
目前,T1a期局限性肾透明细胞癌(ccRCC)患者首选肾部分切除术(PN),而对于T1b期局限性患者是否首选PN方案尚存在争议。
分析PN对Ⅰ期局限性ccRCC患者总体生存率(OS)和肿瘤特异生存率(CSS)的影响。
2020年4—5月申请获得监测、流行病学和最终结果(SEER)数据库使用权限并从数据库下载1975—2016年经病理诊断为Ⅰ期局限性ccRCC患者的临床病理资料(诊断年份、年龄、性别、人种、婚姻、肿瘤患侧性、病理分级、T分期、手术方式),根据手术方式不同将患者分为PN组与根治性肾切除术(RN)组。采用Cox比例风险回归模型分析Ⅰ期局限性ccRCC患者CSS的独立预后因素;采用多因素Logistic回归分析探讨患者手术方式的影响因素;采用倾向性评分匹配法校正样本,Kaplan-Meier曲线和多因素Cox比例风险回归模型分析匹配前后两种手术方式对患者OS和CSS的影响。
单因素Cox比例风险回归模型结果显示,年龄、婚姻、病理分级、T分期、手术方式均是Ⅰ期局限性ccRCC患者CSS的预后因素(P<0.05);多因素Cox比例风险回归模型结果显示,年龄、婚姻、病理分级、T分期、手术方式均是Ⅰ期局限性ccRCC患者CSS的独立预后因素(P<0.05)。在总体生存人群及肿瘤特异性生存人群中,两组T1b期局限性ccRCC患者诊断年份、年龄、肿瘤患侧性、病理分级比较,差异均有统计学意义(P<0.05);多因素Logistic回归分析结果显示,诊断年份、年龄、肿瘤患侧性、病理分级是T1b期局限性ccRCC患者手术方式的影响因素(P<0.05)。与RN相比,匹配前后的Kaplan-Meier曲线发现,PN对患者OS有益(P<0.05),而对CSS无明显影响(P>0.05);PSM调整后的多因素Cox比例风险回归模型分析发现PN是患者OS独立保护因素(HR=0.695,P=0.009),对CSS无明显影响(HR=0.804,P=0.301)。
基于患者的远期生存角度,在手术可行的情况下,建议Ⅰ期局限性ccRCC患者优先考虑PN治疗。
本刊2021年版权归中国全科医学杂志社所有
未经编辑部许可,不得任意转载和摘编
本刊所发表作品仅为作者观点,并不代表编委会和编辑部意见
如有印装质量问题请向本刊发行部调换
肾细胞癌(renal cell carcinoma,RCC)是最常见的泌尿系统恶性肿瘤之一,在组织学上,肾透明细胞癌(clear cell renal cell carcinoma,ccRCC)是最常见的RCC亚型(80%~90%)[1,2]。在欧盟国家,2018年RCC的新发病例约99 200例,并且39 100例患者的死亡与RCC密切相关[3]。目前,手术是局限性RCC的首选治疗方案。欧洲泌尿外科协会指南[4]推荐,肾部分切除术(partial nephrectomy,PN)是Ⅰ期ccRCC的首选方案;而美国国立综合癌症网络指南[5]指出,PN和根治性肾切除术(radical nephrectomy,RN)均是T1b期局限性RCC患者的一线手术方案。目前,GERSHMAN等[6]研究发现,RN和PN与T1NanyM0期RCC患者的全因死亡率和肿瘤特异性死亡率均无统计学差异;而VENKATRAMANI等[7]回顾性分析发现,与RN相比,PN对T1bN0M0期RCC患者总体生存率(overall survival,OS)有利。因而,本研究基于监测、流行病学和最终结果(Surveillance,Epidemiology,and End Results,SEER)数据库观察PN和RN对T1b期局限性ccRCC患者OS和肿瘤特异生存率(cancer specific survival,CSS)的影响并探究Ⅰ期局限性ccRCC患者的独立预后因素,为临床泌尿外科医师的手术决策提供参考。
目前,尚无关于根治性肾切除术(RN)和肾部分切除术(PN)对T1b期肾透明细胞癌(ccRCC)患者预后影响的前瞻性临床研究,对于这类患者的最佳手术方式的选择还存在分歧。本文基于监测、流行病学和最终结果(SEER)数据库单独对ccRCC患者进行了多中心、大样本的回顾性分析;同时,为达到类随机化原则,利用倾向性评分匹配法(PSM)处理原始数据,研究发现,与RN相比,PN可延长T1b期期患者的总体生存率(OS)。
