
探索高频超声的血流成像方法和血流图像处理方法,以实现血流成像系统。
根据红细胞对高频超声的散射规律,使用20 MHz超声的机械、线性扫描探头,在一条扫描线上发射多次脉冲,利用脉冲回波相减法提取血流信息。使用模拟血管进行血流成像,并对血流图像进行分析处理。
用该高频超声灰阶血流成像系统对模拟血流进行成像,得到的血流图像边缘清晰,并且在对血流图像进行处理后,能很好地滤除血管周围组织产生的伪像,以增强血流信息,从而更好地观察血流形态。
在高频超声条件下,使用单脉冲即可提取较强的浅表血流信号,并通过滤除伪像,能实现高频超声条件下的灰阶血流成像。
版权归中华医学会所有。
未经授权,不得转载、摘编本刊文章,不得使用本刊的版式设计。
除非特别声明,本刊刊出的所有文章不代表中华医学会和本刊编委会的观点。
目前,超声血流成像技术在临床上应用较广泛的是超声多普勒技术,它可测量血流速度、血液流量和血流方向等参数[1]。超声多普勒技术和传统的B型超声成像技术相结合,可观察组织的二维结构信息,为肿瘤的早期检查、血管疾病和内脏功能的检查提供了重要依据[2,3,4]。但是,为了检测多普勒频移,需要在一条扫描线上多次发射较长的超声脉冲串。多次发射脉冲限制了图像的帧频,且很长的超声脉冲串降低了图像的空间分辨力,加之多普勒技术还有很大的角度依赖性,不能检测与波束方向垂直的血流成分。因此,虽然多普勒血流成像技术可能对血流信号敏感,但其时间和空间分辨力很有限[5]。
灰阶血流成像技术(B-flow)是GE、Trahey等在1987年提出的一种新的非多普勒的血流成像方法[6]。在传统的B超图像中,血流的回声强度比血管壁和周围组织的回声强度弱得多,一般呈弱回声或无回声状态。B-flow最初是用编码激励来增强血细胞的微弱的回声信号。对发射的短脉冲编码使其变成含有多个脉冲的脉冲序列,以增加发射能量而不损失轴向分辨力。通过脉冲压缩增强血流信号的信噪比[7]。将脉冲的回声信号进行相减,来提取变化的血流信号。使用组织均衡技术,以降低血管壁和周围组织的回声强度,并保留血流信号和具有适当强度的组织信号,从而将组织和血流在图像上同时显示[8]。这些信号在本质上仍是超声回声信号,而非多普勒频移信号或其他信号,血液中血细胞散射回声信号的强度可直接通过图像的亮度来反映。在超声扫查时,可清晰直观地看到血管内血液的流动状况。B-flow具有较高的分辨力,无角度依赖,是医学超声成像技术的革新[9]。
传统的医学超声检测设备中换能器中心频率为7~14 MHz,主要用于腹部、心脏等较深部位器官的诊断。近来,在眼部、皮肤等浅表器官的诊断中,20~100 MHz的高频超声应用越来越广泛[10,11]。在浅表器官的诊断中,血流的检测是其重要的依据。但是对高频超声编码困难,不易通过编码激励来增强血流信号,故需探索新的血流检测途径。本研究的目的是利用血液中血细胞对高频超声的散射特点,以研究其在高频超声条件下的血流成像途径。
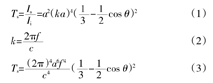
超声血流检测时,回声主要来自于血细胞中红细胞的散射。由于红细胞的移动速度远远小于声速在人体组织中传播的速度,因此,假定红细胞与超声波束相对静止,且不因超声波的作用产生形变,又因红细胞的直径远远小于波长,则符合瑞利散射公式。可推导出单个红细胞的散射系数如下


式中:Is为散射声强,Ii为入射声强,a为散射体的半径,θ为散射方向与入射方向的夹角,f为超声频率,c为声速。
在实际应用中背向散射角度θ=π,因红细胞半径a一定,所以红细胞散射系数与f4成正比。
因高频超声在传播过程中衰减较大,那么综合考虑平面声束衰减规律可得出,当声源声强为Ii时,在声源处获得的深度为L处的散射体的散射回声声强I为


