
探讨MR集成(magnetic resonance image compilation, Magic)序列在慢性冈上肌肌腱炎(supraspinatus tendinitis, ST)诊断中的价值。
前瞻性招募临床怀疑冈上肌肌腱炎的患者42例(肌腱炎组)及健康志愿者28例(对照组),行肩关节MRI轴位[T2WI脂肪抑制(fat saturation, FS)序列、T1WI FS序列]、斜冠状位(T2WI FS序列)及矢状位[质子密度加权(proton density weighted, PDW)序列]扫描,同时行Magic序列斜冠状位扫描。于Magic序列生成的T2WI斜冠状位图像上根据冈上肌肌腱走形将其分为外侧亚区、内侧亚区及中间亚区。由两名放射科医生于Magic斜冠状位图像上分别测量冈上肌肌腱三个分区的T1、T2及质子密度(proton density, PD)值,采用组内相关系数(intra-class correlation coefficient,ICC)评估观察者间及观察者内的一致性。采用单因素方差分析或Kruskal-Wallis H检验比较不同分区各定量参数的差异。绘制受试者工作特征(receiver operating characteristic, ROC)曲线并计算曲线下面积(area under the curve, AUC),评价其对肌腱炎的诊断效能。
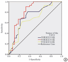
肌腱炎组外侧亚区的T1、T2值、中间亚区的T2值均高于对照组,差异有统计学意义(P<0.05);肌腱炎组外侧亚区的PD值、中间亚区的T1、PD值与对照组差异无统计学意义(P>0.05);肌腱炎组内侧亚区的T1、T2及PD值与对照组差异均无统计学意义(P>0.05)。外侧亚区的T1、T2值诊断冈上肌肌腱炎的AUC分别为0.821、0.733,敏感度和特异度分别为90.5%和67.9%、66.7%和78.6%。中间亚区T2值的AUC为0.682,敏感度和特异度分别为61.9%、75.0%。
Magic序列的T1、T2值是反映慢性冈上肌肌腱炎的有效量化参数,能够为临床对冈上肌肌腱变性提供量化的客观依据。
本刊刊出的所有论文不代表本刊编委会的观点,除非特别声明
冈上肌肌腱炎是运动爱好者的常见病,易反复发作,在上肢过肩运动中因冈上肌肌腱反复做功而应力积累或因肱骨头与喙肩弓的挤压撞击而损伤,是引起肩部疼痛的重要因素,常影响患者肩部的自由活动[1]。目前临床对冈上肌肌腱炎的诊断主要依赖于患者主诉及体格检查,但主观性较强、准确性差,缺乏精确可量化的客观指标,难以客观准确评价肌腱的真实情况,主要的影像学检查方法包括X线、CT、超声及MRI等。X线、CT对钙化性肌腱炎、骨性结构等显示较好,但软组织分辨率低,诊断价值有限[2];超声虽可观察肌肉组织,但无法获得定量信息,有一定局限[3];常规MRI是目前临床最常用的评估冈上肌肌腱病变的影像学手段,但其有一定主观性、缺乏量化标准,不能准确反映肌腱内部结构变化,这限制了对肌腱变性和治疗效果的准确评估[4]。MR集成(magnetic resonance image compilation, Magic)序列是一种新型的多模态定量MRI技术,可以一次生成多组常规加权序列和定量序列,缩短扫描时间,反映人体组织成分的定量化信息,提高临床应用的可行性[5]。目前临床将Magic序列应用于中枢神经系统、乳腺等方面[6, 7],不少研究证实了其在颞下颌关节、腰椎间盘病变及骶髂关节等骨肌系统成像中的可行性[8, 9, 10],国内目前尚未见其应用于肩关节的报道。
