
患者,女性,26岁。于一次户外爬山活动后右膝关节疼痛,后经骨科诊疗,行膝关节镜手术治疗,术后4周因膝关节肿胀、活动受限、大腿肌肉萎缩就诊康复医学科,经过综合的康复治疗,患者的疼痛、关节活动范围与肢体功能活动均得到大幅改善,并回归到正常工作与生活。
右膝关节肿胀、疼痛,右下肢大腿肌肉萎缩,关节活动范围受限,步态异常。
结合临床病史和影像学确诊。
康复治疗:①物理因子治疗:中频电疗、半导体激光照射治疗、体外冲击波治疗;②物理治疗:右侧膝关节手法治疗与功能性运动训练;③器械训练:膝关节等速肌力训练。
通过积极治疗后,患者疼痛、肿胀获得改善,步态恢复正常,能正常参与日常工作与生活活动;在约1年时(第11个月)的等速肌力测试结果表明,患侧(右)膝关节屈、伸肌力与健侧肌力趋于一致,已达到正常范围。
康复科;骨科;疼痛科;肌肉骨骼疼痛患者及家属。
版权归中华医学会所有。本文为遵循CC-BY-NC-ND协议的开放获取文章。
膝关节内的半月板可以起到增加关节稳定性和缓冲震荡的作用[1]。当半月板发生损伤后,患者膝关节功能下降,重者会因疼痛而无法运动,生活质量受到严重影响[2]。严重的半月板损伤常需手术治疗[3],而术后可能出现疼痛、关节活动受限、肌无力和股四头肌萎缩等功能障碍[4,5]。因此,半月板术后康复对膝关节的功能恢复和长期健康至关重要。综合的康复治疗,并联合等速肌力训练是骨科术后常用的康复治疗方法[6]。本文报道1例膝关节半月板切除术后患者进行综合康复的治疗效果。
患者,女性,26岁,于2019年9月就诊北京大学第一医院康复科。主诉:右膝外侧半月板术后4周。现病史:患者4周前因右膝疼痛、肿胀及活动绞索感就诊我院骨科,行右膝MR平扫示:右膝外侧盘状半月板,伴桶柄样撕裂可能,诊断为右膝外侧半月板损伤,予行关节镜下右膝外侧半月板部分切除和半月板成形术。术后4周内,患者开始逐步恢复下地行走,但存在行走和上下楼梯等活动中右膝外侧明显疼痛,并自觉右大腿较左侧相比明显变细。
该患者接受康复治疗前后,康复医师对其进行了右膝关节触诊、主动关节活动范围(active range of motion,AROM)和被动关节活动范围(passive range of motion,PROM)测量、徒手肌力测定(manual muscle test,MMT)、视觉模拟评分法(visual analogue scale,VAS)评价疼痛程度、步态分析和Barthel指数评定量表评价日常生活活动能力。此外,在患者术后第1月(首诊)、2月、3月、5月和11月还进行了Lysholm膝关节评分的量表调查,以了解其膝关节功能恢复情况。在患者疼痛减轻、功能有所提高后,康复治疗师还对患者的膝关节伸肌群和屈肌群进行了4次角速度为60°/s的等速肌力测试,每组测试重复5次。
依据患者病史和影像学检查,本例患者确诊为膝关节半月板损伤,膝关节镜修复术后。根据ICF框架,该患者的功能诊断如下:膝关节活动范围下降,下肢肌肉力量下降,步态异常;转移能力受限,步行能力受限,参与受限。
术后4~6周,针对右膝疼痛,给予其如下物理因子治疗:①中频电疗,于右膝外侧并置,15 min/次,1次/d;②半导体激光照射治疗(>500 mW),于右膝周外侧痛点处,10 min/次,1次/d;③体外冲击波治疗,于右膝外侧痛点处,强度1.5~2.0 Bar,8 Hz,1200~200 r,每周2次。
术后4周,开始如下物理治疗方案:①右膝关节松动技术;②右下肢屈髋、髋外展、伸膝、屈膝肌群渐进抗组肌力训练;③坐位和站立时重心转移训练;④右下肢各关节本体感觉输入训练;⑤步态成分分解训练以及室内功能性步行训练。
