
仿真模拟无创光疗所用的发光二极管(LED)阵列光源在不同距离下的光斑特征,为临床无创光疗治疗方案的制定提供参考。
使用Comsol软件中射线追踪模块进行模拟不同功率和阵列的LED光源在不同距离下的光斑特征,进行拟合曲线分析,以实际LED光斑测定进行模型验证,并以小鼠背部伤口模型验证治疗方案的可行性。
在2×2 LED光源阵列下,随着与光源垂直距离的增加,有效区域和治疗区域的面积逐渐增大,区域内功率密度值逐渐降低,均匀性逐渐升高,呈线性或二项式相关。与实际LED光斑对比后改进模型,设计由18颗LED组成的光源阵列,治疗区域显示出较好的均匀性与功率密度值。以模拟的光学参数对小鼠伤口进行光照治疗,可以促进伤口愈合。
建立的医用LED阵列光源光斑特征模拟可为临床无创光疗方案的制定提供参考,并根据临床病情需求,选择合适的LED功率和阵列分布,也可为医用LED阵列光源的研发提供依据。
版权归中华医学会所有。
未经授权,不得转载、摘编本刊文章,不得使用本刊的版式设计。
除非特别声明,本刊刊出的所有文章不代表中华医学会和本刊编委会的观点。
近年来,由于抗生素的耐药性不断增加[1],一些替代疗法逐渐兴起发展[2],如光动力疗法(photodynamic therapy,PDT)和低强度光疗法(low-level light therapy,LLLT)。PDT是一种具有高度选择性和微创性的治疗方法,将光敏剂与适当波长的光相关联[3],作用下的光化学产物对细胞代谢活动产生不可逆的影响,损害细胞必需成分,进而导致目标微生物死亡[4,5,6,7]。LLLT则是通过特定波长的光照射人体组织,皮肤细胞中的发色团吸收发出的光能并将其转化为热能和化学能,激活线粒体呼吸链组分[8],导致一系列细胞反应,提高细胞代谢水平,其中治疗皮肤组织疾病的效果显著[9,10]。发光二极管(light emitting diode,LED)是一种具有一定带宽的非相关光源,可以高效率发出可见光,光单色性较好,频谱宽度与生物大分子的吸收谱宽度处于同一数量级,作为半导体电子元件,其性质介于激光和普通光之间[11,12]。LED最初用于失重状态下宇航员的伤口愈合,随着半导体技术的不断发展,发光效率不断提升,LED的生物学意义被逐渐发现,更多应用于生物医学领域,促进医疗事业的发展[9,11,12,13,14]。LED光源具有功耗低、寿命长、体积小、绿色环保和成本低廉等优势[11,15],具有较强的可控性[16],在输出功率、峰值波长等参数上也与激光相近[2],可以代替激光光源在光疗领域作为一种高效安全的光源广泛使用[14,17],更适合治疗浅表位置的皮肤问题[13]。然而,LED光源也存在单一功率低和光斑均匀性较差等问题[18],只有被照射部位的功率密度达到治疗阈值才能产生治疗效果。因此,本研究设计LED阵列,计算有效区域和治疗区域的功率密度以及均匀性,对临床无创光疗进行仿真模拟实验研究。
3535封装LED芯片购自山东晶泰星光电科技有限公司,LED光源由中国医学科学院生物医学工程研究所激光医学实验室提供,SPD-370光谱功率密度计购自杭州三泰检测技术有限公司;雄性BALB/C小鼠,9~10周龄,平均体质量25 g,实验动物许可证号SYXK(津)2019-0002。
使用Comsol Multiphysics 6.0(简称Comsol)软件进行仿真模拟实验,Comsol可以实现许多静态、动态物理现象的线性和非线性分析,通过求解偏微分方程或偏微分方程组模拟物理场现象的仿真,广泛应用于各个领域的科学研究及工程计算。
仿真辐射的波长与周围环境中几何单元相比较小,因此使用Comsol内置的几何光学接口中的射线追踪模块计算射线轨迹,忽略了衍射情况,平面电磁波被定义为:


其中,E为沿射线的电场,E0为r=0和t=0时的电场振幅,k为波矢量,r为位置向量,i为虚数单位,ω为角频率,t为时间。
沿着每条射线,可以评估射线本身定义的变量(如光程长度、强度和波长)和在建模域中射线位置处定义的变量(如温度和折射率)的表达式。射线轨迹追踪主要由以下2个方程定义:


其中,k为波矢量,t为时间,q为位置矢量,ω为角频率。
在假设吸收系数保持不变的情况下,吸收介质中平面波的强度和功率会随着波的传播呈指数衰减:


其中,k0为自由空间波数,I为射线强度,P为射线功率,I0为射线初始强度,P0为射线初始功率,λ0为真空波长,L为介质中的光程长度,c为真空中的光速,t表示当前时间,n和K为无量纲实数,K的正值对应于衰减介质,负值表示增益介质。
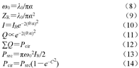
由于后续实验采用3535封装的LED电子元器件,其发光角度为120°,发出的光束近似高斯分布,在仿真实验中将每个LED光源参数设置为发散半角为60°的高斯光束,指定射线λ0为630 nm,高斯光束的远场极限是一个半角为α的锥体,在本实验中α为60°,其中光线强度或功率与每条光线与光束轴之间的角度的高斯函数成正比,由以下假设方程定义:


其中ω0为束腰半径,λ0为真空波长,θ称为光束发散半角,ZR为瑞利范围,Psrc为高斯光束传输的总功率,Pcir为以z轴为中心的半径为ω0圆的环绕功率,IR为光束束腰处的强度,C为光束截止比,默认为1,Q为射线功率,I为射线强度。根据LED光学阵列设定高斯光束的光束位置和方向,光束的ZR与模型几何尺寸相比非常小,因此将光束视为点源,从这个点源发出的射线呈锥形分布,其初始强度随角度变化,每个光源极角数Nθ为198,共包含118 207个方向,指定Psrc为10、20 mW,模拟2×2 LED阵列,每相邻2颗LED光源的横向纵向间距均为4 mm,考察不同功率下LED阵列模拟效果。
在距离光源8~27 mm处等间距1 mm设置接收面,当射线到达接收面时,每条射线的强度和功率值都投射到表面网格上,并穿过该接收面,继续模拟射线轨迹,在接收面上使用累加器特征来实现以下方程:


其中,Qj为第j条入射线的功率值,qj为第j条射线到达接受面的位置,rb为给定边界网格单元上累计变量的值,r为给定边界网格单元上变量的初始值,δ为相位因子,Nt为到达给定网格单元上的射线数,对到达给定边界单元上的所有射线进行求和,绘制接收面的光斑功率密度分布图。
在距离光源30 mm的位置设置最终接收面,当射线轨迹达到该位置时,射线冻结,不继续模拟射线轨迹,在壁上使用沉积射线功率特征来实现,方程为:


其中,Qj为第j条入射线的功率值,qj为第j条射线到达接受面的位置,对到达给定边界单元上的所有射线进行求和得到Q,绘制最终接收面的光斑功率密度分布图。
模拟2×2 LED阵列,单颗LED总源功率10 mW,阵列分别为4 mm×4 mm以及6.3 mm×7.4 mm,比较不同LED阵列下模拟效果。
利用光功率计测量单颗LED在不同距离下的接收面功率,光功率计接收面大小为边长11.95 mm的正方形;对焊接好的LED接通电源,保证LED发出的光都能够被光功率计接收,通过调节电源输出电流等参数,设定光功率计接收到的光功率为10 mW;之后将光功率计固定在光源照射下光斑的中心位置,通过调节LED光源位置,测量不同垂直距离下,光功率计接收到的光功率,并计算接收面的功率密度,与仿真实验结果比较。
平均功率密度的计算方法为将选定区域分成0.1 mm×0.1 mm的网格,网格中心点的功率密度值代表该网格的平均功率密度,选定区域内求和取平均值计算该区域内平均功率密度。
U=Φmin/Φave
其中,U为均匀性,Φmin为区域内最低功率密度值,Φave为区域内平均功率密度值。
在小鼠背部剪出1 cm×1 cm的正方形伤口,通过菌液感染来建造感染伤口,伤口拭子进行细菌培养,确认感染[19]。根据仿真实验结果,利用6.3 mm×7.4 mm的2×2 LED阵列光源进行光照治疗,每颗3535封装的LED功率为10 mW,每次照射治疗20 min,光照治疗14 d观察伤口变化。
采用SPSS 26.0统计软件进行统计学数据分析,定量资料近似服从正态分布,两组间比较采用独立样本t检验,以P<0.05为差异有统计学意义。
在20 mW功率下,横向纵向间距均为4 mm,2×2 LED阵列距光源20 mm处的模拟效果图见图1,根据图1B,将功率密度图中黄色和红色视为有效区域,功率密度图中红色区域视为治疗区域。


如图2、图3所示,随着与光源垂直距离的增加,有效区域和治疗区域的面积和均匀性逐渐提高,功率密度逐渐降低,拟合曲线可以更好地模拟和预测与光源相对位置的变化对功率密度、面积和均匀性的影响,且R2均在0.89以上,拟合效果较好,其中有效区域面积、治疗区域面积和均匀性与距离呈线性正相关,功率密度与距离呈二项式负相关。