2020年4—5月申请获得SEER数据库使用权限并从数据库下载1975—2016年103 314例经病理诊断为ccRCC(原发肿瘤部位编码:C64.9;组织学编码:8310/3)患者的临床病理资料。依据排除标准,共13 761例Ⅰ期局限性ccRCC患者(OS人群:总体生存人群;诊断年份:2010—2015年)纳入研究,其中9 144例为T1a期,4 617例为T1b期〔病理分期依据美国癌症联合委员会(AJCC)第7版TNM分期[8]执行〕;T1b期OS人群中3 230例采用RN,1 387例采用PN。OS人群排除死于其他原因的患者后剩余13 208例Ⅰ期局限性ccRCC患者(CSS人群:肿瘤特异性生存人群),其中8 826例为T1a期,4 382例为T1b期;T1b期CSS人群中3 045例采用RN,1 337例采用PN(见图1)。


注:OS人群为总体生存人群,CSS人群为肿瘤特异性生存人群;RN=根治性肾切除术,PN=肾部分切除术
对纳入研究的对象的以下资料进行回顾性分析:(1)诊断年份:2010—2011年、2012—2013年、2014—2015年;(2)年龄:<65岁、65~<75岁及≥75岁;(3)性别:男、女;(4)人种:白种人、黑种人、其他等;(5)婚姻:已婚、未婚、其他(离婚、丧偶和分居);(6)肿瘤患侧性:左侧和右侧;(7)病理分级:高、中、低和未分化;(8)T分期(肿瘤大小):T1a期(≤4 cm)和T1b期(>4~7 cm);(9)手术方式:RN和PN,并根据手术方式的不同将T1b期患者分为RN和PN两组。基于上述因素分析两种术式对患者CSS及OS影响并探析患者的预后因素。
采用R软件(版本3.6.1)进行数据分析。计数资料采用相对数表示,组间比较采用χ2检验;采用Cox比例风险回归模型分析Ⅰ期局限性ccRCC患者CSS的独立预后因素;采用多因素Logistic回归分析探讨手术方式的影响因素;将手术方式作为因变量,倾向性评分匹配法(propensity score matching,PSM)校正样本,Kaplan-Meier曲线分析样本匹配前后两种术式对患者的生存影响;采用Cox比例风险回归模型分析进一步确定PN是否是患者的独立预后因素。以P<0.05为差异有统计学意义。
以生存状态(赋值:存活=0,死亡=1)和生存时间(赋值:实测值)为因变量,以诊断年份(赋值:2010—2011年=1,2012—2013年=2,2014—2015年=3)、年龄(赋值:<65岁=1,65<75岁=2,≥75岁=3)、性别(赋值:女=1,男=2)、人种(赋值:黑种人=1,白种人=2,其他=3)、婚姻(赋值:已婚=1,未婚=2,其他=3)、肿瘤患侧性(赋值:左侧=1,右侧=2)、病理分级(赋值:高分化=1,中分化=2,低分化=3,未分化=4)、T分期(赋值:T1a=1,T1b=2)、手术方式(赋值:RN=1,PN=2)为自变量,代入单因素Cox比例风险回归模型,结果显示:年龄、婚姻、病理分级、T分期、手术方式均是Ⅰ期局限性ccRCC患者CSS预后的影响因素(P<0.05)。以生存状态和生存时间为因变量,将上述有统计学意义的因素作为自变量,代入多因素Cox比例风险回归模型(赋值情况同单因素Cox比例风险回归模型),结果显示:65~<75岁(HR=1.89,P<0.01)、≥75岁(HR=3.66,P<0.01)、未婚(HR=1.49,P=0.02)及其他婚姻情况(离婚、丧偶和分居)(HR=1.39,P=0.03)、病理分级(低分化:HR=3.06,P<0.01;未分化:HR=10.64,P<0.01)及T1b(HR=2.48,P<0.01)均是Ⅰ期局限性ccRCC患者CSS预后的独立危险因素,而PN(HR=0.53,P<0.01)是Ⅰ期局限性ccRCC患者CSS预后的独立保护因素(见表1)。

Ⅰ期局限性ccRCC患者CSS的独立预后因素的Cox比例风险模型分析
Cox proportional hazards model analysis of independent factors associated with cancer-specific survival in patients with localizedⅠccRCC
Ⅰ期局限性ccRCC患者CSS的独立预后因素的Cox比例风险模型分析
Cox proportional hazards model analysis of independent factors associated with cancer-specific survival in patients with localizedⅠccRCC
| 因素 | 单因素Cox比例风险回归模型分析 | 多因素Cox比例风险回归模型分析 | |||
