
对静脉留置针进行理论分析与实验研究,建立不同材质留置针导管与模拟皮肤组织相互作用的理论模型,同时对不同留置针导管进行测试,为留置针的优化设计提供理论基础和实验依据。
根据留置针导管在25 ℃和37 ℃下的力学特性,建立导管穿刺模拟皮肤组织的有限元模型,分析穿刺过程中导管褶皱情况与导管材料和结构的关系,并对留置针导管的刚度、X射线显影性等进行实验测试。
导管在不同温度下的性能与其材料密切相关,导管褶皱情况与导管材料、楔形面倾角有关,聚氨酯(PU)导管在常温(25 ℃)下的弹性模量约为500 MPa,在体温(37 ℃)下的弹性模量约为250 MPa,满足穿刺时刚度大、留置时材质软的临床需求。在导管结构相同时,PU导管比氟化乙烯丙烯共聚物(FEP)导管更不易发生褶皱;导管材料相同时,楔形面倾角越小,导管越不易发生褶皱。
适当减小留置针针头的楔形面倾角,可以提高穿刺成功率。PU导管具有较好的力学特性,其在穿刺时不易发生褶皱,并且在体温时刚度有所降低,既可以提高穿刺成功率,也可以减少并发症的发生,具有更好的临床应用前景。
版权归中华医学会所有。
未经授权,不得转载、摘编本刊文章,不得使用本刊的版式设计。
除非特别声明,本刊刊出的所有文章不代表中华医学会和本刊编委会的观点。
静脉留置针(peripherally inserted venous catheter,PIVC)又称套管针,是一种将导管留在血管中的外周静脉输液工具,主要用于短期静脉输液治疗[1]。留置针操作简单、减少穿刺、保护患者血管、减轻患者痛苦,柔软的导管可在静脉内长时间留置,同时提高了患者的满意度和护理质量[2]。基于以上优点,留置针在临床上使用广泛。但是,静脉治疗相关的并发症,如静脉炎、堵管、渗出、感染,也给患者和医护人员造成极大的困扰[3]。有研究结果提示,静脉留置针的导管材质是导致静脉治疗相关并发症的危险因素之一[4]。如果导管材质柔软,则在其留置期间对血管内皮的损伤较小,且不易出现弯折堵管等现象[5]。而导管进入血管前,需要有一定的刚度,才能保证穿刺时导管不发生褶皱,顺利进入静脉。
目前,国内市场上留置针导管主要由聚氨酯(polyurethane,PU)或氟化乙烯丙烯共聚物(fluorinated ethylene propylene,FEP)材料制成。其中,PU的熔点较低,在温度较高时有软化的趋势[6,7,8],其在血管内能保持较软的特性,可在留置期间减少对组织的刺激。临床研究结果表明,PU材质导管发生静脉炎等并发症的风险较低,可留置时间更长,患者舒适度更高[9,10]。然而,目前尚未见有研究从生物力学角度,解释以上临床表现的差异。
此外,留置针在留置期间,可能会发生导管断裂的现象,虽然此类情况发生率很低,然而一旦发生,会对患者造成严重危害。因此,《一次性使用静脉留置针》(YY 1282—2016)要求导管具有射线可探测性[11]。大多数留置针导管上都设置了硫酸钡显影条,使其具有在X射线下显影的能力。当导管断裂并残留于组织或血管中时,这一特性对于医生正确定位断管至关重要。不同品牌的导管的硫酸钡显影条不同,其在X射线下的可探测性也有所不同。
随着新材料和结构的推广和应用,有必要对留置针及其导管的生物力学特性进行系统研究。本文中,主要研究了PU和FEP两种材质的留置针导管在常温与体温时的刚度情况,进一步分析导管穿刺皮肤时产生褶皱的影响因素,同时对导管的可探测性等进行测试。通过使用多参数测量实验平台,对21种品牌的静脉留置针进行了实验测试,为留置针的设计和制造提供理论基础和实验依据。
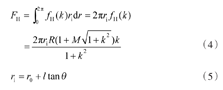
留置针穿刺皮肤时,留置针首先将皮肤刺破,然后导管穿刺皮肤,如图1所示。穿刺过程中,由于导管呈楔形,会受到沿轴向的阻力fV(k)和沿径向的压力fH(k)。导管穿刺的受力情况直接影响导管产生形变的大小以及是否发生褶皱现象。为了保证留置针可以轻松从导管中取出,导管与留置针一般留有微小间隙,同时导管前端与留置针接触的位置会涂抹硅油进行润滑,所以导管与留置针之间的摩擦基本上可忽略不计。