Magic序列可通过调整TE及TR生成不同的图像对比,获得组织的特征性弛豫值[T1、T2、质子密度(proton density, PD)及R1、R2值],实现各种组织早期生化变化(如胶原纤维结构、方向和水分含量等)方面的定量评估[11, 12]。冈上肌肌腱炎的病理过程分为水肿出血期、慢性肌腱炎期和肌腱断裂期,肌腱的内部结构在不同阶段有所差异,总体表现为微胶原纤维紊乱,蛋白多糖和糖胺聚糖含量增加,细胞增生和新生血管形成[13]。由于肌腱的变性发生自由水和结合水的含量增加、脂肪浸润甚至胶原蛋白分子结构及顺序排列的改变,而MRI可因组织内自由水含量的增多造成T2横向弛豫时间延长,蛋白变性、脂肪浸润导致T1弛豫时间缩短[14, 15]。因此本研究联合Magic序列的定量技术探讨其在冈上肌肌腱炎诊断中的价值,旨在为客观评价冈上肌肌腱炎提供新的技术支持。
前瞻性招募2021年1月至2021年7月宁夏医科大学总医院疑似冈上肌肌腱损伤接受肩关节MRI检查的患者。病例纳入标准:(1)符合慢性冈上肌肌腱炎的诊断标准[14, 15][①有肩部外伤或肩部劳损史;②以肩部疼痛为主要表现,疼痛部位一般位于肩外侧,活动、用力时尤甚;③疼痛弧试验阳性;④肩关节MRI证实冈上肌肌腱损伤[16](PD及T2WI脂肪抑制(fat saturation, FS)序列上肌腱信号增加,除外肌腱断裂)];(2)病程3~24个月;(3)年龄18~60岁;(4)未接受过任何规范化的治疗;(5)同意参与本研究并签署知情同意书。病例排除标准:(1)MRI证实肩袖撕裂;(2)X线片检查提示钙化性肌腱炎;(3)MRI或X线证实合并有肩部骨折、肩关节局部感染者;(4)既往肩关节手术史。同时筛选年龄相匹配的健康志愿者,纳入标准:(1)年龄在18~60岁之间;(2)肩关节常规MRI扫描未见异常病灶;(3)无MRI检查禁忌证,排除标准同病例组排除标准。该研究获宁夏医科大学总医院伦理委员会批准,伦理批文号:2020-657,所有受试者均签署知情同意书。
所有受试者均行肩关节MRI扫描。采用美国GE公司SIGNATM Architect 3.0 T扫描仪,16通道肩关节专用线圈,头先进,使用沙袋固定肩关节减少移动伪影。扫描序列及参数如下:(1)横轴位T1WI FS序列,TR=500 ms;TE=20 ms;矩阵=320×320;视野=18 cm×18 cm;层厚=4 mm;层间隔=0.4 mm;扫描时间1 min 28 s。(2)横轴位T2WI FS序列,TR=2650 ms;TE=40 ms;矩阵=320×320;视野=18 cm×18 cm;层厚=4 mm;层间隔=0.4 mm;扫描时间1 min 40s。(3)斜冠状位T2WI FS序列,TR=2500 ms;TE=60 ms;矩阵=256×256;视野=24 cm×24 cm;层厚=4 mm;层间隔=0.4 mm;扫描时间1 min 51 s。(4)斜矢状位质子密度加权(proton density weighted, PDW)序列,TR=2350 ms;TE=40 ms;矩阵=256×256;视野=24 cm×24 cm;层厚=4 mm;层间隔=0.4 mm;扫描时间1 min 34 s。(5)斜冠状位Magic序列,TR=4000 ms;TE 1=10 ms,TE 2=100 ms;矩阵=300×224;视野=20 cm×20 cm;层厚=4 mm;层间隔=1 mm;扫描时间4 min。
