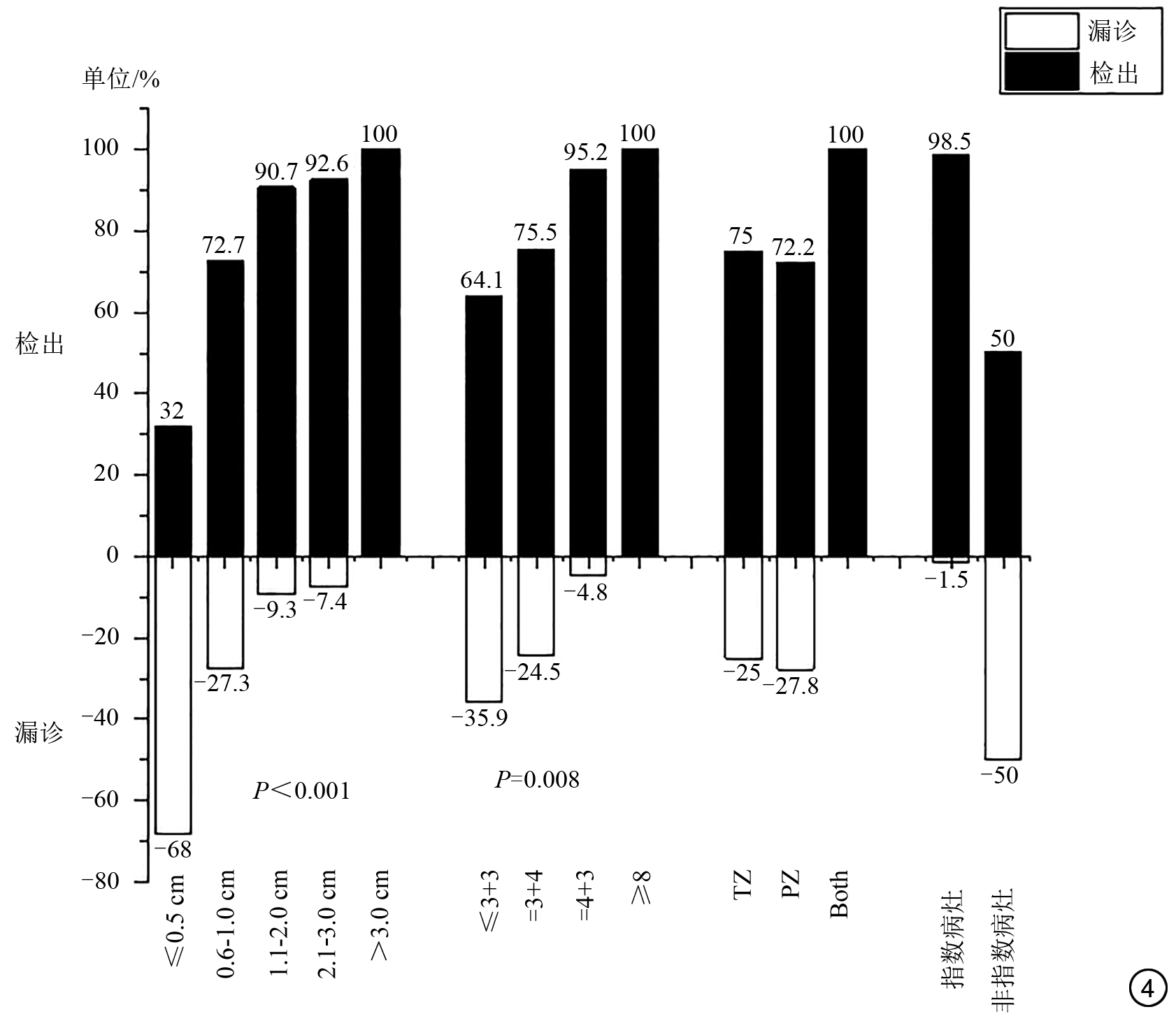
67例患者,病理大切片确认病灶123个,术前bpMRI检出病灶94个,直径>1 cm的癌灶检出率为92.1%,Gleason评分大于3+3的前列腺癌检出率为84.3%。癌灶大小(P<0.001)和Gleason评分(P=0.008)分别为癌灶检出的独立预测因子,移行带癌灶检出率与外周带癌灶检出率无统计学差异。
bpMRI对前列腺癌灶的检出有较高的敏感性,尤其是对直径大于1 cm或Gleason评分>6分的病灶敏感性高。
本刊刊出的所有论文不代表本刊编委会的观点,除非特别声明
前列腺癌(prostate cancer,PCa)是男性最常见的恶性肿瘤,致死性排男性恶性肿瘤的第二位[1]。随着我国人口老龄化的不断进展和前列腺特异性抗原(prostate specific antigen,PSA)筛查的普及,前列腺癌的发病率逐年上升[1, 2, 3]。PSA对于前列腺癌的检出敏感性很高,但特异性较差,在前列腺炎、良性前列腺增生(benign prostatic hyperplasia,BPH)中也可能出现,PSA的假阳性会引发患者的焦虑,后续前列腺活检可能带来的术后并发症[4],以及对惰性前列腺癌的过度诊断及过度治疗[5]。
早在20世纪80年代磁共振成像(magnetic resonance imaging,MRI)中的T1加权成像(T1-weighted imaging,T1WI)和T2加权成像(T2-weighted imaging,T2WI)就已经被用于评估前列腺癌[6]。随后磁共振成像技术的快速发展带来了更多的成像序列,如扩散加权成像(diffusion weighted imaging,DWI)、动态对比增强成像(dynamic contrast enhanced imaging,DCEI)[7]。2012年,欧洲泌尿生殖放射学会(European Society of Urogenital Radiology,ESUR)创建了前列腺成像报告和数据系统(prostate imaging reporting and data system,PI-RADS v1)以标准化MRI在PCa成像中的使用。2015年,由ESUR、美国放射学会(American College of Radiology,ACR)和AdMeTech基金会组成的联合委员会共同开发了新版本PI-RADS v2[8]。对于MRI序列,PI-RADS v2推荐使用T2WI、DWI和DCEI进行标准化评分。但部分研究表明,比较只含T2WI及DWI的bpMRI和标准mpMRI,DCEI并没有增加前列腺MRI检查的诊断价值[9, 10]。bpMRI相比mpMRI,减少了DCE,具有更短的扫描时间、更少的检查费用且无需注射对比剂,并具有近似mpMRI的临床诊断准确性[11, 12, 13, 14]。
病理大切片将整个前列腺包埋切片,可以将每个独立病灶与MR图像进行关联,是影像理想的病理参考。本研究基于病理大切片结果,对双参数磁共振成像在前列腺癌的检出方面进行了进一步探索。
本研究为回顾性研究,免除受试者知情同意。回顾性收集2017年5月至2019年9月期间临床诊断前列腺癌的患者纳入研究。入组标准:(1)前列腺癌术前行常规双参数前列腺磁共振检查,磁共振成像资料完整;(2)行前列腺癌根治术治疗并行病理大切片。排除标准:(1)磁共振检查前曾行前列腺穿刺,且穿刺与磁共振检查时间间隔少于6周;(2) MRI检查图像质量不足以进行ROI的勾画;(3)病理大切片提示治疗后改变。
