
探讨MRI在重离子疗法(heavy-ion therapy, HIT)治疗肝细胞癌(hepatocellular carcinoma, HCC)疗效评价中的价值。
回顾性分析经HIT治疗的25例HCC的MRI检查资料,对比治疗前与治疗后3~6个月复查时肿瘤轴位面积、体积及最大长径,分析表观扩散系数(apparent diffusion coefficient, ADC)、动态增强扫描三期[动脉期(artery phase, A phase)、门脉期(hepatic portal venous phase, H phase)、静脉期(venous phase, V phase)] T1WI信号强化率(signal enhancement ratio, SER)的影像学变化特点,以肿瘤标志物甲胎蛋白(alpha-fetal protein, AFP)的变化为参照,分析影像变化与AFP变化之间的相关性,评估MRI在疗效评价中的价值。采用Wilcoxon秩和检验比较治疗前后AFP、形态学参数(最大长径、面积、体积)和MRI功能学参数(ADC、SER)的变化;采用Spearman相关性分析方法分析A phase、H phase、V phase的SER与肿瘤形态、ADC值、AFP值之间的相关性。
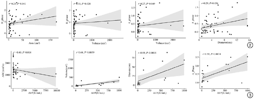
HIT治疗后HCC形态明显缩小,AFP减低;同时,MRI功能学定量参数三期SER均明显减低、而ADC值明显增高(P均<0.05)。相关性分析显示,A phase的SER与肿瘤形态呈轻度正相关,与肿瘤最大长径和体积的相关系数分别为0.29、0.27(P均<0.05);H phase的SER亦与肿瘤形态呈轻度正相关,其中与面积和体积的相关系数分别为0.28、0.31(P均<0.05);ADC值与AFP值呈负相关(r=-0.40,P<0.05)。AFP与肿瘤大小和SER的相关性研究显示,AFP与肿瘤的直径和体积呈正相关(r=0.69、0.64,P均<0.05);同时,AFP与A phase的SER呈正相关(r=0.59,P<0.05),而与H phase和V phase的SER无明显相关性(P>0.05)。
HCC在HIT治疗前后变化明显,且与AFP有相关性,随着AFP的降低,HCC肿瘤大小、SER均较治疗前降低,而ADC值较治疗前升高,MRI可有效评估HIT治疗HCC的疗效。
本刊刊出的所有论文不代表本刊编委会的观点,除非特别声明
肝细胞癌(hepatocellular carcinoma, HCC)占肝癌病例的75%~85%,是全球第六大最常见的癌症,也是癌症死亡的第三大原因[1]。中国西部地区肝癌的发病率和死亡率均排在第二位,占所有癌症病例的11.88%,占所有癌症死亡的16%[2],总体五年生存率为15%~17%[3]。肝切除术和肝移植被视为根治性治疗方法[4],然而在发现时只有不到30%的患者适宜手术治疗[5]。腹腔镜肝切除术是肝功能完好且直径在2~5 cm的孤立性HCC患者的最佳治疗方法[6]。大多数HCC患者被确诊时已为晚期,总体预后不佳,主要原因是复发和转移,因此失去手术机会[7]。
根据HCC临床实践指南,经动脉化疗栓塞可用于中期HCC,但坏死率较低。射频消融在治疗小于3 cm的HCC方面有效[8]。随着放射治疗肝癌临床经验的积累,美国国立综合癌症网络(National Comprehensive Cancer Network, NCCN)指南及国家卫生健康委员会关于原发肝癌诊疗规范均将放疗作为不可切除肝癌或无法实施手术肝癌的优选方法[9]。三维适形放疗、立体定向消融和粒子束放射治疗报告的生存时间分别为5~24个月、17个月和13~22个月[10]。重离子疗法(heavy-ion therapy, HIT)是一种很有前途的癌症治疗方法[11],是近年出现的放疗技术。围绕HIT治疗肿瘤的临床关键问题去探索符合HIT治疗特点的诊疗方案是当务之急[12]。
