
探讨血清钙离子浓度及白蛋白水平在继发性噬血细胞性淋巴组织细胞增多症(sHLH)患者中的临床意义。
回顾性分析2013年4月至2016年4月收治的68例初诊sHLH患者的临床和实验室资料。将患者按疗效标准分为好转组和进展组,探讨血清钙离子浓度和白蛋白水平在患者中的变化、与其他实验室指标的相关性以及对患者生存的影响,以20例正常体检者为正常对照。
①与正常对照组比较,淋巴瘤相关性和非肿瘤相关性HLH组患者的血清钙离子浓度、血清白蛋白水平均降低(P值均<0.05);与治疗前比较,好转组患者治疗后血清钙离子浓度、血清白蛋白水平均升高(P值均<0.01),进展组患者治疗后血清钙离子浓度降低(P=0.002),血清白蛋白水平差异无统计学意义(P=0.086)。②初诊时患者血清钙离子浓度与ANC、PLT、HGB呈正相关(P值均<0.05),与铁蛋白呈负相关(P<0.05);初诊时血清钙离子浓度≥1.92 mmol/L组患者的总生存期较<1.92 mmol/L组延长(266 d对95 d,P=0.006)。③初诊患者血清白蛋白水平与ANC、HGB呈正相关(P值均<0.05),与铁蛋白呈负相关(P<0.05);初诊时血清白蛋白水平≥26.7 g/L组患者的总生存期较<26.7 g/L组延长(263 d对95 d,P=0.023)。④患者组治疗前血清钙离子浓度与血清白蛋白水平呈正相关(P<0.001),正常对照组无明显相关性(P=0.079)。
血清钙离子浓度及白蛋白水平在sHLH患者的诊断、指导治疗及疗效监测等方面具有重要意义。
版权归中华医学会所有。
未经授权,不得转载、摘编本刊文章,不得使用本刊的版式设计。
除非特别声明,本刊刊出的所有文章不代表中华医学会和本刊编委会的观点。
噬血细胞性淋巴组织细胞增多症(hemophagocytic lymphohistiocytosis,HLH),是一种致命的过度炎症反应综合征,由异常的细胞毒性T细胞、NK细胞、巨噬细胞释放过多的细胞因子所引发[1]。按照病因可分为原发性HLH(pHLH)和继发性HLH(sHLH)[2]。目前有研究表明低钙血症与诸多危重症如烧伤、严重创伤、外科手术及脓毒症等密切相关[3]。但血清钙离子浓度在sHLH中的研究较少。已有研究表明成人sHLH的低生存率与低血清白蛋白水平相关,同时血清白蛋白水平也被证实为多种肿瘤患者的预后指标,但具体原因未明[4,5]。我们在本研究中对68例sHLH患者资料进行回顾性分析,旨在探讨血清钙离子浓度及白蛋白水平在sHLH患者中的临床意义。
以2013年4月至2016年4月我院收治的诊断符合HLH-2004标准的68例sHLH患者为研究对象,男40例,女28例,中位年龄50(15~85)岁。68例患者中淋巴瘤相关性(lymphoma-associated HLH,LHLH)46例(68%),非肿瘤相关性HLH(malignancy-associated HLH,MHLH)22例(32%),后者包括感染相关性HLH、自身免疫性疾病相关性(autoimmune-associated HLH,AHLH)及不明原因性HLH。两组患者的一般临床特征见表1。另收集同期本院健康体检者20例为正常对照组,其中女11例,男9例,中位年龄48(25~67)岁。

68例初诊继发性噬血细胞性淋巴组织细胞增多症(HLH)患者的一般临床特征
68例初诊继发性噬血细胞性淋巴组织细胞增多症(HLH)患者的一般临床特征
| 临床特征 | 淋巴瘤相关性HLH组(46例) | 非肿瘤相关性HLH组(22例) | |
|---|---|---|---|
| 年龄[岁,M(范围)] | 49(18~85) | 44(15~72) | |
| 性别[例(%)] | |||
| 男 | 29(63.0) | 11(50.0) | |
| 女 | 17(37.0) | 11(50.0) | |
| 发热a[例(%)] | 46(100.0) | 22(100.0) | |
| 脾肿大[例(%)] | 41(89.1) | 17(77.3) | |
| HGB[g/L,M(范围)] | 80(26~132) | 110(58~164) | |