扫描完成后由2名具有10年以上骨肌系统疾病诊断经验的放射科医师独立阅片,采用盲法评价图像并纳入肌腱炎病例,意见不同时经协商达成一致。另外使用GE主机MAGiC处理软件包进行图像后处理,生成T1 mapping、T2 mapping 和PD mapping 3组定量图谱。于Magic序列生成的T2WI斜冠状位图像上将冈上肌肌腱分为外侧亚区(指冈上肌肌腱纤维远侧插入部位)、中间亚区(指外侧部位和内侧部位连线的中点部位)及内侧亚区(指位于外侧部位内侧方向2 cm左右、高于肱骨头软骨的区域)[17],如图1所示。根据肌腱的走形分别于3个亚区勾画感兴趣区(region of interest, ROI),勾画时避开脂肪及周围其他组织,ROI的勾画及测量分别由前2名放射科医师(观察者1和2)独立完成,并在间隔至少2周后重复测量数据,以评估观察者间和观察者内的一致性,最终的分析数据为2名医师4次测量结果的平均值。


采用SPSS 22.0对所有数据进行统计分析。利用Kolmogorov-Smirnov检验对所有计量资料进行正态性检验,符合正态分布的数据用(±s)表示,不符合正态分布的用M(Q1,Q3)表示。以组内相关系数(intra-class correlation coefficient, ICC)评估观察者间和观察者内测量T1、T2和PD值的可重复性,以ICC>0.75表明一致性良好。T1、T2和PD值之间的比较采用单因素方差分析,组间采用Kruskal-Wallis H检验。对差异有统计学意义的参数绘制受试者工作特征(receiver operating characteristic, ROC)曲线,计算敏感度、特异度及95%置信区间(confidence interval, CI),评价其诊断肌腱炎的效能,并通过约登指数找出相对应的阈值。曲线下面积(area under the curve, AUC)比较采用Z检验。P<0.05为差异有统计学意义。
最终纳入患者42例(肌腱炎组),其中男18例,女24例,年龄32~58(44.4±9.5)岁,患者病程最短3个月,最长2年。28例健康志愿者(对照组)中男16例,女12例,年龄25~47(35.2±6.9)岁。肌腱炎组与对照组体质量指数(body mass index, BMI)分别为(20.84±1.57)kg/m2、(21.09±1.64)kg/m2。两组研究对象的年龄、性别比例、体质量指数差异均无统计学意义(P>0.05)。
冈上肌肌腱三个亚区T1、T2及PD值测量结果一致性分析发现,外侧亚区的ICC值较高,其次是中间亚区,最后是内侧亚区,除观察者2的PD值观察者内ICC值为0.723外,其余ICC值均>0.75(表1)。

观察者测量冈上肌肌腱各亚区T1、T2及PD值的ICC值
ICC values of T1, T2 and PD values in three subregions of supraspinatus tendon measured by observers
观察者测量冈上肌肌腱各亚区T1、T2及PD值的ICC值
ICC values of T1, T2 and PD values in three subregions of supraspinatus tendon measured by observers
| 组别 | T1值 | T2值 | PD值 | ||||||
|---|---|---|---|---|---|---|---|---|---|
| 外侧亚区 | 中间亚区 | 内侧亚区 | 外侧亚区 | 中间亚区 | 内侧亚区 | 外侧亚区 | 中间亚区 | 内侧亚区 | |
| 观察者1 | 0.896 | 0.901 | 0.895 | 0.833 | 0.912 | 0.836 | 0.901 | 0.932 | 0.795 |
| 观察者2 | 0.915 | 0.915 | 0.869 | 0.901 | 0.913 | 0.811 | 0.895 | 0.896 | 0.723 |
| 观察者间 | 0.903 | 0.910 | 0.911 | 0.900 | 0.917 | 0.891 | 0.917 | 0.927 | 0.755 |