HCC患者血清甲胎蛋白(alpha-fetal protein, AFP)水平常升高,研究显示AFP的早期变化可能有助于预测HCC患者的抗肿瘤疗效[13]。随着MRI技术的不断发展,多功能成像技术已运用于HCC的影像检查,并显著提高了MRI对HCC的早期诊断与监测能力,在预后评价、治疗方案选择、疗效评估及复发转移监测中有较好的应用价值。但评估疗效都用实体瘤疗效评价标准(Response Evaluation Criteria in Solid Tumors, RECIST)中的肿瘤最大径线,而部分医生要求测量肿瘤二维或三维径线,标准和要求不一,此外,由于部分HCC治疗后早期虽形态大小变化不明显,但在细胞及分子学层面已出现变化,因此有必要探讨新的评估方法以有效、准确、定量的评估疗效。用MRI评估HIT治疗HCC疗效的研究尚不多见。本研究可以补充HIT治疗HCC中的功能MRI如表观扩散系数(apparent diffusion coefficient, ADC)、动态增强扫描T1WI信号强化率(signal enhancement ratio, SER)等方面的资料,并与AFP相结合,通过相关性研究验证其评估HIT治疗HCC的准确性与可靠性。
本研究遵照《赫尔辛基宣言》,经甘肃省武威肿瘤医院伦理委员会批准,免除受试者知情同意,批准文号:2018-伦理审查-21。回顾性分析2018年11月至2022年8月进行HIT治疗的25例HCC病例资料。纳入标准:(1)病理或CT/MRI影像学诊断为HCC;(2)所有患者进行HIT治疗;(3)HIT治疗前后均有完整的MRI检查资料且均进行了准确测量。排除标准:(1)未完成全程治疗者;(2)当肿瘤<1 cm或囊变坏死过大(MRI增强显示对比剂摄取的病灶横径<1 cm);(3)联合化疗或其他治疗的患者。
本研究对比治疗前与治疗后3~6个月复查时肿瘤轴位面积、体积及最大长径,ADC值。所有病例分别于治疗前与治疗后3~6个月复查时分别进行以下MRI检查。
采用德国Siemens公司3.0 T Skyra超导MRI扫描仪,使用16通道腹部线圈。平扫行冠状位T2WI序列扫描,参数:自旋回波(spin echo, SE)序列,TR 1800 ms,TE 87 ms,FOV 420 mm×420 mm,层厚5 mm,间距1 mm,扫描范围包括整个肝脏;横断位T1WI采用Dixon序列,分别得到正相位、反相位、脂相和水相四组图,参数:梯度回波(gradient echo, GRE)序列,TR 4 ms,TE 2 ms,FOV 400 mm×325 mm,层厚5 mm,间距1 mm,扫描范围包括整个肝脏;T2WI扫描,参数:脂肪抑制(fat suppression, FS)序列,TR 3957 ms,TE 84 ms,FOV 300 mm×256 mm,层厚5 mm,间距1 mm,扫描范围包括整个肝脏;然后进行扩散加权成像(diffusion-weighted imaging, DWI)扫描,重建ADC图像,参数:平面回波(echo planar, EP)序列,TR 6800 ms,TE 48 ms,FOV 380 mm×306 mm,b值50、400、800 s/mm2,层厚5 mm,间距1 mm;动态增强采用T1WI三维容积内插技术扫描,参数:梯度回波(gradient echo, GRE)序列,TR 4 ms,TE 1 ms,FOV 400 mm×325 mm,层厚3 mm,间距0 mm,对比剂GD-DTPA(钆喷酸葡胺注射液,广州康臣药业有限公司,中国)使用高压注射器静脉快速团注,剂量0.1 mmol/kg,流速2 mL/s,共扫4次,分别于打药后15 s、20 s、50~60 s、3~5 min时扫描动脉期(artery phase, A phase)早期、A phase晚期、门脉期(hepatic portal venous phase, H phase)、静脉期(venous phase, V phase)图像。
由两位分别从事影像诊断工作20年和29年的主治医师和副主任医师使用西门子MRWP工作站在T1WI增强序列上测量肿瘤治疗前后肿瘤轴位面积、体积及最大长径,测量DWI上扩散加权受限区域的ADC值,b值取800 s/mm2,测量并计算三期(A phase、H phase及V phase)的SER,SER=(SIpost-SIpre)/SIpre×100%,SIpre、SIpost分别为增强前后的信号强度(signal intensity, SI)。当肿瘤信号不均时,测量3次数值取其平均值。当测量结果不一时,采用较高职称医师的结果。感兴趣区域(region of interest, ROI)在轴位最大肿瘤层勾画,尽量避免出血、坏死组织及血管区域。
采用放射免疫法测定血清AFP浓度,正常测定值≤5.8 IU/mL,评估肿瘤形态(面积、体积、最大长径)、ADC值、三期SER与AFP变化的相关性。
HIT治疗使用中科院兰州近代物理研究所研发的医用重离子加速器(TPS,版本V1.0,兰州科近泰基新技术有限公司),固定在64~76 gy(RBE),危及器官限量。