结合式(3),得


式中:I和Ii分别为经传播衰减后和衰减前的声强,B为频率为1 MHz时的衰减系数,n的幂次分布在0.6~1.4之间。超声波在传播过程中,衰减随频率的升高而增大。
当然,获取血流信息需遵循瑞利散射的前提条件ka≤0.5,可推算出适合高频超声血流成像的超声频率范围为f≤34 MHz;且随着扫查深度的增加,血流回声信息会大幅减弱,因此该方法适用于浅表区域的血流成像。在高频条件下,皮肤浅表红细胞的背向散射明显强于其对于较低频超声的背向散射,此结果为后续研究提供了理论前提[12]。
笔者设计了一种脉冲回波相减法,在不用编码的情况下,实现高频超声的血流成像。高频超声主要应用于浅表成像,其回声时间短,因此可在每条采样线上进行处理,以检出血流信息,并采用多次采样相减的方法,以增强与速度的相关性,如式(6)~(9)所示


式中:Pline为该条扫描线的超声脉冲回波信息,Pt、Pb分别为组织回波信息和血流回波信息,ΔPline为两次回波信号的差值,N为脉冲重复次数,Pti、Pbi分别为发射的第i次的血管周围组织和血流的回波信息,ΔPt、ΔPb分别为该条扫描线上相邻两次回波相减后组织回波的差值和血流回波的差值。在短时间内,快速扫描时,认为血管周围固定组织相对静止,几次得到的回波信号基本相同,即ΔPt≈0。但是,由于血流的移动,使得血流回波信号之差不为0。因此,式(7)可简化为


可见一条扫描线上两次回波差值信号ΔPline仅与血流回波有关。另外,因血流信息较弱,为增强血流信息,提高血流检测的敏感性,故将其乘以系数K,如式(11)所示


但是,在实际扫描过程中,血管壁和血管周围组织不可能完全静止,加上探头抖动和系统噪声,在脉冲相减提取血流的过程中会产生噪声,甚至是大片的噪声区域。因此式(11)表示为


式中:A为噪声信号。
在这些噪声中,由于周围固定组织的回声比较强,因而引入的噪声也较大。故对Pline血流信息增加了权重,以此来抑制血管周围固定组织所产生的噪声。因此式(12)表示为


式中:w为权重系数,当Pline的值不同,则w不同。
组织噪声减弱后,血流信号较组织信号平均灰度大,使用阈值T进行灰度分割,以提取血流信号,如下式所示


本研究设计的高频超声血流成像系统(试验装置)主要由自制的超声扫描探头、下位机超声模块和计算机上位机的图像重建及处理软件组成。超声探头是中心频率为20 MHz的机械线性扫描探头。下位机模块由放大器、A/D转换器、CycloneII EP2C8Q208C8现场可编程门阵列(field programmable gate array, FPGA)主控芯片(美国Altera公司)、探头驱动电路和存储、通讯模块组成,回声信号经过放大、A/D转换,由FPGA中提取血流信息后存储,并通过USB接口上传至计算机。上位机软件负责下达指令以控制下位机,同时接收下位机上传的图像数据,重建二维图像,并进行图像的处理、显示和存储、打印。(图1)


FPGA—现场可编程门阵列
在系统的设计实现过程中,血流信号的提取是关键,该部分主要在FPGA主控板中完成。在系统实现过程中,兼顾探头工艺、硬件实现和图像帧频的情况下,在每条扫描线上发射EP1、EP2、EP3及EP4共4条发射脉冲,时间间隔T=50 μs,将得到的4个脉冲回波信号,存于先进先出(first in first out,FIFO)缓存器中,通过式(9)得到血流信号,之后通过通讯模块经USB接口上传到计算机上位机模块;同时,FIFO中的脉冲回波信号经线平均降噪法后存入SRAM[13],然后通过USB接口上传到计算机上位机模块,以用于组织结构成像。(图2)