| PLT[×109/L,M(范围)] | 40(2~406) | 55(9~229) | |
| ANC[×109/L,M(范围)] | 0.79(0~1.19) | 1.42(0.55~1.89) | |
| 三酰甘油[mmol/L,M(范围)] | 3.29(2.54~5.33) | 2.99(2.16~4.69) | |
| 纤维蛋白原[g/L,M(范围)] | 1.36(0.59~2.71) | 1.72(1.12~2.71) | |
| 噬血现象[例(%)] | |||
| 有 | 39(84.8) | 19(86.4) | |
| 无 | 7(15.2) | 3(13.6) | |
| 铁蛋白[μg/L,M(范围)] | 1 939(33~28 910) | 1 517(80~51 776) | |
| sCD25b[例(%)] | |||
| ≥2 000 ng/ml | 42(91.3) | 19(86.4) | |
| <2 000 ng/ml | 4(8.7) | 3(13.6) | |
注:a体温≥ 38.5 ℃,持续>7 d;b采用定量ELISA试剂盒双抗体夹心法检测患者血清sCD25水平,正常值范围为0~2 000 ng/ml
符合以下2条中的任何一条时可诊断HLH:(1)经分子生物学检查明确存在HLH遗传学缺陷。(2)以下8条指标中符合5条可诊断为HLH:①发热;②脾肿大;③外周血两系或三系血细胞减少[HGB<90 g/L,PLT<100×109/L,中性粒细胞绝对计数(ANC)<1.0×109/L]且非骨髓造血功能减低所致;④高三酰甘油血症和(或)低纤维蛋白原血症:三酰甘油(空腹)≥3 mmol/L,纤维蛋白原≤1.5 g/L;⑤在骨髓、脾或淋巴结中发现噬血细胞;⑥NK细胞活性降低或缺如;⑦血清铁蛋白≥500 μg/L;⑧sCD25 ≥ 2 400 ng/ml。
所有患者均检测生化全套,包括:钙离子、白蛋白、LDH、血脂、肝功能、肾功能等;血常规;凝血功能;铁蛋白;sCD25;病毒学指标;血液及骨髓培养;红细胞沉降率(ESR);血清免疫球蛋白;风湿免疫学指标;影像学(CT、PET-CT、B超)检查;骨髓常规检查和活检;骨髓细胞染色体及免疫分型等。血清钙离子浓度采用离子选择性电极法,血清白蛋白水平采用溴钾酚绿比色法,试剂盒均购自美国Beckman Coulter公司,采用AU5821全自动生化分析仪进行检测。
参照国际组织细胞协会2004年提出的疗效标准[7]进行疗效判断。
通过门诊、住院病历查阅及电话进行随访,随访截止时间为2016年4月30日。2例患者失访。总生存(OS)时间定义为确诊至随访截止日期或患者死亡时间。
采用SPSS 22.0软件进行统计学分析。对定量资料的描述采用
±s或M(范围),分析采用t检验。各变量之间的相关性分析采用Spearman相关分析。采用受试者工作曲线(ROC曲线)确定最佳临界点值。生存分析用Kaplan-Meier法描述,用Log-rank检验。P<0.05为差异有统计学意义。
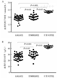
正常对照组、LHLH组和非MHLH组患者血清钙离子浓度分别为(2.37±0.06)mmol/L、(1.93±0.16)mmol/L、(2.03±0.16)mmol/L,血清白蛋白水平分别为(42.94±1.90)g/L、(26.51±4.94)g/L、(29.58±5.27)g/L,结果显示与正常对照组比较,后两组均降低(P值均<0.05),而后两组比较差异无统计学意义(P值均>0.05)(图1)。


LHLH:淋巴瘤相关性HLH;MHLH:肿瘤相关性HLH
初诊sHLH患者血清钙离子浓度与ANC、PLT、HGB呈正相关(P<0.05),与铁蛋白呈负相关(P<0.05),与其他实验室指标无明显相关性(P>0.05)(表2)。血清白蛋白水平与ANC、HGB呈正相关(P值均<0.05),与铁蛋白呈负相关(P<0.05),与其他实验室指标无明显相关性(P>0.05)(表2)。