术后6周,在上述治疗方案基础上,增加了膝关节伸肌群和屈肌群的等速肌力训练:采用北京大学第一医院康复医学科多关节等速测试康复系统(美国CSMI公司生产),常用设置程序为膝关节伸肌群和屈肌群的向心收缩、主动等速抗阻训练模式,角速度为45°/s和60°/s的训练各2组、每组重复10次,角速度为120°/s和180°/s的训练各2组、每组重复15次。上述训练方案每周3~4次,持续3周。
术后4周,康复治疗前评定结果如下:右膝周轻度肿胀,右股四头肌萎缩;右膝外下方明显压痛;右膝屈曲AROM120°、PROM 130°,伸展AROM -10°、PROM 0°,右膝关节屈曲20°~60°范围内进行屈-伸膝动作转换时可诱发明显右膝关节外侧疼痛;右下肢MMT:屈髋4+级,伸、屈膝4+级,踝背伸和跖屈5级;活动时,右膝疼痛VAS评分:8分。行走时右下肢呈疼痛躲避步态,右侧站立相缩短、右膝伸展受限。Barthel指数评分:95分,主要受限在于上下台阶的功能活动。
术后10周,患者自觉疼痛改善明显,行走流畅度大幅提高。评定结果如下:右膝周无肿胀;右膝外下方无压痛;右膝屈曲AROM135°、PROM 138°,伸展AROM -10°、PROM 0°,伸展AROM 0°、PROM 3°,活动过程中无明显疼痛。右下肢MMT:屈髋5级,伸、屈膝5级,踝背伸和跖屈5级;活动时,右膝疼痛VAS评分:2分。行走步态正常。Barthel指数评分:100分,患者可正常进行工作和日常活动,且恢复了平日快走、慢跑、骑行等运动锻炼习惯,偶有膝关节卡顿感,但活动后可自行缓解,无其它明显不适。
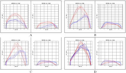
在本例术后第2个月、3个月、5个月和第11个月,分别给患者进行了4次膝关节屈伸肌群等速肌力测试,测试模式为向心收缩,60度/秒;结果如表1和图1。

术后膝关节伸肌群和屈肌群等速肌力测试峰力矩值(向心收缩模式;60°/s;单位:N·m)
术后膝关节伸肌群和屈肌群等速肌力测试峰力矩值(向心收缩模式;60°/s;单位:N·m)
| 时间 | 右侧(患侧) | 左侧 | 双侧差异性 | |||
|---|---|---|---|---|---|---|
| 伸肌群 | 屈肌群 | 伸肌群 | 屈肌群 | 伸肌群 | 屈肌群 | |
| 术后2月 | 36.61 | 18.98 | 63.73 | 27.12 | 43% | 30% |
| 术后3月 | 80.00 | 36.61 | 131.53 | 35.26 | 39% | -4% |
| 术后5月 | 93.56 | 32.54 | 143.74 | 29.83 | 35% | -8% |
| 术后11月 | 143.74 | 37.97 | 157.30 | 36.61 | 9% | -4% |


在本例术后第1个月(首诊)、2个月、3个月、5个月和11个月,分别对患者进行了Lysholm膝关节评分量表调查,结果如下表2。

病例Lysholm膝关节评分
病例Lysholm膝关节评分
| 时间和项目 | 术后第1个月 | 术后第2个月 | 术后第3个月 | 术后第5个月 | 术后第11个月 |
|---|---|---|---|---|---|
| Lysholm评分(总分100分) | 9 | 31 | 76 | 96 | 100 |
半月板属于关节间的软组织,多由胶原纤维构成,具有软组织的生物力学特性,当它们被加载时,半月板被向外挤压,纤维会向周围产生张力,这种张力称为"环向应力"(Hoop Stress Theory);除了产生环向应力外,在半月板中间区域中可产生径向拉应力,在上部和下部之间产生剪切应力。这些应力在半月板更平坦的区域更大,如在半月板后内侧[1]。本例患者的术前膝关节MRI提示右膝外侧盘状半月板、伴桶柄样撕裂可能,盘状半月板可能会加重半月板的不均匀应力,进而导致撕裂,因此,盘状半月板发生损伤的风险更高[8]。这提示我们,对于疑似出现半月板损伤症状和体征的患者,应尽早完善相关检查,并给予非手术或手术治疗的干预。