患者行术前MRI检查的机器包括:3.0 T磁共振扫描仪(SIGNA Pioneer,GE Medical System,USA),3.0 T磁共振扫描仪(Discovery MR 750,GE Healthcare,Milwaukee,WI,USA),3.0 T磁共振扫描仪(Achieva MR,Philips),1.5 T磁共振扫描仪(Optima MR360,GE Medical System,USA),3.0 T磁共振扫描仪(Prisma,SIEMENS)
扫描常规序列包括:横轴位T2加权成像(T2-weighted imaging,T2WI)、横轴位、冠状位、矢状位T2压脂加权成像(T2+FS)、横轴位T1加权成像(T1-weighted imaging,T1WI)以及横轴位扩散加权成像(diffusion-weighted imaging,DWI)。本研究重点研究横轴位T2+FS及DWI双参数成像,具体参数如表1。

扫描机器参数
The scan parameters
扫描机器参数
The scan parameters
| 参数 | Pioneer,GE | Prisma,SEIMENS | MR 750,GE | Achieva,Philips | MR 360,GE | |||||
|---|---|---|---|---|---|---|---|---|---|---|
| T2+FS | DWI | T2+FS | DWI | T2+FS | DWI | T2+FS | DWI | T2+FS | DWI | |
| 成像平面 | 轴位 | 轴位 | 轴位 | 轴位 | 轴位 | 轴位 | 轴位 | 轴位 | 轴位 | 轴位 |
| TR (ms) | 4100 | 6400 | 6900 | 5600 | 4700 | 3000 | 4800 | 5000 | 5000 | 4200 |
| TE (ms) | 88 | 80 | 118 | 83 | 85 | 70 | 90 | 60 | 100 | 80 |
| 翻转时间 (ms) | NA | 120 | NA | 120 | NA | 120 | NA | 120 | NA | 120 |
| 翻转角度(°) | 111 | 90 | 160 | 90 | 111 | 90 | 160 | 90 | 160 | 90 |
| 层厚/层距(mm) | 4/1 | 4/1 | 4/1 | 4/1 | 4/1 | 4/1 | 4/1 | 4/1 | 4/1 | 4/1 |
| FOV (mm) | 240×240 | 240×240 | 240×240 | 240×240 | 240×240 | 300×300 | 280×280 | 220×220 | 240×240 | 240×240 |
| 矩阵(频率×相位) | 320×256 | 96×128 | 320×256 | 96×128 | 288×224 | 128×128 | 284×336 | 128×128 | 288×224 | 96×128 |
| 带宽(kHz) | 83.33 | 250 | 200 | 2136 | 31.25 | 250 | 200 | 2136 | 31.25 | 250 |
| b值(s/mm2) | NA | 50/1400 | NA | 50/2000 | NA | 50/2000 | NA | 50/1000 | NA | 50/1000 |
| 加速因子 | 2 | 2 | 2 | 2 | 2 | 2 | 2 | 2 | 2 | 2 |
| 扫描时间(s) | 125 | 250 | 117 | 218 | 166 | 117 | 170 | 230 | 203 | 211 |
手术术式采取前列腺癌根治术,将前列腺、双侧精囊腺及输精管切除,淋巴结切除范围包括双侧髂内、髂外及闭孔区淋巴结。前列腺活检标本完全石蜡包埋并制成大切片,层厚5 mm,并由病理学家在光学显微镜下观察,标记癌灶区域。重点记录癌灶的具体位置(所属象限)、层面(底部、中部、尖部)、大小、定量、组织学分型、Gleason评分、分级分组、侵犯范围(前列腺外扩散、膀胱颈、精囊)、脉管侵犯情况、区域淋巴结评估、病理分期、免疫组化结果。