68例初诊继发性噬血细胞性淋巴组织细胞增多症患者血清钙离子浓度和白蛋白水平与其他检查指标的相关性分析[M(范围)]
68例初诊继发性噬血细胞性淋巴组织细胞增多症患者血清钙离子浓度和白蛋白水平与其他检查指标的相关性分析[M(范围)]
| 实验室指标 | 检测值 | 与血清钙离子浓度的相关性 | 与血清白蛋白水平的相关性 | ||
|---|---|---|---|---|---|
| rs值 | P值 | rs值 | P值 | ||
| ANC(×109/L) | 0.93(0~1.89) | 0.579 | <0.001 | 0.500 | <0.001 |
| PLT(×109/L) | 57(2~406) | 0.322 | 0.007 | 0.210 | 0.086 |
| HGB(g/L) | 93(26~164) | 0.406 | 0.001 | 0.370 | 0.002 |
| 纤维蛋白原(g/L) | 1.50(0.59~2.71) | 0.203 | 0.097 | 0.139 | 0.258 |
| 铁蛋白(μg/L) | 1 637(33~51 776) | -0.422 | <0.001 | -0.258 | 0.033 |
| sCD25(ng/ml) | 26 978(984~125 688) | -0.205 | 0.094 | -0.123 | 0.318 |
| 三酰甘油(mmol/L) | 3.26(2.16~5.33) | -0.148 | 0.228 | -0.201 | 0.100 |
好转组患者治疗后血清钙离子浓度、血清白蛋白水平较治疗前均升高(P值均<0.01);进展组患者治疗后血清钙离子浓度较治疗前降低(P=0.002),血清白蛋白水平差异无统计学意义(P=0.086)(表3)。

不同疗效组患者治疗前后血清钙离子浓度、血清白蛋白水平比较(
±s)
不同疗效组患者治疗前后血清钙离子浓度、血清白蛋白水平比较(
±s)
| 组别 | 例数 | 血清钙离子浓度(mmol/L) | 血清白蛋白水平(g/L) | ||||||
|---|---|---|---|---|---|---|---|---|---|
| 治疗前 | 治疗后 | t值 | P值 | 治疗前 | 治疗后 | t值 | P值 | ||
| 好转组 | 37 | 2.00±0.14 | 2.15±0.15 | 3.66 | <0.001 | 28.73±4.31 | 31.81±5.18 | 3.18 | 0.003 |
| 进展组 | 31 | 1.92±0.19 | 1.85±0.15 | 3.39 | 0.002 | 25.84±5.71 | 27.95±3.63 | 1.78 | 0.086 |
| t值 | 1.99 | 8.21 | 2.38 | 3.49 | |||||
| P值 | 0.050 | <0.001 | 0.020 | <0.001 | |||||
统计sHLH患者总生存期数据,删除失访患者,共计66例。通过ROC曲线分析探索血清钙离子浓度判断预后的界值,发现最佳界值为1.92 mmol/L,曲线下面积为0.702(95%CI 0.577~0.827)。将血清钙离子浓度按最佳界值划分为二分类变量,绘制生存函数曲线,血清钙离子浓度≥ 1.92 mmol/L组患者的OS时间为(266±57)d,明显长于<1.92 mmo/L组的(95±31)d,差异有统计学意义(P=0.006)(图2A)。


通过ROC曲线分析探索血清白蛋白水平判断预后的界值,发现最佳界值为26.7 g/L,曲线下面积为0.667(95%CI 0.536~0.798)。将血清白蛋白水平按最佳界值分为二分类变量,绘制生存函数曲线,血清白蛋白水平≥26.7 g/L组患者的OS时间为(263±58)d,较<26.7 g/L组的(95±26)d延长(P=0.023)(图2B)。
结果显示,68例患者治疗前血清钙离子浓度与血清白蛋白水平呈正相关(rs=0.665,P<0.001),LHLH组(rs=0.694,P<0.001)、非MHLH组(rs=0.529,P=0.011)两者均呈正相关,正常对照组两者无明显相关性(rs=0.401,P=0.079)。