|---|---|---|---|---|---|
| HR(95%CI) | P值 | HR(95%CI) | P值 | ||
| 诊断时间(以2010—2011年为参照) | |||||
| 2012—2013年 | 0.90(0.66,1.21) | 0.48 | - | - | |
| 2014—2015年 | 0.87(0.58,1.30) | 0.50 | - | - | |
| 年龄(以65岁为参照) | |||||
| 65~<75岁 | 2.24(1.69,2.98) | <0.01 | 1.89(1.41,2.53) | <0.01 | |
| ≥75岁 | 4.78(3.50,6.52) | <0.01 | 3.66(2.66,5.04) | <0.01 | |
| 性别(以女性为参照) | 1.01(0.78,1.29) | 0.97 | - | - | |
| 人种(以黑种人为参照) | |||||
| 白种人 | 0.98(0.62,1.57) | 0.95 | - | - | |
| 其他等 | 0.70(0.35,1.39) | 0.30 | - | - | |
| 婚姻(以已婚为参照) | |||||
| 未婚 | 1.27(0.91,1.76) | 0.16 | 1.49(1.06,2.08) | 0.02 | |
| 其他 | 1.75(1.31,2.34) | <0.01 | 1.39(1.03,1.86) | 0.03 | |
| 肿瘤患侧性(以左侧为参照) | 1.02(0.80,1.31) | 0.86 | - | - | |
| 病理分级(以高分化为参照) | |||||
| 中分化 | 1.41(0.83,2.40) | 0.20 | 1.20(0.70,2.03) | 0.51 | |
| 低分化 | 4.37(2.58,7.39) | <0.01 | 3.06(1.80,5.21) | <0.01 | |
| 未分化 | 21.30(11.84,38.31) | <0.01 | 10.64(5.85,19.35) | <0.01 | |
| T分期(以T1a为参照) | 4.30(3.30,5.59) | <0.01 | 2.48(1.87,3.30) | <0.01 | |
| 手术方式(以RN为参照) | 0.29(0.22,0.38) | <0.01 | 0.53(0.40,0.72) | <0.01 | |
注:RN=根治性肾切除术,PN=肾部分切除术;-表示无此项数据
在OS人群及CSS人群中,不同手术方式T1b期局限性ccRCC患者的诊断年份、年龄、肿瘤患侧性、病理分级比较,差异均有统计学意义(P<0.05);不同手术方式T1b期局限性ccRCC患者的性别、人种、婚姻比较,差异均无统计学意义(P>0.05,见表2)。以手术方式(赋值:RN=0,PN=1)为因变量,以诊断年份、年龄、性别、人种、婚姻、肿瘤患侧性、病理分级为自变量(赋值情况同2.1),进行多因素Logistic回归分析,结果显示,诊断年份、年龄、肿瘤患侧性、病理分级是T1b期局限性ccRCC患者手术方式的影响因素(P<0.05,见表3)。

T1b期ccRCC患者的临床特征分析
Baseline characteristics of ccRCC patients in T1b stage
T1b期ccRCC患者的临床特征分析
Baseline characteristics of ccRCC patients in T1b stage
| 特征 | OS人群 | 匹配前 | 匹配后 | CSS人群 | 匹配前 | 匹配后 | |||||||
|---|---|---|---|---|---|---|---|---|---|---|---|---|---|
| RN组(n=3 230) | PN组(n=1 387) | χ2值 | P值 | χ2值 | P值 | RN组(n=3 045) | PN组(n=1 337) | χ2值 | P值 | χ2值 | P值 | ||
| 诊断年份 | 12.51 | 0.002 | 2.34 | 0.310 | 7.43 | 0.020 | 0.12 | 0.940 | |||||
| 2010—2011年 | 1 014(31.4) | 365(26.3) | 909(30.0) | 346(26.0) | |||||||||