FPGA—现场可编程门阵列
在回波相减提取血流信息时,为增强血流,并抑制血管周围组织的伪像,式(13)中,取K=2,且当Pline>128时,w=8;当64<Pline<128时,w =4;当32<Pline<64时,w=2;当Pline<32时,w=1。
计算机上位机模块在接收到下位机模块经USB接口上传的血流信息数据和原结构信息数据后分别缓存,当完成整幅图像的扫描和上传后,在上位机重建以形成血流图和结构图。
为了得到鲁棒性的去除组织伪像的方法,对血流图像进行分析。由于在血流图像中血流的平均灰度高于周围组织产生伪像的平均灰度,因此,在式(14)中,寻找合适的阈值,以进行灰度分割。将小于阈值的灰度置0。
在经灰度分割后,血管壁和周围组织产生的噪声中会形成一些孤立的噪声点或斑块,故使用中值滤波以滤除孤立噪声点。为改善图像效果,可通过均值滤波来平滑血流。
为提高血流的可视化,并增强对图像中细微变化的分辨力,可使用灰度分层法对得到的血流图像进行伪彩编码。灰阶图像是对反射回波的直接显示,根据灰阶血流的成像原理,血流的亮度与血流速度有一定的关系,即在一定范围内血流速度越快,则图像的亮度就增高。因此,为了区分血流图像的亮度差别,当血流亮度达到一定范围之后,在红色的基础上,出现黄色。将灰度图像对应到红(R)、绿(G)、蓝(B) 3个通道上,灰度值与3个通道的映射关系如图3所示。


在皮肤浅表超声扫查时,血管的形态和位置是重要的诊断依据。将经过图像处理后的血流图像与原始的结构图像叠加,可更好地观察血流状态。
整个上位机图像处理的算法流程如图4所示。


实验平台包含:由可控流速的蠕动泵、医用硅胶管、玉米淀粉悬液构成的模拟血液循环系统,中心频率为20 MHz的线性扫描探头,由下位机采集电路和计算机上位机模块构成的血流成像系统(图5)。使用蠕动泵控制模拟血液流速,用探头对模拟血管成像。


使用本研究设计的高频超声血流成像系统进行模拟实验,管内径为0.9 mm的模拟血管,在特定的血液流速和20 MHz的超声频率下,由下位机获取组织结构数据和血流数据,并上传到上位机。直接重建得到的原始结构图和原始血流图如图6所示。从图6A中可看出,模拟血管有管内壁和管外壁,均是高回声区域,而血流是低回声区域;从图6B中可看到清楚的血流,血管壁边缘清晰,图中血流图像的平均灰度高于血管壁和周围组织产生的伪像噪声的平均灰度。


为了滤除血管壁和周围组织产生的伪像,提取血流数据,对血流图像进行灰度分析。图像处理中间过程的图像如图7所示。使用阈值50进行灰度分割,去除了大部分血管周围的组织伪像,如图7A所示,在血流周围留下了一些大于阈值的亮点。


为了提取更加清晰的血管,对图7A中的图像进行最佳阈值为5×5的中值滤波,以滤除血流周围的噪声,得到图7B;然后为了得到相对均匀的血流图像,进行均值滤波以对图像进行平滑,得到图7C,此时,血管周围伪像基本完全滤除;为了便于观察,对血流进行伪彩增强,如图7D所示,得到了清晰的伪彩血流图。图像颜色越趋于黄色,表明血流图像中图像的亮度越亮。
为了更好地观察血流的状态,将伪彩增强后的血流与原结构图叠加,将血管和血管壁及血管周围组织同时显示。如图8所示,血流边缘清晰,直观,便于观察。


高频超声灰阶血流成像技术克服了传统的二维超声不能显示血管中血流状态的不足,可直接观察组织血流分布。将会对眼部、皮肤等浅表器官的临床诊断产生重要影响。
高频超声灰阶血流成像技术克服了多普勒方法的角度依赖、分辨力低及帧频低等缺点,它是对血液中红细胞的散射回声的直接反映,与血流和超声波束的角度无关。在高频条件下,不需发射长的脉冲串,发射单脉冲就可提取丰富的血流信息,并确保图像的高帧频。灰阶血流成像的分辨力与结构成像的分辨力相同,能直观显示血流、血管壁及周围组织,保留了高频条件下原始图像的细节。
在高频条件下,对发射信号不进行编码,发射单脉冲就可提取丰富的血流信息。与编码激励的灰阶血流成像相比,不需编码和解码步骤,使实现过程更加简单。
通过对血流进行伪彩编码,能进一步区分血流与固定组织,使血流更加清楚,直观性更好。由于受高频超声灰阶血流成像的原理限制,对诸如血流速度和方向等特征参数的精确表达等问题,尚待进一步研究。
无





