注:PD为质子密度;ICC为组内相关系数。
肌腱炎组外侧亚区的T1及T2值、中间亚区的T2值均高于对照组,差异有统计学意义(P<0.05);肌腱炎组外侧亚区的PD值、中间亚区的T1及PD值与对照组差异无统计学意义(P>0.05);肌腱炎组内侧亚区的T1、T2及PD值与对照组差异均无统计学意义(P>0.05)(表2)。

肌腱炎组与对照组的定量值结果比较
Comparison of quantitative values between the tendinitis group and the control group
肌腱炎组与对照组的定量值结果比较
Comparison of quantitative values between the tendinitis group and the control group
| 组别 | T1值/ms | T2值/ms | PD值/pu | ||||||
|---|---|---|---|---|---|---|---|---|---|
| 外侧亚区 | 中间亚区 | 内侧亚区 | 外侧亚区 | 中间亚区 | 内侧亚区 | 外侧亚区 | 中间亚区 | 内侧亚区 | |
| 肌腱炎组 | 945.92±162.83 | 845.50(780.00,927.25) | 893.50(761.00,1132.00) | 44.15±7.99 | 41.73±7.91 | 47.00(42.00,62.00) | 77.20±16.32 | 66.75(46.85,73.70) | 43.80±11.84 |
| 对照组 | 672.50(600.75,903.25) | 837.00±315.56 | 858.3±186.52 | 34(31.25,38.00) | 35(31.00,37.75) | 51.00(42.25,61.00) | 74.54±13.54 | 56.50(50.98,73.33) | 53.65(40.43,56.80) |
| 检验值 | -4.53① | -1.07① | -1.97① | -3.28① | -2.57① | -0.56① | 0.05② | -0.20① | -1.24① |
| P值 | <0.05 | 0.28 | 0.05 | <0.05 | <0.05 | 0.58 | 0.23 | 0.84 | 0.06 |
注:符合正态分布的数据用(±s)表示,不符合正态分布的数据用M(Q1,Q3)表示。PD为质子密度,pu为单位体素内氢质子密度(per unit);①表示χ2值;②表示F值。
外侧亚区T1、T2值AUC分别为0.821、0.733,敏感度和特异度分别为90.5%和67.9%、66.7%和78.6%;中间亚区T2值AUC为0.682,敏感度和特异度分别为61.9%、75.0%;外侧亚区T1值及T2值判断正常肌腱与肌腱炎的阈值分别为795.5 ms与38.5 ms;中间亚区T2值判断正常肌腱与肌腱炎的阈值为37.5 ms。经Delong检验,外侧亚区T1、T2值及中间亚区T2值诊断冈上肌肌腱炎的AUC差异无统计学意义(P值分别为0.10、0.06、0.41,Z值分别为1.645、1.874、0.816)。


冈上肌肌腱炎作为肩袖损伤病理演变中的早期重要过程,早期诊断肌腱变性不仅有利于治疗,还能改善患者因疼痛导致的活动受限程度增加而对生活质量不利的情况。Magic序列通过一次扫描重建多组定量图像进而实现疾病定量诊断的新技术近年来已成为国内外的研究热点,本研究参照Anz等[17]的研究方法,将冈上肌肌腱分为三个亚区,在国内首次测量Magic序列中冈上肌肌腱不同亚区的T1、T2及PD值,结果发现外侧亚区的T1及T2值、中间亚区的T2值对慢性冈上肌肌腱炎的鉴别诊断有一定的价值,且三个亚区定量值测量的可重复性均较好,可作为反映冈上肌肌腱炎的有效量化参数。