| 2012—2013年 | 1 011(31.3) | 452(32.6) | 947(31.0) | 430(32.0) | |||||||||
| 2014—2015年 | 1 205(37.3) | 570(41.1) | 1 189(39.0) | 561(42.0) | |||||||||
| 年龄(岁) | 11.05 | 0.004 | 0.86 | 0.650 | 3.82 | 0.020 | 0.37 | 0.830 | |||||
| <65 | 1 995(61.8) | 923(66.5) | 1 925(63.2) | 903(67.5) | |||||||||
| 65~<75 | 828(25.6) | 326(23.5) | 777(25.5) | 311(23.3) | |||||||||
| ≥75 | 407(12.6) | 138(10.0) | 343(11.3) | 123(9.2) | |||||||||
| 性别 | 3.20 | 0.070 | 1.38 | 0.240 | 3.33 | 0.060 | 0.23 | 0.630 | |||||
| 男 | 1 948(60.3) | 876(63.2) | 1 827(60.0) | 842(63.0) | |||||||||
| 女 | 1 282(39.7) | 511(36.8) | 1 218(40.0) | 495(37.0) | |||||||||
| 人种 | 0.29 | 0.860 | 0.42 | 0.810 | 0.60 | 0.740 | 0.76 | 0.250 | |||||
| 黑种人 | 209(6.5) | 94(6.8) | 197(6.5) | 94(7.0) | |||||||||
| 白种人 | 2 779(86.0) | 1 185(85.4) | 2 617(85.9) | 1 138(85.1) | |||||||||
| 其他等 | 242(7.5) | 108(7.8) | 231(7.6) | 105(7.9) | |||||||||
| 婚姻 | 1.00 | 0.600 | 0.23 | 0.890 | 1.37 | 0.500 | 0.12 | 0.940 | |||||
| 已婚 | 2 064(63.9) | 882(63.6) | 1 966(64.6) | 855(64.0) | |||||||||
| 未婚 | 540(16.7) | 247(17.8) | 507(16.6) | 241(18.0) | |||||||||
| 其他 | 626(19.4) | 258(18.6) | 572(18.8) | 241(18.0) | |||||||||
| 肿瘤患侧性 | 8.11 | 0.004 | 0.28 | 0.590 | 7.19 | 0.007 | 0.01 | 0.940 | |||||
| 左侧 | 1 663(51.5) | 650(46.9) | 1 559(51.2) | 625(46.7) | |||||||||
| 右侧 | 1 567(48.5) | 737(53.1) | 1 486(48.8) | 712(53.3) | |||||||||
| 病理分级 | 15.48 | 0.001 | 5.90 | 0.120 | 14.34 | 0.002 | 2.92 | 0.400 | |||||
| 高分化 | 273(8.5) | 136(9.8) | 253(8.3) | 132(9.9) | |||||||||
| 中分化 | 1 878(58.1) | 789(56.9) | 1 765(58.0) | 763(57.0) | |||||||||
| 低分化 | 944(29.2) | 433(31.2) | 898(29.5) | 413(30.9) | |||||||||
| 未分化 | 135(4.2) | 29(2.1) | 129(4.2) | 29(2.2) | |||||||||
注:OS人群为总体生存人群,CSS人群为肿瘤特异性生存人群;RN=根治性肾切除术,PN=肾部分切除术

选择PN术式患者影响因素的多因素Logistic回归分析
Multivariate Logistic regression analysis on influencing factors of ccRCC patients with partial nephrectomy
选择PN术式患者影响因素的多因素Logistic回归分析
