
运用磁共振扩散张量成像(diffusion tensor imaging,DTI)探究脑卒中皮质脊髓束(corticospinal tract,CST)扩散定量指标与运动功能的关系。
采集37例单侧皮质下脑卒中患者和30例健康被试的DTI数据,运用概率性纤维束成像追踪出健康被试的CST,获得健康对照组CST模板。基于健康对照组的CST模板测量两组被试双侧CST的各向异性分数(fractional anisotropy,FA)和平均扩散率(mean diffusivity,MD),进一步计算两组被试FA比率(FA ratio,rFA)、FA不对称性(FA asymmetry,FAasy)、MD比率(MD ratio,rMD)和MD不对称性(MD asymmetry,MDasy),用这六个扩散参数相关指标来评估脑卒中患者CST完整性损伤,并与患者“手+腕”及上肢运动功能评分(Fugl-Meyer Assessment,FMA)作相关性分析。
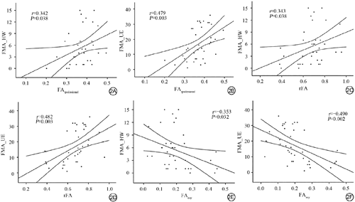
与健康对照组相比,卒中组病灶同侧CST的FA、rFA显著降低(分别为t=-15.775,t=-11.111,P<0.001),FAasy显著增高(t=9.473,P<0.001);而MD、rMD显著增高(分别为t=9.553,t=7.733,P<0.001),MDasy显著降低(t=-8.941,P<0.001);病灶对侧CST的FA和MD均无显著变化(P>0.05)。患者病程及病灶大小与各扩散指标间均无显著相关关系(P>0.05)。卒中组病灶同侧CST的FA和rFA与“手+腕”及上肢FMA呈显著正相关(分别为r=0.342,P=0.038;r=0.479,P=0.003;r=0.343,P=0.038;r=0.482,P=0.003),FAasy与“手+腕”及上肢FMA呈显著负相关(分别为r=-0.353,P=0.032;r=-0.490,P=0.002)。分步回归分析进一步发现,相较于病灶同侧CST的FA和rFA,FAasy与“手+腕”和上肢运动功能评分更加相关(分别为Beta=-0.353,P=0.032; Beta=-0.490,P=0.002)。
基于健康对照组CST模板测得的FA相关指标能反映CST结构完整性。FAasy与“手+腕”及上肢运动功能评分密切相关,或许可作为评估脑卒中患者手腕部和上肢运动功能障碍的重要参考指标。
皮质脊髓束(corticospinal tract,CST)是主管肢体运动功能的白质神经纤维束,主要起源于大脑中央前回上、中部和中央旁小叶前半部等处皮质的锥体细胞,向下穿过内囊和大脑脚于延髓锥体处形成左右交叉的走行结构[1, 2]。CST走行径路上的病变会导致CST出现结构损伤,尤其以脑卒中病变较为多见。例如,发生在皮层上中央前回、特别是皮层下基底节区、脑干等位置的脑卒中病变如累及到CST,就会使CST完整性受损,进而导致临床常见的随意运动障碍、痉挛性偏瘫等症状,严重影响脑卒中患者的生活质量和社会参与度[3, 4]。恢复或改善运动功能是脑卒中后康复治疗的首要任务,准确评估CST的损伤状况对预测脑卒中患者的运动功能恢复至关重要。目前磁共振扩散张量成像(diffusion tensor imaging,DTI)依然是评估活体脑CST结构特征的唯一有效途径[5]。基于DTI量化脑卒中患者CST损伤的研究方法主要包括:(1)手动勾画感兴趣区(region of interest,ROI)方法[6, 7, 8]。通过相对简单的操作检测CST走行径路上某些脑区(如内囊后肢,大脑脚等)的华勒氏变性(Wallerian degeneration,WD),但存在主观性且过度简化了白质纤维束的解剖结构的缺点。(2)追踪被试个体空间下的CST方法[9, 10, 11]。利用扩散张量纤维束追踪(diffusion tensor tractography,DTT)重建CST,并计算CST整体的扩散指标值(如各向异性分数)来评估CST结构完整性。相较于手画ROI方法能更全面反映纤维束的微观结构特征[12]。然而,脑卒中病灶往往会导致CST追踪中断,病灶周围水肿引起的部分容积效应也容易影响扩散指标测量的准确性。(3)健康对照组CST模板方法[13, 14, 15, 16]。该方法不直接追踪脑卒中患者的CST,避免了脑卒中病灶或水肿给CST追踪和扩散指标测量带来的负面影响,因此能更准确地评估CST微结构损伤状况。