由1名有15年工作经验的泌尿病理学专家和2名分别有5年工作经验及15年工作经验的放射科医师,联合进行详细的病理-影像回顾。泌尿病理学专家在前列腺大病理切片上勾画出所有癌灶的边界,并对前列腺外扩散的部位进行标记。有5年工作经验的放射科医师依据PI-RADS v2.1对所有病例的MR影像进行判读,标记所有PI-RADS评分≥3的病灶,然后由有15年工作经验的放射科医师对标记出的病灶依据PI-RADS v2.1进行二次判读,如有不一致的情况,由2名放射科医师讨论统一。对MRI及病理大切片进行组织匹配,当MRI病灶与病理大切片所在部位(象限及层面)及形态大小相似时,认为两者匹配(图1);当MRI检出的病灶在病理大切片相应位置上无显示时,病灶为假阳性(图2);当病理大切片标出病灶而MRI在相应位置上未显示病灶时,病灶为假阴性(图3)。


指数病灶被定义成Gleson评分最高的病灶;当多个病灶Gleason评分相同时,指数病灶为最大病灶,测量指标为大切片上的病灶最大径。有临床意义的病灶为病理大切片上测量最大径>0.5 cm,或Gleason评分大于6分的病灶。
应用IBM SPSS Statistics 22.0软件进行统计分析。非正态分布数据采用中位数(四分位间距)表示,正态分布数据采用均值±标准差表示,计数变量用频数(百分比)表示。采用独立样本t检验比较检出组和漏诊组病灶的最大径、Gleason评分间是否存在统计学差异。采用卡方检验和Fisher检验分析不同大小、不同Gleason评分的病灶检出率是否有统计学差异。P值小于0.05被认为差异有统计学意义。
共67例患者纳入研究,中位年龄为68 (10)岁,最大80岁,最小53岁,中位前列腺特异性抗原(prostate-specific antigen,PSA)水平为8.51 (8.74) ng/mL,最高67.13 ng/mL,最低0.49 ng/mL,有淋巴结转移1 (1.5%)例,前列腺外侵犯2 (3.0%)例,病理结果示ISUP分级分组1组17 (25.4%)例、2组25 (37.3%)例、3组17 (25.4%)例,4组4 (6.0%)例、5组4 (6.0%)例。病理分期结果T2a期8 (11.9%)例、T2b期2 (3.0%)例、T2c期33 (49.3%)例、T3a期18 (26.9%)例、T3b期3 (4.5%)例。
67例患者影像提示可疑病灶99个,病理大切片提示病灶123个,经过影像和病理匹配明确病灶94个。假阳性病灶5个(5%),假阴性病灶29个(23.6%)。指数病灶67个,检出率98.5%;非指数病灶56个,检出率50%;有临床意义的病灶113个,检出率74.3%,无临床意义病灶10个,检出率30%。
不同Gleason评分间的癌灶检出率不同,4组不同的Gleason评分(≤3+3、=3+4、=4+3、及≥8)的癌灶检出率分别为64.1%、75.5%、95.2%及100%。较大病灶、高Gleason评分、指数病灶的检出率更高,直径>1 cm的癌灶检出率为92.1%,Gleason评分大于3+3的前列腺癌检出率为83.3% (图4)。其中,癌灶大小(P<0.001)和Gleason评分(P=0.008)分别为癌灶检出的独立预测因子,移行带癌灶检出率与外周带癌灶检出率无统计学差异。病灶检出情况如表2。



双参数磁共振前列腺癌检出情况[个(%)]
Detection of prostate cancer [n (%)]
双参数磁共振前列腺癌检出情况[个(%)]
Detection of prostate cancer [n (%)]
| 项目 | 检出(94个) | 漏诊(29个) | 项目 | 检出(94个) | 漏诊(29个) |