Sz—有效区域面积;St—治疗区域面积;Uz—有效区域均匀性;Ut—治疗区域均匀性;Φz—有效区域平均功率密度;Φt—治疗区域平均功率密度;d—距光源的距离


Sz—有效区域面积;St—治疗区域面积;Uz—有效区域均匀性;Ut—治疗区域均匀性;Φz—有效区域平均功率密度;Φt—治疗区域平均功率密度;d—距光源的距离
如图4所示,有效区域和治疗区域的功率密度会随着与光源距离的增加而减小,功率较高的LED可以提高有效区域和治疗区域的功率密度。


Φz—有效区域平均功率密度;Φt—治疗区域平均功率密度;d—距光源的距离
如图5所示,不同LED阵列下,有效区域和治疗区域的面积随着与光源垂直距离的增加而增加。对于2×2 LED光源的不同阵列,阵列面积的增大会提高有效区域和治疗区域的面积。


Sz—有效区域面积;St—治疗区域面积;Uz—有效区域均匀性;Ut—治疗区域均匀性;Φz—有效区域平均功率密度;Φt—治疗区域平均功率密度;d—距光源的距离


Sz—有效区域面积;St—治疗区域面积;d—距光源的距离
如表1所示,与光源垂直距离较近处,模型与实际实验结果相差不大;但在距光源较远位置,误差较大,两组比较差异无统计学意义(P>0.05)。如图7所示,对实际光束进行高斯曲线拟合,R2=0.941 7,之后对产生误差的原因进行分析,并调整模型参数,改进后模拟后续实验。



仿真结果与实验结果同一面积下的平均功率密度对比
仿真结果与实验结果同一面积下的平均功率密度对比
| 与光源垂直距离(mm) | 平均功率密度(mW/cm2) | 误差 | |
|---|---|---|---|
| 仿真 | 实验 | ||
| 10 | 3.215 | 3.118 | 0.031 |
| 11 | 2.886 | 2.903 | 0.006 |
| 12 | 2.586 | 2.556 | 0.012 |
| 13 | 2.328 | 2.243 | 0.038 |
| 14 | 2.105 | 1.972 | 0.067 |
| 15 | 1.903 | 1.736 | 0.096 |
| 16 | 1.729 | 1.528 | 0.132 |
| 17 | 1.573 | 1.354 | 0.162 |
| 18 | 1.436 | 1.201 | 0.196 |
| 19 | 1.316 | 1.063 | 0.238 |
| 20 | 1.211 | 0.951 | 0.273 |
考虑到提高治疗区域面积和均匀性以及区域内的功率密度,设计由18颗LED组成的光源阵列,每颗LED总源功率为10 mW,每相邻两颗灯之间横向间距6.3 mm,纵向间距7.4 mm,通过调整之后的模型参数对该阵列的效果进行仿真实验。
如图8所示,与4颗LED阵列光源相比,18颗LED阵列照射下得到治疗区域面积明显增大,并且在不同距离下,治疗区域的均匀性都在0.85以上,可以达到较好的效果。


S—面积;Φ—均匀性;U—均匀性;d—距光源的距离
如图9所示,小鼠的伤口经历开放伤口期(初始状态)、结痂期(治疗3~5 d)、纤维愈合期(治疗7 d)和疤痕愈合期(治疗14 d),逐渐愈合,达到显著促进愈合的治疗效果。