基于健康对照组CST模板方法计算脑卒中病灶对CST的累积程度,可揭示病灶直接对CST完整性的影响[14, 15, 16],但未能说明脑卒中病变继发CST自身水分子扩散功能的异常与运动功能障碍的关系。因此,本研究基于健康对照组CST模板提取能够反映CST微结构损伤的各扩散定量指标,包括FA、MD、rFA、FAasy、rMD和MDasy,并进一步对各扩散指标与患者的临床运动功能评分作相关性分析,旨在从CST自身水分子扩散角度阐释CST结构完整性与患者运动功能障碍之间的内在联系。
本研究为前瞻性研究,选择上海市华山医院康复科具有运动功能障碍的脑卒中患者37例。纳入标准包括:(1)首次发病皮质下单侧脑梗死或脑出血,病灶位置以基底节为主;(2)发病后至少6个月;(3)只具有单侧肢体运动功能障碍;(4)所有患者均通过认知功能量表(Mini-Mental State Examination,MMSE)评测且MMSE≥27;(5)年龄在30~80岁之间;(6)发病前为右利手。排除标准包括:(1)失语、单侧忽略和感觉障碍;(2)体内有金属植入物或其他磁共振检查禁忌证;(3)四肢严重瘫痪;(4)酒精、药物滥用或神经精神病史等。另外,招募30名年龄和性别匹配的右利手健康受试者作为健康对照组。
利用Fugl-Meyer简化评定量表(Fugul-Meyer Assessment,FMA)对脑卒中患者“手+腕”和上肢的运动功能进行了评估。所有患者的临床评估均由华山医院康复医学科的1名资深专家完成。本实验研究得到了华东师范大学伦理委员会的批准(批准号:HR 393-2020),所有被试在磁共振扫描前均签署知情同意书。
本研究磁共振数据均采集于华东师范大学上海市磁共振重点实验室的西门子3.0 T磁共振成像扫描仪(Trio System)。具体扫描序列及参数如下:(1)高分辨T1WI结构像,采用快速梯度回波序列(magnetization prepared rapid gradient echo imaging,MPRAGE),矢状位三维成像,重复时间TR 1900 ms,回波时间TE 3.42 ms,视野(FOV) 240 mm×240 mm,层厚1 mm,层间距0.5 mm,采集层数为192层,采集矩阵为256×256,扫描时间共6 min 3 s。(2) T2WI,采用快速自旋回波序列(turbo-spin-echo sequence),横轴位成像,TR 6000 ms,TE 93 ms,FOV 220 mm×220 mm,层厚5 mm,无层间距,采集层数30层,采集矩阵为320×320,扫描时间共1 min 26 s。(3)扩散张量成像,采用单激发平面回波序列(single-shot EPI),横轴位成像,TR 6100 ms,TE 110 ms,FOV 256 mm×256 mm,层厚3 mm,无层间距,扫描层数共40层,累加次数average=2,采用了30个扩散梯度方向(b=1000 s/)和1个无扩散梯度(b=0 s/)图像,采用并行采集技术(2倍加速)加快成像速度同时减小图像形变,扫描时间共6 min 51 s。
本研究采用FSL (htt://fsl.fmrib.ox.ac.uk/fsl)软件包对DTI数据进行预处理。具体流程包括数据质量检查、数据格式转换、涡流和头动校正、去除非脑组织以及基本扩散指标(FA、MD)的计算。
CST神经纤维束追踪研究通常选择的感兴趣区为中央前回(图1A),内囊后肢(图1B)和脑桥(图1C)[5,13-16]。从自动解剖标记(anatomical automatic labeling,AAL)模板上提取出标准空间下的中央前回模板,再通过配准的方法将其转换到被试个体空间[17]。内囊后肢和脑桥则由1名影像科副主任医师使用MRIcron软件在每个患者的FA图上确定。