Multivariate Logistic regression analysis on influencing factors of ccRCC patients with partial nephrectomy
| 因素 | β | SE | Waldχ2值 | P值 | OR(95%CI) | 因素 | β | SE | Waldχ2值 | P值 | OR(95%CI) | ||
|---|---|---|---|---|---|---|---|---|---|---|---|---|---|
| 诊断年份(以2010—2011年为参照) | 婚姻(以已婚为参照) | ||||||||||||
| 2012—2013年 | 0.17 | 0.09 | 3.57 | 0.03 | 1.21(1.02,1.43) | 未婚 | 0.07 | 0.09 | 0.60 | 0.46 | 1.07(0.90,1.28) | ||
| 2014—2015年 | 0.22 | 0.08 | 7.56 | 0.01 | 1.25(1.07,1.47) | 其他 | 0.03 | 0.09 | 0.11 | 0.72 | 1.03(0.86,1.23) | ||
| 年龄(以<65岁为参照) | 肿瘤患侧性(以左侧为参照) | 0.18 | 0.07 | 6.61 | 0.01 | 1.19(1.05,1.36) | |||||||
| 65~<75岁 | -0.14 | 0.08 | 3.06 | 0.08 | 0.87(0.74,1.01) | 病理分级(以高分化为参照) | |||||||
| ≥75岁 | -0.25 | 0.11 | 5.17 | 0.03 | 0.78(0.62,0.97) | 中分化 | -0.19 | 0.12 | 2.51 | 0.11 | 0.83(0.66,1.04) | ||
| 性别(以女性为参照) | 0.12 | 0.07 | 2.94 | 0.09 | 1.13(0.98,1.29) | 低分化 | -0.14 | 0.12 | 1.36 | 0.27 | 0.87(0.69,1.12) | ||
| 人种(以黑种人为参照) | 未分化 | -0.85 | 0.23 | 13.66 | <0.01 | 0.43(0.27,0.67) | |||||||
| 白种人 | -0.06 | 0.13 | 0.21 | 0.67 | 0.94(0.73,1.23) | ||||||||
| 其他等 | -0.03 | 0.17 | 0.03 | 0.86 | 0.97(0.69,1.37) | ||||||||
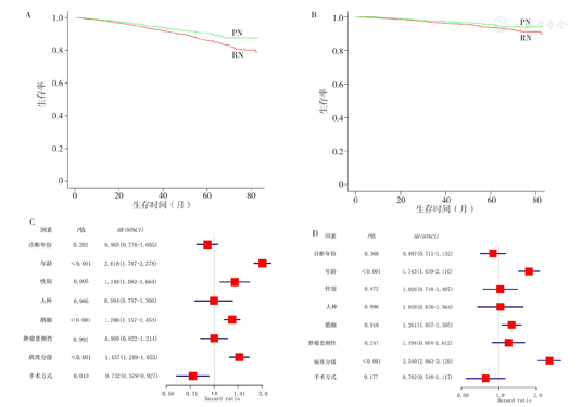
Log-rank结果显示:与RN方案相比,患者选择PN方案可使其OS获益(P=0.002,见图2A,图2B)。以生存状态和生存时间为因变量,以诊断年份、年龄、性别、人种、婚姻、肿瘤患侧性、病理分级和手术方式为自变量(赋值情况同2.1),进行多因素Cox比例风险回归模型分析,结果显示:与RN相比,PN对患者OS有利(HR=0.732,P=0.010)(见图2C,图2D)。


注:A~B:两种术式对患者OS(A)及CSS(B)影响的Kaplan-Meier曲线,C~D:影响患者OS(C)及CSS(D)的多因素Cox比例风险回归模型分析森林图
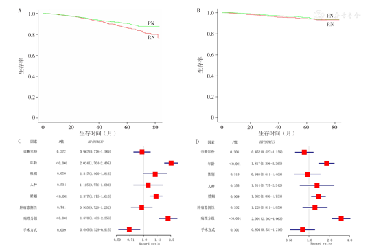
表2提示总体生存人群及肿瘤特异性生存人群的组间差异明显,样本存在的选择误差较大,极有可能影响样本的分析结果。PSM已普遍被应用于大样本的回顾性分析,从而减少选择误差[9]。因而本研究利用1∶1 PSM法平衡样本χ2检验发现,人群的组间差异明显改善(P>0.05,见表2)。
为了更准确地验证两种术式的预后影响,利用Kaplan-Meier曲线对可视化匹配后的样本进行分析,结果显示,PN对患者OS仍然有益(P=0.027),而对CSS无明显作用(P=0.232,见图3A,图3B)。为排除其他因素干扰,以生存状态和生存时间为因变量,以诊断年份、年龄、性别、人种、婚姻、肿瘤患侧性、病理分级和手术方式为自变量(赋值情况同2.1),代入多因素Cox比例风险回归模型,结果显示:与RN相比,PN是患者OS独立保护因素(HR=0.695,P=0.009,见图3C,图3D)。