采用SPSS 22.0统计软件,治疗前后AFP、形态学参数(最大长径、面积、体积)和MRI功能学参数(ADC、SER)比较采用配对Wilcoxon秩和检验,检验前对数据进行正态性分析;采用Spearman相关性分析方法分析T1WI增强三期SER与肿瘤形态及ADC、AFP之间的相关性。病例临床特征分析用均数±标准差描述符合正态分布的连续性变量,并用t检验分析组间差异;用中位数(四分位间距)描述非正态分布的连续性变量,并用Wilcoxn秩和检验分析组间差异;用频数(百分比)描述分类变量,并用卡方检验(适当时采用连续性校正和Fisher确切概率法)分析组间差异分析。P<0.05为差异有统计学意义。
采用主动随访,主要以电话随访为主,收集患者检查后的影像资料、生存状态等,时间间隔为治疗后3个月~6个月。
研究最终纳入25例HCC患者病例,其中男22例,女3例,年龄32~75(53.08±11.32)岁。25例HCC患者如期完成HIT治疗。患者的一般临床资料除年龄外,差异均无统计学意义(P>0.05),详见表1。

HCC患者临床特征
Clinical characteristics of the patients with HCC
HCC患者临床特征
Clinical characteristics of the patients with HCC
| 特征 | 总样本(n=25) | 年龄>50组(n=13) | 年龄≤50组(n=12) | 统计量 | P值 |
|---|---|---|---|---|---|
| 年龄/岁 | 52.12±12.35 | 42.46±5.83 | 62.58±8.12 | -7.07 | <0.001① |
| 性别/例(%) | — | 1.000② | |||
| 男 | 22(88) | 11(85) | 11(92) | ||
| 女 | 3(12) | 2(15) | 1(8) | ||
| 病因/例(%) | — | 0.093② | |||
| 未知 | 2(8) | 0(0) | 2(17) | ||
| 丙肝 | 1(4) | 0(0) | 1(8) | ||
| 乙肝 | 22(88) | 13(100) | 9(75) | ||
| Child分级/例(%) | — | 1.000② | |||
| A | 24(96) | 12(92) | 12(100) | ||
| B | 1(4) | 1(8) | 0(0) | ||
| AJCC T分期/例(%) | — | 0.121② | |||
| T1 | 10(40) | 5(38) | 5(42) | ||
| T2 | 8(32) | 6(46) | 2(17) | ||
| T3 | 6(24) | 1(8) | 5(42) | ||
| T4 | 1(4) | 1(8) | 0(0) | ||
| AJCC N分期/例(%) | — | 0.593② | |||
| N0 | 22(88) | 12(92) | 10(83) | ||
| N1 | 3(12) | 1(8) | 2(17) | ||
| AJCC M分期/例(%) | — | 0.593② | |||
| M0 | 22(88) | 12(92) | 10(83) | ||
| M1 | 3(12) | 1(8) | 2(17) | ||
| 肿瘤长径/cm | 4.00(2.40,5.90) | 3.50(2.00,5.00) | 4.55(3.38,6.35) | 53.50 | 0.191③ |
| AFP/(IU•mL-1) | 142.85(27.33,1000.00) | 102.25(25.40,583.88) | 610.95(104.12,1427.50) | 32.00 | 0.232③ |
注:HCC为肝细胞癌;Child分级为对肝硬化患者的肝脏储备功能进行量化评估的分级标准;AJCC为美国癌症联合会;AFP为甲胎蛋白。①正态分布的连续性变量数据用均数±标准差格式,组间差异用t检验分析;②分类变量用频数(百分比)格式,组间差异用卡方检验分析;③非正态分布的连续性变量数据用中位数(上下四分位数)格式,组间差异用Wilcoxn 秩和检验分析。
两位医师测量HIT治疗前后肿瘤形态学参数(面积、体积、最大长径)和MRI功能学参数(ADC、三期SER)数据一致性较好,详见表2。

两位医师测量数据的一致性分析