sHLH的发病机制尚未完全明确,可能与活化的淋巴细胞和巨噬细胞分泌大量的细胞因子有关[8,9]。sHLH起病急,进展快且病死率高,所以寻找更多的生物学指标对疾病的及时诊断和有效治疗十分关键。
血清钙离子有着广泛的生物活性,参与心肌传导、神经肌肉活动、凝血及酶活性的调节等。既往有研究者报道高血清钙离子是卵巢癌的生物学标志,与乳腺癌的发病也存在相关性[10,11]。在本研究中,我们发现初诊sHLH患者血清钙离子浓度较正常对照显著降低。将68例患者按疗效判定标准分为好转组和进展组,回顾性分析发现治疗前好转组患者的血清钙离子浓度高于进展组,而在治疗中补充钙的情况下,随着病情好转血清钙离子浓度上升,病情进展时反而下降。
血清钙离子浓度变化的机制仍有待明确,可能的原因包括:①sHLH患者病情危重,组织功能异常,导致胃肠道的钙离子吸收减少;②器官衰竭对甲状旁腺激素分泌的抑制或抵抗;③sHLH发生时释放大量的细胞因子,细胞因子可以从多种不同途径影响钙通道,钙泵及细胞膜的通透性,从而影响细胞内外钙离子的转移。Ebert[12]认为TNF-α能迅速提高细胞内钙离子浓度,与TNF-α引导细胞外钙离子的内流密切相关。
我们在研究中还发现初诊sHLH患者血清钙离子浓度与ANC、PLT、HGB呈正相关,与铁蛋白呈负相关。Lin等[13]发现血清铁蛋白水平越高的HLH患者预后越差,高水平的血清铁蛋白反映了机体内部强烈的炎症反应。另外,我们还发现血清钙离子浓度≥1.92 mmol/L组患者的OS期明显较<1.92 mmo/L组患者延长,提示血清钙离子浓度越低,患者的预后越差。但临床医师对血清钙离子浓度在HLH中的意义认识普遍不足,我们在临床上发现多例患者由于严重低钙血症出现抽搐及神志不清,而临床医师误认为是颅内出血,但经积极补钙及对症治疗后患者病情好转,有3例患者存活5年以上,此3例患者均为AHLH。以上案例说明血清钙离子浓度是影响HLH患者预后的重要因素,HLH-ASH-2009中提到诊断HLH的支持证据,如:①高三酰甘油血症;②低纤维蛋白原血症;③低钠血症。研究血清钙离子浓度在sHLH的意义就是探讨其有可能成为一项新的sHLH支持证据或预后指标。
目前血清白蛋白已被广泛用于研究肿瘤、脓毒血症、肺炎、心力衰竭等疾病。Parikh等[4]发现成人HLH的低生存率与低血清白蛋白水平相关,且肿瘤相关的sHLH患者预后更差。Königsbrügge等[14]的研究结果显示肿瘤患者的低血清白蛋白水平与静脉血栓发生率及病死率的增高密切相关。
在本研究中,我们发现初诊sHLH患者血清白蛋白水平较正常对照组显著降低,在治疗中积极补充白蛋白,同时随着病情好转,血清白蛋白水平上升,而在病情进展时血清白蛋白又再次出现降低。血清白蛋白水平降低是多种因素综合作用的结果,包括:①sHLH患者肝功能受损,合成功能差,白蛋白生成减少;②在疾病发生时大量释放细胞因子IL-6,能抑制肝细胞产生白蛋白;③sHLH患者常有发热、LHLH患者肿瘤本身等均可消耗血清白蛋白;④暴发性炎症反应也可抑制血清白蛋白合成[5]。
在本研究中,我们发现血清白蛋白水平与HGB水平呈正相关,血清白蛋白水平代表患者的营养状态,检查外周血白蛋白是一项经济实用的常规检查,可对sHLH患者进行常规筛查。我们还发现血清白蛋白水平下降程度不明显的患者生存期较长,这与Parikh等[4]的研究结果一致,提示血清白蛋白水平是影响预后的重要因素,因此需在疾病早期进行有效的营养支持治疗以纠正低蛋白血症。
我们的研究结果显示,68例初诊sHLH患者治疗前血清钙离子浓度与血清白蛋白水平呈正相关,而正常对照组无明显相关性。血清钙分为游离钙和结合钙,结合钙含量和血清白蛋白水平有关,血清白蛋白明显下降可致血清总钙离子浓度下降,表明sHLH患者血清钙离子浓度下降在一定程度上与血清低白蛋白水平有关。
综上,动态监测sHLH患者的血清钙离子浓度和白蛋白水平有助于判断病情变化、治疗反应和及时调整治疗方案。提示血清钙离子浓度和血清白蛋白水平是影响sHLH患者预后的重要因素,可能成为新的预后指标。

