|---|---|---|---|---|---|
| 病灶 | Gleason评分 | ||||
指数病灶 | 66 (98.5) | 1 (1.5) | ≤3+3 | 25 (64.1) | 14 (35.9) |
非指数病灶 | 28 (50.0) | 28 (50.0) | =3+4 | 40 (75.5) | 13 (24.5) |
| 病灶大小 | =4+3 | 20 (95.2) | 1 (4.8) | ||
≤0.5 cm | 8 (32.0) | 17 (68.0) | ≥8 | 10 (100) | 0 (0) |
0.6~1.0 cm | 16 (72.7) | 6 (27.3) | 病灶位置 | ||
1.1~2.0 cm | 39 (90.7) | 4 (9.3) | 移行带 | 42 (75.0) | 14 (25.0) |
2.1~3.0 cm | 25 (92.6) | 2 (7.4) | 外周带 | 39 (72.2) | 15 (27.8) |
>3.0 cm | 6 (100) | 0 (0) | 移行带及外周带均受累 | 13 (100) | 0 (0) |
本研究结果显示,bpMRI对最大直径>1.0 cm和Gleason评分大于3+3的前列腺癌有较高的检出率,癌灶大小(P<0.001)和Gleason评分(P=0.008)分别为癌灶检出的独立预测因子,并且随着病灶大小和Gleason评分的增加,癌灶的检出率升高,这一发现与其他研究一致[15, 16, 17]。
本研究指数病灶的检出率为98.5%,无临床意义病灶漏诊率分别为68% (<5 mm),37.5% (Gleason评分),这有助于临床主动监测及诊疗方案的选择[18, 19],减轻患者精神压力,从而一定程度避免过度医疗。
前列腺癌具有多灶性,Borofsky等[20]的研究中,16%的有临床意义的非指数病灶被漏诊。本研究中,有12.2%直径大于5 mm、16.7% Gleason评分大于等于7分的病灶漏诊;Jonnson等[17]的研究中近75%的漏诊病灶为有临床意义的病灶,其中近25%的病灶Gleason评分大于等于7分。这些非指数病灶的临床意义不明确,但仍需保持警惕。
本研究中最高级别的肿瘤通常是最大的肿瘤病灶,但5% (3/66)的最高级别肿瘤是较小的病灶,且其中有2例出现前列腺外侵犯(extraprostatic extension,EPE)。Scialpi等[12]的研究也提示有极少量的指数病灶被漏诊。Le等[15]的研究中,有14%的较小病变比最大病变具有更高的Gleason评分。因此,部分研究认为虽然系统活检有取材偏倚等缺点,但为了防止有临床意义的癌灶及指数癌灶被漏诊,仍不能用磁共振引导穿刺取代系统活检[21]。
本研究唯一漏诊的一处指数病灶位于移行带,符合部分研究提示移行带病灶较外周带病灶更容易被漏诊的结论,这可能与移行带病灶侵袭性较弱或移行带前列腺癌与前列腺良性增生难以鉴别有关[22]。但将所有病灶纳入分析后,结果示移行带病灶与外周带病灶的漏诊率无统计学差异,这可能与本研究入组患者的选择偏倚有关。
本研究有一定局限性,首先,本研究是单中心研究,且入组患者都行前列腺癌根治术治疗,缺少采取放疗及其他治疗方式的患者入组,有一定选择偏倚。其次,本研究病理参考为前列腺大切片,尽管相对于穿刺活检,是目前最为准确的病理诊断方法,但受限于技术本身,无法完全避免病理-影像匹配中的误差。
双参数磁共振成像是检出前列腺癌的可靠手段,对最大径>1 cm且Gleason评分>6分的病灶更容易被检出,其对于指数病灶和临床有意义病灶的高检出率,以及对无临床意义的较高漏诊率,有助于临床主动检测和诊疗方案的选择,减少过度医疗。
全体作者均声明无利益冲突。





