Consistency analysis of measurement data between two physicians
两位医师测量数据的一致性分析
Consistency analysis of measurement data between two physicians
| 参数 | Kappa值 | P值 |
|---|---|---|
| 面积 | 0.59 | <0.001 |
| 体积 | 0.55 | <0.001 |
| 最大长径 | 0.87 | <0.001 |
| 表观扩散系数 | 0.71 | <0.001 |
| 动脉期T1WI信号强化率 | 0.42 | <0.001 |
| 门脉期T1WI信号强化率 | 0.55 | <0.001 |
| 静脉期T1WI信号强化率 | 0.46 | <0.001 |
治疗前后AFP、形态学参数(最大长径、面积、体积)和MRI功能学参数(ADC、SER)配对Wilcoxon秩和检验(非参数配对)结果显示,治疗后HCC形态明显缩小,AFP明显减低;同时,SER均明显减低、而ADC值明显增高(P均<0.05),详见表3、图1。

重离子治疗前后肿瘤形态、ADC值及AFP变化
Size, ADC value and AFP comparison of HCC before and after heavy-ion therapy
重离子治疗前后肿瘤形态、ADC值及AFP变化
Size, ADC value and AFP comparison of HCC before and after heavy-ion therapy
| 变量 | 治疗前 | 治疗后3~6个月 | Z值 | P值 |
|---|---|---|---|---|
| 形态学参数 | ||||
| 面积/cm2 | 11.60(4.70,27.50) | 5.17(0.97,19.00) | -4.457 | <0.001 |
| 体积/cm3 | 39.45(10.02,150.65) | 11.37(2.62,81.70) | -4.305 | <0.001 |
| AFP/(IU•mL-1) | 134.00(14.50,1000.00) | 40.90(9.11,574.50) | -3.260 | 0.001 |
| MRI功能学参数 | ||||
| ADC/(mm2•s-1) | 1.20(1.02,1.78) | 1.47(1.22,1.78) | -3.543 | <0.001 |
| 动脉期T1WI信号强化率/% | 0.47(0.05,0.86) | 0.09(0.00,0.50) | -3.473 | 0.001 |
| 门脉期T1WI信号强化率/% | 1.04(0.83,1.56) | 0.65(0.17,0.98) | -4.217 | <0.001 |
| 静脉期T1WI信号强化率/% | 0.97(0.54,1.34) | 0.55(0.08,1.05) | -2.693 | 0.007 |
注:ADC为表观扩散系数;AFP为甲胎蛋白;HCC为肝细胞癌。数据以中位数(四分位间距)格式表示。


Spearman相关性分析显示,A phase的SER与肿瘤形态呈轻度正相关(P<0.05),即随着肿瘤的缩小,其强化程度降低,与肿瘤体积和最大长径的相关系数分别为0.27、0.29(图2);H phase的SER亦与肿瘤形态呈轻度正相关(P<0.05),面积和体积的相关系数分别为0.28、0.31(图2);ADC值与肿瘤标志物AFP值呈负相关(r=-0.40,P<0.05),即随着ADC值的升高,AFP值降低(图3);AFP与肿瘤的体积和直径呈正相关(r=0.64、0.69,P均<0.05);同时,AFP与A phase的SER呈正相关(r=0.59,P<0.05)(图3),而与H phase和V phase的SER无明显相关性(P>0.05)。


本研究的中位随访期为3~6个月,25例患者中,2例虽治疗后原发灶缩小,但1例于6个月后出现肺转移,另1例于9.5个月时出现肝转移;还有2例虽原发灶缩小,但于治疗后10个月、12个月时分别因肝衰竭和消化道出血死亡。