首先使用BedPostX工具进行扩散参数的抽样贝叶斯估计,使用蒙特卡洛抽样方法建立每个体素的扩散参数分布,之后利用ProbTrackX工具进行概率性纤维束追踪,重建健康被试大脑双侧CST,最终生成健康被试CST模板[5,17-18]。具体做法是:在被试个体空间下,首先将同侧大脑半球内的中央前回、内囊后肢和脑桥分别设定为起始ROI、途经ROI和终止ROI,追踪出一束CST。然后将起始ROI和终止ROI互换,反向追踪出另一束CST,取两次追踪的重叠部分作为最终的目标CST。取平均的目的是减小误差,获得更精确的CST。接下来,将每个健康被试个体空间下追踪出的CST配准到标准空间下再次重叠并设置合适的阈值,最终得到健康被试组水平的CST[13, 14, 15, 16],即为健康被试的CST模板(图1D)。
获得健康对照组CST模板后,将每个被试全脑的FA值和MD值与该CST模板取并集,提取双侧CST的FA和MD值,并在此基础上计算两组被试的rFA、rMD、FAasy以及MDasy四个扩散指标,计算公式如下:
其中,rFA (或rMD)表示病灶同侧CST与病灶对侧CST的FA值(或MD值)之比,FAasy (或MDasy)表示病灶对侧CST与病灶同侧CST的FA值(或MD值)之差与二者之和的比值。rFA与和FAasy的数值在0~1之间,rFA越低和FAasy越高,表明病灶同侧CST各向异性降低越明显,即CST完整性损伤越严重。相反,rMD越低和MDasy越高,表明病灶同侧CST的完整性越好[5,13,19]。
采用SPSS 22.0统计软件进行分析。计量资料采用(±s)表示。首先,对FA、MD、rFA、rMD、FAasy以及MDasy分别进行组间双样本t检验分析,P<0.05表示两组差异具有统计学意义。然后,将这六个扩散指标分别与“手+腕”和上肢FMA作Pearson相关性分析,并进一步作分步回归分析。分步回归分析的基本思想是将变量逐个引入模型,每引入一个解释变量后都进行F检验,并对已选入的解释变量逐个进行t检验,当原来引入的解释变量由于后面解释变量的引入变得不再显著时,则将其删除,保证最终得到的解释变量是最优的,P<0.05表示存在显著性相关。另外,为了排除其他变量对扩散指标的影响,分别将脑卒中患者的年龄、性别、病程及病灶体积分别与这六个扩散指标作Pearson相关性分析。
最终用于本研究的脑卒中患者共37例,其中男性30例,女性7例,年龄(55.0±10.7)岁。健康对照组共30名,其中男性21名,女性9名,年龄(57.5±10.1)岁。脑卒中患者组与健康对照组在年龄(t=0.987,P=0.327)和性别(=1.119,P=0.290)方面的差异均无统计学意义(P>0.05)。
本研究结果发现,与健康对照组相比,脑卒中患者组病灶同侧CST的FA、rFA显著降低(t=-15.775,t=-11.111,P<0.001),而FAasy显著增高(t=9.473,P<0.001);病灶同侧CST的MD、rMD显著增高(t=9.553,t=7.733,P<0.001),而MDasy显著降低(t=-8.941,P<0.001);病灶对侧CST的FA和MD的组间差异无统计学意义(P>0.05),详见表1。

脑卒中患者组和健康对照组扩散指标平均值比较(±s)
Comparison of mean diffusion parameters between stroke patients and healthy controls (x¯±s)
脑卒中患者组和健康对照组扩散指标平均值比较(±s)
Comparison of mean diffusion parameters between stroke patients and healthy controls (x¯±s)
| 扩散指标 | ±s | t值 | P值 | |
|---|---|---|---|---|
| 脑卒中患者组 | 健康对照组 | |||
| FAipsilesional | 0.361±0.071 | 0.576±0.025 | -15.775 | <0.001 |
| FAcontralesional | 0.546±0.032 | 0.557±0.027 | -2.936 | >0.05 |