针对患者术后出现的右膝周疼痛,我们给予了中频电疗、激光照射治疗和体外冲击波治疗。其中,针对患者出现的术后右膝关节关节镜入口处疼痛和关节线处压痛点,在增加了体外冲击波治疗后,患者自觉疼痛改善明显。这提示,在半月板术后的物理因子治疗中,体外冲击波治疗可有效改善疼痛,这可能得益于冲击波疗法的镇痛及神经末梢封闭作用与组织粘连松解作用等生物学效应[9]。
诸多研究已经证实等速肌力测试具有较好的信效度,特别是在单轴关节测试时,等速肌力测试能够很好地对比双侧关节的异同,不但可以提示潜在的损伤部位,还可以为运动损伤的预防提供重要信息[7]。双侧关节同部位肌群等速肌力测试结果的差异具有重要临床意义,若差异不超过10%提示膝关节周围肌群功能无明显异常,若差异在10%~20%之间提示可能存在功能异常,若差异超过20%则提示存在功能异常。本例患者等速肌力测试的结果显示,术后2个月时,双膝伸肌群峰力矩值均处在较低水平,且双侧差异值高达30%以上;术后3个月时,双侧屈肌群峰力矩水平相当、基本在正常值范围内(表1),而伸肌群峰力矩值仍存在较大差异;术后2~11月,双侧膝关节伸肌群和屈肌群的差异均逐渐缩小,且屈肌群最先趋于一致(表1,图1)。上述结果提示,随着无力治疗方案和等速肌力训练的逐步进行,患者双膝伸肌群峰力矩值均得到稳步提高,且右膝伸肌群峰力矩值增速较快;至术后11个月时,患者双膝伸肌群峰力矩值已经非常接近,提示其双侧伸膝力量基本一致。
膝关节等速肌力训练的理念,最早于1967年由James Perrine[10]提出。其理论指出,等速运动中阻力与肌力更好匹配,更能调动肌肉收缩,达到最好的训练效果。从本例治疗效果来看,等速肌力训练有效改善了患者右膝伸肌群和屈肌群的力量,使其逐步与健侧肢体功能趋近。除了肌力得到提升外,查体结果也提示,患者膝关节疼痛程度、关节活动范围、步行能力和日常生活活动能力也得到了显著改善。需要指出的是,在本例中,因为考虑到等速肌力训练过程中关节压力的增加和半月板能承受的应力情况,我们在患者术后6~8周时才开始等速肌力训练,避免造成新的半月板损伤[11]。
Lysholm膝关节评分的总分数为100分,其内容包括跛行、支撑、关节交锁感、不稳定、疼痛、肿胀、爬楼梯和下蹲8个项目。相较于常见的Barthel指数评分,对于评估膝关节功能恢复情况更具针对性。Lysholm膝关节评分中,95~100分为优秀,84~94分为良好,65~83分为合格,低于65分为较差[12]。从量表(表2)记录来看,本例从术后第3月开始才逐渐达到合格水平。这与一些国外调查数据偏离不大。例如,在美国,每年约有50万人发生半月板损伤,每年造成的损失约为40亿美元;对于运动员来说,通常在半月板受伤后53至88 d内可重返赛场,但只有44%的患者在长达三年的时间内恢复到受伤前的表现[13]。就本例来说,在随访11个月时,其等速肌力水平才开始接近于健侧(但伸肌仍然有9%差距),这也提示对于年轻患者,在积极康复治疗后,膝关节半月板损伤的肌力恢复需要大约一年时间。而推测其运动水平的恢复则需要更长时间,毕竟,肌力是诸多运动技能的基础。
本例的康复治疗过程中,早期物理因子疗法,尤其体外冲击波疗法,应用于膝关节半月板术后康复治疗有助于快速缓解患者疼痛等问题;在半月板术后6~8周时,循序渐进增加膝关节等速肌力训练对于半月板术后的情况来说是安全的。尽管本例中仅使用了等速训练的向心模式,但以往研究支持等速离心训练可能比传统的离心训练更有效地恢复股四头肌肌力和功能[13]。可见,在患者耐受情况下,增设等速离心的训练也许会取得更有效的肌力改善效应,但这种方案的实际应用和安全性仍然需要将来进一步的调查和研究来证实。
所有作者均声明本研究不存在利益冲突





