本研究结果显示冈上肌肌腱三个亚区的ICC值均较高,其中以外侧亚区的ICC值最高,这可能是由于外侧亚区主要为冈上肌肌腱于肱骨大结节的附着部位,解剖位置明确,ROI勾画较容易,观察者间一致性较好,这与既往研究结果相似[18]。其次是中间亚区,受斜冠状位图像中肌腱显示情况的影响,若斜冠状位图像因扫描定位等原因对冈上肌肌腱显示欠佳,则可能造成ROI勾画位置偏移进而影响数据的稳定性。而内侧亚区肌腱逐渐移行为肌肉,ROI勾画的位置及大小受一定主观判断影响,造成内侧亚区定量值测量的一致性稍低。总之,外侧亚区的定量值测量具有较高的一致性,具有临床应用可行性。
本研究结果发现发生冈上肌肌腱炎时肌腱外侧及中间亚区的T2值明显增高。由于外侧亚区主要是肱骨大结节附着处的肌腱,且该部位为明显的“乏血管区”[19],以胶原蛋白为主要组成成分,当附着处肌腱由炎性浸润、水肿发展至纤维蛋白分子结构破坏、肌腱充血变性甚至脂肪浸润时,T2弛豫时间明显延长,T2值增高,这种弛豫时间的差异反映了T2值对胶原纤维在肌腱内部的方向、磁场中的方向以及水含量等反映肌腱生理特点的标志物非常敏感,这与既往研究结果相似[20, 21, 22]。另外本研究发现发生肌腱炎时外侧亚区的T1值也显著增高。T1弛豫时间最初用于急性脑缺血事件后心肌纤维化的无创评估[23],已有多项研究将该技术应用于肌腱相关病变的评估,国外研究文献报道表明T1弛豫时间可作为一种生物标志物区分健康和病理性肌腱[24, 25]。本研究发现发生肌腱炎时冈上肌肌腱外侧亚区的T1值显著增高,且对肌腱炎的诊断效能较高,这进一步证明了T1弛豫时间可反映慢性冈上肌肌腱炎的纤维化、脂肪浸润及组织水肿等改变[26],随着病程的不断进展,肌腱发生纤维化及脂肪浸润愈发显著,T1值明显增高。
MRI中不同组织弛豫时间的差异与组织自由水含量、水分子和大分子的随机运动、组织脂肪含量及顺磁性物质的存在等因素有关[27, 28],其中自由水的含量对组织弛豫时间的影响最为明显。有研究[29]表明自由水含量越多,T2弛豫时间越长,本研究发现肌腱发生炎性病变时,T2值显著增高,且对肌腱炎有较高的诊断效能。除了外侧亚区的T2值对冈上肌肌腱炎有较高的诊断效能外,中间亚区的T2值对冈上肌肌腱炎也有一定的诊断价值。一方面,从肌腱炎的病理演变过程角度出发,这提示中间亚区的T2值升高与肌腱的撕裂有一定联系[30]。Neer等[31]将肩袖损伤程度分为Ⅲ期:Ⅰ期为肩袖水肿出血期;Ⅱ期为肩袖肌腱炎,Ⅲ期为肩袖则出现撕裂情况。随着肩袖损伤程度的加重,肩袖由炎性病变发展为撕裂。另一方面,中间亚区T2值的差异可能提示部分肌腱炎已累及至肌腱的中间亚区造成肌腱的水肿变性,主观上图像虽无明显的信号增高,但中间亚区T2值升高,而T1值尚无显著差异,说明T1值在反映组织水肿上可能不及T2值敏感[32]。本研究中病例组与对照组的PD值无明显差异。PD值是组织的固有磁特性,它表示单位体积内氢质子数量[33],其在骨肌系统的应用较少,笔者未检索到关于PD值与肌腱组织氢质子含量关系的报道,还需进一步研究。
本研究存在一些局限性:(1)缺乏肩关节镜检查,还需要建立动物模型,对肌腱内部的生化成分与各定量值的相关性进一步研究;(2)样本量较少,未来可纳入肩袖撕裂病例进行大样本量肌腱相关病变的进一步研究。
综上所述,Magic序列的T1及T2值是反映慢性冈上肌肌腱炎的有效的量化参数,能够为临床对冈上肌肌腱炎的诊断提供量化的客观依据。
Key R & D Projects in Ningxia Hui Autonomous Region (No. 2021BEG03033).
全体作者均声明无利益冲突。





