| MDipsilesional | (0.959±0.147)×10-3 | (0.699±0.027)×10-3 | 9.553 | <0.001 |
| MDcontralesional | (0.732±0.048)×10-3 | (0.714±0.019)×10-3 | 3.056 | >0.05 |
| rFA | 0.675±0.139 | 0.963±0.031 | -11.111 | <0.001 |
| FAasy | 0.202±0.105 | 0.019±0.016 | 9.473 | <0.001 |
| rMD | 1.278±0.178 | 1.023±0.033 | 7.733 | <0.001 |
| MDasy | -0.117±0.063 | -0.011±0.015 | -8.941 | <0.001 |
注:FAipsilesional:病灶同侧皮质脊髓束(CST)的FA;FAcontralesional:病灶对侧CST的FA;MDipsilesional:病灶同侧CST的MD;MDcontralesional:病灶对侧CST的MD;rFA:FA比率;rMD:MD比率;FAasy:FA不对称性;MDasy:MD不对称性。
相关性分析结果显示,脑卒中患者病灶同侧CST的FA与“手+腕”及上肢FMA呈正相关(分别为r=0.342,P=0.038;r=0.479,P=0.003),rFA与“手+腕”及上肢FMA呈正相关(分别为r=0.343,P=0.038;r=0.482,P=0.003),FAasy与“手+腕”及上肢FMA呈负相关(分别为r=-0.353,P=0.032;r=-0.490,P=0.002)(图2)。此外,分步回归分析发现,相较于患者病灶同侧FA与rFA,FAasy与“手+腕”和上肢运动功能评分更加相关(分别为Beta=-0.353,P=0.032;Beta=-0.490,P=0.002) (表2)。病灶同侧CST的MD与“手+腕”及上肢FMA无显著相关关系(分别为r=-0.326,P=0.071;r=-0.373,P=0.061),rMD与“手+腕”及上肢FMA无显著相关关系(分别为r=-0.314,P=0.058;r=-0.240,P=0.152),MDasy与“手+腕”及上肢FMA也无显著相关关系(分别为r=0.310,P=0.062;r=0.228,P=0.175)。此外,患者性别、年龄、病程和病灶大小与各扩散指标及上肢、“手+腕”运动功能评分均无显著相关关系(P>0.05)。



CST扩散指标值与FMA评分分步回归分析结果
Results of stepwise regression analysis of CST parameters and FMA scores
CST扩散指标值与FMA评分分步回归分析结果
Results of stepwise regression analysis of CST parameters and FMA scores
| 模型(因变量:FMA_HW) | 标准化系数(Beta) | t值 | P值 | 模型(因变量:FMA_UE) | 标准化系数(Beta) | t值 | P值 |
|---|---|---|---|---|---|---|---|
| 1 | 1 | ||||||
FAasy | -0.353 | -2.229 | 0.032 | FAasy | -0.490 | -3.329 | 0.002 |
| 2 | 2 | ||||||
FAasy | -0.219 | -0.840 | 0.407 | FAasy | -0.298 | -1.236 | 0.225 |
FAipsilesional | 0.169 | 0.647 | 0.522 | FAipsilesional | 0.244 | 1.011 | 0.319 |
| 3 | 3 | ||||||
FAasy | -1.225 | -0.848 | 0.403 | FAasy | -1.285 | -0.964 | 0.342 |