导管受到的沿轴向的阻力fV(k)和沿径向的压力fH(k)分别为


则导管在一定穿刺深度下受到的总的轴向阻力为


总的径向压力为


式中:R为材料的断裂韧性;M为摩擦系数;ω为模拟皮肤的厚度;k=vH/vV,其中vV为轴向穿刺速度,vH为径向穿刺速度;θ为楔形面倾角;r0为留置针外径;l为导管穿刺深度;ri为导管外径[12]。(图2)


弹性模量能直接反映留置针导管的刚度。通过测量PU材质和FEP材质留置针导管样品在常温和体温时的弹性模量,比较两种材料的力学特性。将所有品牌的留置针导管进行编号,本研究所用导管共21种,编号如下:艾贝尔安全型(G1)、艾贝尔非安全型(G2)、贝朗安全型(G3)、碧迪非安全型(G4)、碧迪安全型(G5)、鱼跃非安全型(G6)、驼人安全型(G7)、驼人非安全型(G8)、三鑫安全型(G9)、三鑫非安全型(G10)、三鑫非安全型带无针接头(G11)、林华安全型(G12)、林华非安全型(G13)、林华非安全型带无针接头(G14)、威高安全型(G15)、威高非安全型(G16)、伏尔特安全型(G17)、伏尔特非安全型(G18)、新华安得安全型(G19)、新华安得非安全型(G20)、佳迪安全型(G21)。其中G1~G5为PU材质,G6~G21为FEP材质。取每种留置针导管20个,随机平均分为2组,一组在INSTRON 3343型拉伸实验机上进行25 ℃水浴条件下的拉伸实验,另一组先在37 ℃蒸馏水中浸泡2 h,再进行37 ℃水浴条件下的拉伸实验。
进行拉伸实验时,用拉伸实验机的测头夹住导管两端,设定移动速度为50 mm/min,测出导管的应力-应变曲线,进一步计算出导管的弹性模量。为了进一步反映导管在体温条件下的刚度情况,将PU和FEP材质的不同导管样品置于37 ℃水中,以模拟导管留置在血管内的状况,在导管的一端悬挂质量相同的重物,10 min后观察导管的弯曲角度,其可以反映导管的软化程度。将导管一端悬挂的重物取下,在中间位置弯折90°,放开以后等待其自然回复,5 min后检查其回复情况。
在静脉留置针的实际应用中,导管穿刺的是皮肤组织。皮肤组织主要由角质层、真皮层和皮下脂肪层组成[13],是一种不均匀、各向异性的非线性黏弹性材料[14]。临床上,静脉留置针及导管需要穿透皮肤组织,因此建立导管穿刺的有限元模型时,需考虑皮肤的变形和破裂。当留置针刺入皮肤后,皮肤形变量会在一定程度上得到复原。相关研究结果表明,角质层的弹性模量远高于真皮层,是留置针穿刺皮肤的主要障碍[15]。
通过三丰900091104型全自动影像测量系统,对留置针导管进行了几何参数测量。测量结果表明,各品牌的留置针导管的楔形面倾角为20°±10°,据此并采用SolidWorks 3D建模软件建立留置针、导管和模拟皮肤在楔形面倾角为15°和30°情况下的模型,以便进行有限元分析。有限元分析软件选用ANSYS,留置针材料定义为304不锈钢,其密度为7 850 kg/m3、弹性模量为211 GPa、泊松比为0.3。导管的材料分别按PU和FEP材料选取。因与导管之间存在一定间隙且有润滑,定义留置针与导管之间无摩擦接触。PU和FEP材料均为非线性材料,材料设置中需输入材料受拉伸的应力-应变曲线。相对于组织的形变,留置针的变形量较小,因此可假设留置针为刚性体。对模拟皮肤进行简化,将其设定为直径为10 mm,厚度为0.3 mm的单层结构,并按人体角质层设置材料参数,即密度为1 300 kg/m3、弹性模量为40 MPa、泊松比为0.42[15]。划分网格时,对与组织接触的人体角质层中间部分进行网格细化。设置穿刺位移为0.5 mm,分析穿刺过程中PU和FEP两种材料对导管褶皱的影响。此外,通过改变导管楔形面倾角来分析楔形面倾角对导管褶皱的影响。
选用厚度为0.3 mm,材料力学特性接近人体皮肤角质层的薄膜作为模拟皮肤,取直径为10 mm的1块模拟皮肤,将模拟皮肤夹在夹具上并保证不使模拟皮肤产生任何明显的拉伸或压缩。在INSTRON 3343型拉伸实验机上,使留置针以100 mm/min的速度匀速穿刺模拟皮肤,穿刺深度为2 mm。穿刺后,将留置针导管从模拟皮肤中取出,放在光学投影测量仪下,观察导管是否发生褶皱,若未发生褶皱,则重复穿刺实验,直到观察到明显褶皱现象为止,记录穿刺次数。本实验中所用模拟皮肤,虽然与人体皮肤的力学性能有所差异,但可以用来横向比较PU和FEP材质的两种导管的穿刺性能。
将所有留置针样品上的留置针头取下,只保留导管,然后以水平方式在夹具上固定成一排,并将1 mm厚的铝板覆盖在样品上。使用万睿PG-292/ROT360型X射线管组件对导管进行扫描并拍摄。X射线扫描时所用的电压、时间和电流等参数与对人体进行X射线检查时使用的参数相同[16]。对扫描结果进行图像分析与处理,通过导管与铝板的灰度差值可以反映不同导管的X射线可探测性。
导管拉伸实验结果表明,PU导管在常温时的弹性模量普遍高于FEP导管,如图3所示。在常温下,PU材料导管(G1~G5)的平均弹性模量约为500 MPa,而FEP导管(G6~G21)的平均弹性模量约为300 MPa。临床上,刚度较大的导管,有助于保证穿刺的成功率。