本研究采用MRI多参数测量HCC肿瘤轴位面积、体积和最大长径、ADC值、三期(A phase、H phase、V phase)SER,比较经HIT治疗前后变化的差异,并分析此种影像变化与AFP变化之间的相关性,评估MRI在疗效评价中的价值。结果显示经HIT治疗后HCC形态明显缩小,AFP减低;同时,MRI功能学定量参数三期SER均明显减低、而ADC值明显增高(P均<0.05)。相关性分析显示,动脉期(A phase)SER与肿瘤形态呈轻度正相关,门脉期(H phase)SER亦与肿瘤形态呈轻度正相关;ADC值与AFP值呈负相关。AFP与肿瘤大小和SI的相关研究显示,AFP与肿瘤的直径和体积呈正相关(P均<0.05);同时,AFP与动脉期(A phase)强化率呈正相关,而与门脉期(H phase)、静脉期(V phase)强化率无明显相关性(P>0.05)。
准确与有效地评估HIT治疗HCC的疗效对于临床来说至关重要,CT和超声技术可根据形态学特征为HCC的疗效提供评估依据,相比而言,功能MRI可以为HCC治疗后的放射学特征提供更多细节,展示HCC治疗后的多种影像表现。据我们所知,本研究是首次将HCC经HIT治疗前后形态、ADC值、SER的变化与AFP变化进行相关性研究,以此来定量分析HIT治疗HCC后的疗效,较以往文献中报道的HCC治疗中使用介入、化疗方法更为新颖和创新,在评估方面也较其他文献报道的单一使用ADC值或T1WI增强幅度等方法更全面、具体,也有更好的应用价值。
HIT治疗肝癌疗效显著,它具有以下特点:(1)精确的剂量分布,重离子束属高线性能量传递(linear energy transfer, LET)射线[14],其进入组织时,先出现一个平坦区,之后出现高剂量的能量损失峰[布拉格(Bragg)峰],在其射程末端处能量全部释放。与普通X线不同的是,重离子具有Bragg峰区的LET远高于X线,使Bragg峰覆盖肿瘤,可以最大能量杀伤肿瘤细胞,而对肿瘤后方的组织影响极小[15]。(2)良好的生物效应,重离子束放射治疗的相对生物学效应是质子和光子的2~5倍。重离子束可直接作用于DNA分子,破坏DNA双链,使其难以修复,对乏氧肿瘤细胞亦有效[16]。
日本的一项前瞻性HIT治疗肝癌的临床观察中报道,治疗的124个患者中,1年、3年和5年的局部控制率为94.7%、91.4%、90.0%,1年、3年和5年总生存率分别为90.3%、50.0%、25.0%,几乎没有发生严重的不良反应[17]。HIT治疗在临床上可以实现高局部控制率和低毒性[18]。
尤其对于老年以及合并症多,病变解剖复杂,手术困难者,由于肿瘤靠近胆道、血管、肝门等结构致使射频、冷冻等其他消融手段无法治疗的患者HIT优越性更明显[19]。SHIBA等[20]认为HCC治疗后主要的复发模式为肝内病变照射野外复发,死亡的主要原因与HCC相关病情进展相关;肝内病变照射野外的高复发率可能与治疗前HCC患者已出现影像技术难以检测到的微病灶,或合并肝硬化时难以辨识真正的病灶边界相关。有文献报道HIT治疗HCC后发生严重不良反应(≥3级)的几率很低,无治疗相关死亡发生[21],这与我们的随访结果相符。
MRI有良好的组织和空间分辨率,能清晰显示肝癌与周围组织的关系,在肝癌诊断及疗效评估中发挥着重要作用[22]。研究结果表明,简易MRI平扫(敏感度和特异度分别为86%和94%)与对比剂增强扫描(敏感度和特异度分别为87%和94%)显示肝癌作用相仿,超声的敏感度低于简易MRI(53% vs. 82%)[23]。DWI是一种能够反映组织微结构成分的技术。ADC用于量化水分子在组织中的随机运动[24]。ADC值越大,表示水分子的扩散速度越快。肿瘤组织的细胞密度增加,体积增大,肿瘤细胞内的纤维基质及细胞器的异质性也导致细胞内水分子扩散受限,使得ADC值降低。另外由于活性程度高的肿瘤细胞膜完整,能限制水分子运动,从而使ADC值减低;反之,ADC值升高[25]。
临床可见或通过检查手段可证实的肿瘤部位和范围被称为最大肿瘤体积,其大小与肿瘤细胞数量正相关[26]。当疗效反应良好被定义为治疗后增强病变直径总和至少减少30%。增强病变直径总和<30%为治疗无效[27]。本研究分别采用一维测量即最大长径、二维测量即轴位面积及三维测量即肿瘤体积,将HIT治疗HCC前数据作为基线,与治疗后3~6个月复查时肿瘤大小相比较,病灶不断缩小,差异具有统计学意义(P<0.05),病灶均达到RECIST的稳定及部分缓解标准[28]。有研究采用DWI对肿瘤治疗前后进行对照分析,并对肿瘤组织进行手术及病理研究,病理结果显示肿瘤坏死部分(液化性坏死)的ADC值高于肿瘤存活组织,认为ADC值可以特异性将坏死肿瘤与存活细胞进行区别。与需要二次手术的患者相比,第一次治疗后最终表现出完全缓解患者的ADC值有增加的趋势。ADC的评估也有助于预测治疗反应[29]。