FAipsilesional | 0.250 | 0.871 | 0.390 | FAipsilesional | 0.323 | 1.222 | 0.231 |
rFA | -1.077 | -0.708 | 0.484 | rFA | -1.057 | -0.753 | 0.457 |
注:CST:皮质脊髓束;FMA: Fugl-Meyer 简化评定量表;FAipsilesional:病灶同侧CST的FA;rFA:FA比率;FAasy:FA不对称性;FMA_HW:“手+腕”FMA评分;FMA_UE:上肢FMA评分。
本研究运用概率性纤维束追踪方法获得健康被试组的CST模板,基于该模板分别测得脑卒中患者组和健康对照组CST的扩散指标:FA、MD、rFA、FAasy、rMD和MDasy,以评估脑卒中CST结构完整性损伤状况。结果显示,脑卒中患者病灶同侧CST的FA、rFA显著低于健康对照组,而FAasy显著高于健康对照组,并且这三个指标与患者FMA“手+腕”及上肢运动功能评分均存在显著相关。不同的是,病灶同侧CST的MD、rMD及MDasy与健康对照组相比,虽然测得的数值有所改变,但与运动功能评分均无显著相关性。
脑卒中病灶的存在往往会导致CST追踪中断,病灶周围水肿引起的部分容积效应也容易影响扩散张量测量的准确性[20]。因此,本研究基于健康对照组生成CST模板,避免了脑卒中病灶给患者CST追踪和扩散指标测量带来的负面影响,从而能更准确地评估CST微结构损伤状况。目前,该方法已经应用于不少脑卒中研究中。例如,Zhu等[14]将脑卒中病灶与健康对照组CST模板相叠加,定量计算CST受病灶的累积程度。结果发现,脑卒中病灶与CST的重叠程度比病灶体积更能预测患者的运动障碍。Feng等[15]的研究也采用该方法计算了急性期脑卒中CST与病灶的重叠程度,发现该指标能预测患者3个月后的运动功能。而高鑫洁等[16]的研究结果表明慢性期脑卒中CST受病灶累积程度与患者上肢及手腕部运动功能障碍相关。不过,这些研究都是从脑卒中病灶出发,探讨CST受病灶直接累积程度对CST结构完整性损伤的影响。事实上,脑卒中后不仅病灶原发部位脑组织会受到损害,病灶远隔部位往往存在潜隐发生且渐进不停的继发性损伤。然而,评估病灶对CST的累积程度却不能反映随时间进程CST的继发性损伤状况,而CST自身水分子的扩散变化也是反映其继发性损伤的重要标志。卒中后受累积的CST轴突崩解及神经髓鞘的脱失使神经纤维数量减少、排列致密性降低、扩散屏障消失,导致CST神经纤维束各向异性减弱,表现为FA降低。因此,测量CST自身水分子扩散指标可以监测CST的微观结构变化。例如,Park等[13]的研究采用基于健康对照组CST模板的方法计算21例脑卒中患者CST的FA相关指标,结果发现FA指标反映了CST的损伤状况,且与卒中后的运动功能存在良好的相关性。因此,本研究基于健康对照组CST模板方法,从CST自身水分子扩散情况变化的角度进一步证实了脑卒中患者CST结构完整性损伤与患者运动功能的关系。
FA是反映白质神经纤维束方向一致性程度和微观结构完整性最常用的扩散指标。脑卒中会导致白质神经纤维发生华勒氏变性(Wallerian degeneration,WD),从而使CST的FA值下降[5, 6, 7, 8,21]。Liang等[6]的研究纵向追踪了脑卒中后1~12周CST内囊后肢处的FA值,发现FA值持续降低并与FMA评分改变量相关。Puig等[7]的研究结果表明脑卒中后30 d患者病灶同侧CST的FA显著降低,张丽华等[8]的研究也发现脑卒中病灶同侧CST的FA显著降低并与患者FMA评分呈正相关,这与本研究的结果一致,提示脑卒中导致病灶同侧CST完整性受损并发生WD,FA与运动功能存在相关性。
脑卒中患者rFA的变化通常与病灶同侧CST的FA变化趋势相同。例如,Park等[13]的研究发现脑卒中后患者CST的rFA显著降低,提示患者CST微观结构出现损伤。Yu等[10]的纵向研究追踪了一组脑卒中患者双侧CST节段(从大脑脚最上层到桥脑最下层),并计算该段CST的rFA。结果发现,该CST节段的rFA在前3个月持续下降,并且rFA的变化与患者1年后的运动功能评分相关。此外,栗斌等[22]的研究发现,脑卒中后患者CST的rFA与患者肌力恢复水平密切相关,rFA数值越大则肌力恢复越好,反之则恢复越差。本研究结果也显示,脑卒中后rFA显著降低,且与患者FMA“手+腕”及上肢运功功能评分呈显著正相关。综上所述,rFA可作为评估CST结构完整性的参考指标,并能在一定程度上预测患者的运动功能恢复情况。