LED光源逐渐成为光医学领域的新型治疗手段,在临床应用上具有广阔前景,尤其对皮肤医学应用较为成熟,利用非热的、非入侵性的光达到治疗效果,完全可以满足临床低水平光疗的需要[20,21,22]。不同波长的LED光源由于照射组织深度以及光生物学机制不同而具有各自独特的生物学效应,因而被应用在不同的临床疾病中[11]。波长为390~400 nm的LED光源与华卟啉钠结合作为牙周治疗中消除牙周病原体的一种新型治疗方式[4];蓝色LED光源主要可用于治疗中度痤疮[23]、急性湿疹、皮炎[24]、灼性神经痛和新生儿黄疸[25],可调节生物节律和情感障碍[10],并且研究发现其能够增强姜黄素对幽门螺杆菌的抗毒作用[26];绿色LED光源具有减轻疼痛、杀菌消炎以及促进伤口愈合的作用,还能够镇静助眠;黄色LED可以调节神经细胞的基因表达[11];紫色LED可以分解牙质中的色素分子,不需要相关的化学漂白剂,减少对牙髓损伤,是一种很有前途的牙齿漂白光源[27]。与单一波长LED照射相比,特定情况下多种LED联合应用的疗效会大大增强[10]。多光谱治疗采用LED半导体组合光谱直接照射皮肤,作用可达皮肤各层及皮下,促进组织细胞新陈代谢和钙磷的吸收,并起到改善血液循环的作用。波长为600~680 nm的红色LED是目前临床应用最广泛、效果最显著的光源,主要作用于浅表组织,具有可见光中最强的组织穿透能力,可促进组织细胞新陈代谢,诱导内皮细胞迁移,对伤口愈合、受损神经再生和免疫调节等具有促进作用[28],可以改善血液循环和血脂代谢,提高患者生活质量。
研究表明,细胞对于可见光剂量反应具有双相效应,即过小的功率密度对于细胞没有影响,而过大的功率密度可能具有抑制作用[29],因此需要探索LED阵列在不同距离下的功率密度,进而分析对细胞或组织的影响。在2×2 LED阵列光源下,随着与光源垂直距离的增加,有效区域和治疗区域的面积逐渐增大,功率密度值逐渐降低,均匀性逐渐升高。在与光源距离较近时,有效区域和治疗区域的面积过小,导致光功率损耗过大,并且由于有效面积和治疗面积之外的区域仍然具有较高的功率密度,容易对周围组织产生不必要的影响,此时有效区域和治疗区域的均匀性较差,可能会出现该区域内中心位置的功率密度超出临床治疗阈值,对组织造成一定损伤;在与光源距离较远时,有效区域和治疗区域面积增大,有可能会导致周围没有病变的组织也在照射范围内,对皮肤或其他组织产生影响,另外,照射范围内的功率密度较小,也可能无法达到治疗效果,因此需要根据患者需要照射区域的面积以及功率密度阈值,选择合适的LED阵列与照射距离。
患者的病情状况不同,在治疗时要根据患者的实际情况,如大面积烧伤患者在使用LED光源治疗过程中,需要根据伤口的大小选择治疗区域更大的LED阵列,并且保证整个伤口范围内的功率密度可以达到临床阈值;同时,由于患者行动限制以及设备移动等问题,照射区域可能只能在距离光源的特定位置下,此时需要根据治疗的功率密度阈值合理改变LED的功率与阵列模式。本研究只计算了间距为1 mm接受面的治疗效果模拟,因此在后续结果处理中对治疗效果进行拟合曲线分析,大多数曲线展现了较好的拟合度。在临床治疗过程中,医生可以根据治疗所需的功率密度、均匀性以及面积,在拟合曲线中找到相应的LED阵列和功率,并将LED光源放置在合适位置进行治疗,在长距离下增加LED的功率,相同距离的情况下,增加或改变LED阵列。
当光功率计与LED光源距离较近时,实验结果与仿真结果误差较小,但随着距离增加,仿真结果与实验测试结果产生较大偏差,可能是因为在放置光功率计的过程中,无法保证光功率计位于LED光源照射形成光斑区域的正中心,导致光功率计接收到的功率较实际结果偏低,并且测量过程中室内光线以及温度都会对结果产生影响;在距离较远的情况下,光功率计接收到的功率偏低,测量的精准性会受到影响,光功率计的数值无法稳定,会在一定范围内波动。另外,实测光源为3535封装的LED,在仿真过程中将其近似为高斯光束,高斯曲线拟合结果为R2=0.941 7,其半峰宽等参数与仿真模型也不能完全一致,这些因素都会导致实际测试结果与仿真模型之间的误差。实际LED光源具有一定的发光面积,在仿真研究中光束的瑞利范围与模型几何尺寸相比非常小,因此这个特征将光束视为点光源;在仿真过程网格划分时,粗化的网格大小会导致结果不够准确,过小的网格单元则会导致中心点功率密度过高,光斑均匀性不佳等问题,因此在仿真中需要合适的网格剖分方式来减小误差。
根据实验的结果,对模型参数进行一定程度的调整,并设计了一个LED阵列光源,由18颗灯组成,在提高照射区域的功率密度的同时增大治疗区域面积和均匀性,在很大程度上提高了光束的利用率,并且保证治疗区域内的功率密度波动不大,不会对组织产生不必要的影响。在之后利用模拟的光学参数对小鼠伤口进行光照治疗,促进伤口愈合效果明显,验证了治疗方案的可行性。
综上所述,本文对封装后的医用LED光源进行治疗效果模拟,仿真实验采用Comsol软件中的射线追踪模块,根据功率密度分布图划分有效区域和治疗区域,通过接受面与光源垂直距离的变化,得到有效区域和治疗区域的面积、平均功率密度和均匀性,比较不同功率和不同LED阵列下的面积和功率密度变化,临床应用中可根据患者病情、伤口面积、治疗疾病所需要的功率密度和均匀性,选择合适的LED功率和阵列分布,根据拟合曲线将LED光源放置在合适位置进行治疗,以模拟的光学参数对小鼠伤口进行光照治疗,促进小鼠伤口的愈合具有较好的效果,本研究所建立的医用LED阵列光源光斑特征模拟可为临床无创光疗方案的制定提供参考,也可为医用LED阵列光源的研发提供依据。
所有作者均声明不存在利益冲突





