SHAGHAGHI等[30]认为平均ADC和ADC峰度的变化,可用于预测边界清晰的HCC的总体生存率,以监测对肝动脉化疗栓塞术的早期反应并识别治疗失败和治疗效果不佳的患者生存结果。研究显示,与治疗前相比,结肠癌肝转移瘤治疗后短期内尽管瘤灶体积稍增大(可能与细胞水肿有关),但ADC值却升高;未治疗转移瘤的ADC值则无此种变化[31]。还有报告称肝癌病灶栓塞效果良好的病灶栓塞后ADC值显著上升。在治疗后,与低ADC值相比,高ADC值与较低的进展率或死亡率相关[32]。ADC变化的程度与总生存期相关,甚至显示在解剖学变化之前[1]。本研究将HIT治疗HCC前基线ADC值与治疗后复查时比较,当b值为800 s/mm²时,ADC值从1.20 mm2/s升高至1.47 mm2/s,差异且有统计学价值(P<0.05)。
肝脏在不同增强阶段的表现与肝脏的双重血供有关。正常肝脏约70%的血流量来自门静脉,30%来自肝动脉,而HCC的大部分血流量来自肝动脉,在门静脉期之前增强并在门脉期之后廓清[33]。这种强化方式与HCC肿瘤细胞分化程度及组织学类型有关。研究显示,HCC不成对肝动脉数量在高分化HCC演变为中分化HCC过程中逐渐增加,在中分化HCC演变为低分化HCC过程中逐渐减少,由此可见一些低分化HCC和门静脉供血的HCC的肝动脉血供减少,造成了动脉期和门静脉期血供变化,导致其定量参数降低[34]。动态对比增强MRI(dynamic contrast-enhanced MRI, DCE-MRI)通过静脉注射低分子钆对比剂获得图像。对比剂通过血液流入组织,由于组织的纵向弛豫时间缩短,导致T1WI图像的SI增加。在DCE-MRI上测量的SI代表了渗透率的组合能力和灌注的变化。这种灌注的信号变化已被证明与肿瘤新生血管的形成相关[35]。SER以半定量的方式反映肿瘤组织强化的改变。我们用SER反映HCC增强前后灌注信号的强度,以此量化治疗前后DCE的表现。本研究发现HCC在HIT治疗前SER与治疗后3~6个月复查时比较,后者的SER降低(P<0.05),说明HIT放疗后,随着肿瘤细胞的凋亡、坏死,肿瘤强化程度及血供显著减低。
AFP的检测不仅有助于诊断原发性肝癌,而且可作为原发性肝癌评估疗效的考核标准[36]。DUVOUX等[37]认为AFP水平可以预测肿瘤的复发,并与血管浸润和分化相关。有报道称HCC治疗后较高水平的AFP可能与早期HCC复发相关[38]。本研究发现,在HIT治疗后,AFP较治疗前降低,故以治疗前后AFP变化为参照,评估HIT治疗HCC后肿瘤大小、ADC值及SER变化与AFP改变之间的相关性,结果显示病灶大小、SER与AFP的变化正相关,即随着病灶缩小、病灶强化程度降低,AFP亦降低;而ADC值的变化与AFP的变化呈负相关,即随着AFP的降低,病灶ADC值升高(P均<0.05)。
首先,由于时间和地域因素,部分外地患者在治疗后回原籍复查,部分数据收集困难,导致收集的数据样本量有限,以后的研究中我们将不断收集资料,扩大样本量;其次,在比较肿瘤体积时没有考虑层间距,同时,由于个体循环差异,每个患者MRI三期的同质性也是有限的,可能在一定程度上影响了数据统计的结果;再次,未充分认识到运用AFP评价肿瘤疗效的局限性,以后的研究中我们会将AFP与其他肿瘤标记物结合进一步分析其与疗效的相关性;最后,本研究的随访跨度过大,治疗的中后期应该用生存率和有效率等标准来评价肿瘤治疗效果,这也是我们今后研究的方向。
综上所述,HCC肿瘤大小、SER及ADC值等MRI参数可无创地评估HCC经HIT治疗后的疗效、肿瘤细胞活性程度及坏死,这是除了基于尺寸变化的RECIST 1.1标准之外的另一种评价方法,可用于指导肝癌放射治疗的临床实践,这对于临床医师采取下一步的治疗及随访有重要的指导意义。
赵致平, 关钊钰, 王建花, 等. 重离子疗法治疗肝细胞癌的MRI影像评估价值[J]. 磁共振成像, 2023, 14(6): 32-38.
ZHAO Z P, GUAN Z Y, WANG J H, et al. MR imaging evaluation of heavy-ion therapy for hepatocellular carcinoma[J]. Chin J Magn Reson Imaging, 2023, 14(6): 32-38.
Key R&D Program Project of Gansu Province (No. 20YF8FH155).
全体作者均声明无利益冲突。





