与FA和rFA降低的作用类似,FAasy的增高也反映了CST的完整性损伤[13,23]。不过,与前两者相比,FAasy降低了脑卒中患者因个体差异造成的影响,应是反映CST各向异性程度和结构完整性更可靠的扩散指标[24, 25]。FAasy也常用于预测卒中的严重程度和潜在恢复能力[20]。Filatova等[26]的研究提示,FAasy越大,患者的运动功能恢复越差。Lindenberg等[9]发现慢性期脑卒中患者内囊后肢的FAasy与其上肢FMA评分呈显著负相关。此外,Qiu等[27]的研究表明,与基于功能磁共振成像(blood oxygenation level dependent fMRI,BOLD-fMRI)计算出的脑卒中患者运动皮质的偏侧性指数(laterality index,LI)相比,FAasy与FMA评分的相关性更强,说明基于DTI测得的白质完整性比BOLD-fMRI更能预测脑卒中运动功能损伤。类似地,本研究也发现脑卒中患者CST的FAasy显著增高,且与患者“手+腕”及上肢运动功能障碍呈显著负相关。分布回归分析进一步发现,相较于病灶同侧CST的FA和rFA,FAasy与患者“手+腕”和上肢运功功能评分更相关,意味着FAasy能更好地描述脑卒中患者“手+腕”和上肢的运动功能损伤状况,这或许暗示FAasy是预测患者运动功能损伤状况更敏感的指标。
先前的研究[19]发现,脑卒中患者的rMD在发病后一年间持续上升,本研究也发现卒中组CST的rMD显著高于健康对照组。这与脑卒中导致CST微观组织结构被破坏,水分子在垂直髓鞘方向的扩散限制明显减弱,从而表现为MD增高[20]。这就解释了本研究结果发现病灶同侧CST的MD及rMD显著增加且MDasy显著减小。而病灶对侧CST的FA和MD无显著变化,说明病灶对侧CST受脑卒中病变影响不大。此外,本研究结果还显示,MD、rMD和MDasy与运动功能评分均无明显相关性,进一步说明MD相关指标在评估CST结构完整性与运动功能间的联系时不如FA相关指标敏感,这也在先前的研究[28]中得到证实。
本研究存在一些不足之处。我们采用了经过优化的概率性纤维追踪算法追踪CST,但对于交叉纤维的显示依然存在一定的局限性,未来的研究可以采用多种纤维束成像方法(例如,多张量模型或扩散谱成像[29])更准确地描述CST的微观结构特性。另外,本研究为横向研究,故无法全面了解脑卒中后CST随时间的退化和重塑过程以及与运动功能恢复的动态变化的关系。下一步研究将考虑对急性期脑卒中患者进行纵向跟踪研究,并重点监测CST的FAasy指标变化及其与患者运动功能恢复间的联系,这或许更有助于判断运动功能损伤及预测运动功能恢复状况,从而有利于制定更有效的康复治疗方案。
本研究运用概率性纤维束成像追踪出健康对照组CST模板,基于健康对照组CST模板测算脑卒中CST各扩散定量指标。结果发现,FA相关指标能反映CST结构完整性损伤状况,尤其是FAasy与“手+腕”及上肢运动功能评分密切相关,或许可作为评估脑卒中患者手腕部和上肢运动功能障碍的重要参考指标。
This work was supported by the National Natural Science Foundation of China (No. 81471651), the National Natural Science Foundation of China (No. 81974356), the Young National Natural Science Foundation of China (No. 81401859), the National Key R&D Program of China (No.2020YFC2004200).
全体作者均声明无利益冲突。





