在用37 ℃的蒸馏水浸泡2 h后,即在模拟体温下,导管材料的力学性能发生了明显的变化,如图4所示。在体温条件下,PU导管的弹性模量普遍降低50%以上,而FEP导管的弹性模量普遍上升50%以上,如图5所示。相比于FEP导管,PU导管既符合穿刺时刚度较大,也满足在血管留置时较软的临床需求。导管留置在血管中时,较高的刚度会对人体血管产生较强的机械刺激。结果表明,FEP导管在37 ℃蒸馏水浸泡后刚度普遍增加,这一现象提示,在临床中需要关注其可能引发的静脉炎风险,在选择留置针导管材料时也需要加以关注。




导管的弯曲实验结果表明,FEP导管在37 ℃的蒸馏水中浸泡10 min后,形变量几乎没有任何变化,而PU导管在升温后在重物的重力作用下发生了明显弯曲,如图6所示。弯折回复实验结果显示,PU导管去掉重物5 min后,基本得到复原,而FEP导管则保持弯折状态。该结果说明PU导管的弯折回复性能优于FEP导管。临床上可能会出现导管弯折的情况,如不能迅速回复原来的状态,则意味着液流通路被阻塞或者流量降低,从而达不到给药的要求。导管的弯曲实验与弯折回复实验结果进一步说明PU导管在体温条件下优于FEP导管。


PU—聚氨酯导管;FEP—氟化乙烯丙稀共聚物导管
留置针导管穿刺时的有限元分析结果如图7所示。选取穿刺过程中,模拟皮肤形变较大的位置(位置A)为观测位置。结果显示,楔形面倾角为30°以及其他条件完全相同时,PU导管所受的应力为35 MPa,应变为0.04,而FEP导管所受应力为25 MPa,应变为0.06。与FEP导管相比,PU导管穿刺时所受的应力更大,应变更小,导管形变程度较小,说明PU导管在穿刺时更不易发生褶皱。


PU—聚氨酯导管;FEP—氟化乙烯丙稀共聚物导管
进而分析楔形面倾角的影响,此时导管材质均为PU且其他条件相同。结果显示,楔形面倾角为15°或30°时,导管所受应力没有较大差异,但15°时导管的应变明显更小,为0.03,如图7B和7C所示。形变程度更小,说明减小导管楔形面倾角可以在一定程度上减小导管发生褶皱的概率。
本研究中对21种留置针样品进行了模拟皮肤穿刺实验,结果如图8。结果表明,相比于FEP导管,PU导管由于常温条件下刚度更大,不容易在穿刺时发生皱褶,平均穿刺4次后才发生褶皱,而FEP导管一般在第1次或第2次穿刺时就会发生褶皱。有限元分析结果和实际测试结果基本吻合,相互得到验证。留置针在生产过程中,为了保证穿刺皮肤组织时的顺畅性,一般会在导管周围涂抹硅油以减少与人体组织间的摩擦,因此实验结果与有限元分析结果有略微差异。


对X射线扫描得到图像进行处理,通过铝板和导管灰度的差值来体现不同留置针导管的X射线可探测性。图9所示为测试样1和测试样2的测试结果,每个测试样上都固定了若干导管。图9中上标明了留置针导管的编号,括号中为留置针导管的尺寸型号。结果显示,导管的材质并不会对其X射线可探测性产生明显影响,从X射线扫描图像上观察不出PU导管和FEP导管间有明显的差异,其X射线可探测性更多地与厂商选择的硫酸钡显影条有关。


因为X射线对FEP和PU这两种低密度材料的穿透能力都很强,单纯的FEP、PU材料在X射线下基本不会显影。因此。相关行业标准规定在留置针导管上必须设置硫酸钡显影条,以便在导管意外断裂时,帮助医生定位并迅速采取治疗措施。
本研究中对静脉留置针进行了理论建模与有限元分析,实验研究了PU导管和FEP导管在常温与体温下的刚度区别,分析了导管穿刺时导致褶皱的影响因素,同时对导管在人体内的可X射线可探测性进行了简要分析。
PU导管在常温时刚度较大,有利于穿刺,进入人体后会发生软化,软化后的弹性模量可降低50%以上,可明显减少导管对血管的机械刺激和静脉炎发生概率。FEP导管在常温下的硬度普遍低于PU导管,但进入血管后,刚度平均会提高50%以上,其容易对血管壁产生机械刺激。相比于FEP导管,PU导管还具有耐弯折的优点,会明显降低导管弯折造成的导管堵塞率。在导管结构相同时,相比于FEP导管,PU导管不易发生褶皱。在导管材料相同时,留置针的楔形面倾角越小,越不易发生导管褶皱。对于导管的X射线可探测性,PU导管和FEP导管间观察不出明显的差异,其X射线可探测性更多地与厂商选择的硫酸钡显影条有关。
综上,设计留置针导管时,应优先选择PU材料,并适当减小留置针针头的楔形面倾角,以提高穿刺成功率、减少并发症、提高患者的舒适度。根据本研究结果,PU导管具有较好的生物力学特性,更加适合临床需求,具有更好的临床应用前景。
所有作者均声明不存在利益冲突





