注:A~B:两种术式对患者OS(A)及CSS(B)影响的Kaplan-Meier曲线;C~D:影响患者OS(C)及CSS(D)的多因素Cox比例风险回归模型分析森林图
RCC约占肾脏所有恶性肿瘤的90%,ccRCC是最常见的亚型[2,10]。据2014年统计,我国RCC发病率呈上升趋势[8]。目前,相关指南[4]已明确指出,T1a期局限性ccRCC患者首选PN术式;然而,对于T1b期(肿瘤直径>4 cm)局限性ccRCC患者的首选手术方式暂未统一意见。据相关报道[11,12],RN对于患者肾功能损害较大,并增加了患代谢性或心血管疾病的风险,而PN保留了部分肾功能,可降低这些风险。
本文通过SEER数据库分析2010—2015年的4 617例T1b期局限性ccRCC患者的预后因素发现,PN可改善患者OS,而对患者CSS的影响与RN相当。此前,BADALATO等[13]利用SEER数据库分析了1998—2007年间的11 256例T1b期局限性ccRCC患者发现,PN和RN对患者OS和CSS的影响无差异。而GU等[14]的一项荟萃分析发现,与RN相比,PN可使局限性RCC患者OS获益(HR=0.81,P<0.001),同时其对患者CSS(HR=0.85,P=0.060)和无复发生存期(HR=0.66,P=0.239)的作用与RN无差异;JANG等[15]的一项韩国多中心回顾性研究也得出类似的结果;杨建波[16]回顾性分析南昌第一附属医院的RCC患者发现,在肿瘤复发方面,腹腔镜PN和RN无显著差异;其他的回顾性分析和一项随机对照试验同样发现RN和PN对T1b期RCC患者CSS的影响相似[17,18]。KARTAL等[19]回顾性分析T1b期局限性RCC发现,腹腔镜PN与开腹PN对患者的生存影响无差异,但选择腹腔镜PN的患者住院周期更短且并发症的发生率更低。因而,对于T1b期局限性ccRCC患者,应将腹腔镜PN作为其金标准术式。
此外,本研究通过多因素Logistic回归模式观察选择PN的患者的临床病理特征发现,年龄≥75岁及肿瘤未分化的患者选择PN的概率较低。这些可能与患者的年龄大及肿瘤位置等因素导致实行PN术式难度变大相关。与RN相比,肾脏热缺血时间的控制阻碍了PN的顺利执行[20]。肿瘤解剖(肾门型、内生型及多发性肿瘤)及患者手术耐受性(肥胖、既往手术史及心肺脑血管等慢性病)增加了PN术式成功实施的难度[21]。尤其是我国中老年肾癌患者占比大,且基础疾病多,对手术耐受性较差[22],这就阻碍了PN术式的发展。
曹靖等[23]回顾性分析76例腹腔镜PN术式发现肾脏热缺血时间控制在半小时内对患者的术后早期肾功能损害较小;董毅等[24]比较PN和RN分别对老年cT1~2期肾癌患者的围术期影响发现PN对65岁以上的局部性肾癌患者的围术期并发症是可控的,且其降低了这些患者的远期并发症;VECCIA等[25]和ANTONELLI等[26]分别发现PN能更好地保护老年RCC患者肾功能而减少相关并发症的风险;HAMILTON等[27]多中心回顾性分析局限性RCC患者发现,PN并未增加局限性RCC进展的风险。机器人技术及肾脏血管阻断技术的发展,在一定程度上,解决了热缺血时间阻碍PN实施的难题[28,29]。葛光炬等[30]小样本短期随访回顾性分析肾门型肾癌患者发现,在控制热缺血时间及精准切除肿瘤等方面,机器人进行PN存在明显优势;沈周俊等[20]回顾性分析发现,肾动脉不阻断的"off-clamping"技术在机器人辅助腹腔镜PN是安全可行的,尤其适用于孤立性肾脏及双侧肾癌患者;秦超等[31]回顾性分析发现,分支肾动脉序贯阻断技术能最大程度减少孤立肾或对侧肾功能不全的多发性肾癌患者的肾脏热缺血时间。然而,目前关于机器人技术相关的研究多为回顾性分析,还有待高质量临床前瞻性研究进一步证实,且其费用高昂,在国内的普及率远不及腹腔镜技术。
因而,年龄及肿瘤解剖异常等因素不应完全成为T1b期肾癌患者拒绝PN术式的屏障,这将不利于患者的远期生存,也不符合精准治疗理念。临床医师应全面评估患者手术耐受性、预期生存期及肿瘤解剖特点,结合患者家庭经济情况及医院技术条件,为早期肾癌患者制定个体化手术方案。
本文对Ⅰ期局限性ccRCC患者的生存分析发现,老年、未婚、婚姻异常(离婚、丧偶和分居)、肿瘤分化差及T1b期的人群,其预后较差,这与国内外其他学者的研究类似[32,33]。因此,对于这部分术后患者,临床医师应给予更多的关注。
本研究存在以下局限性:(1)由于本研究是基于数据库进行的回顾性分析,虽利用PSM消除混杂因素的干扰,但仍无法完全控制选择偏倚造成的误差,有待更多高质量的前瞻性随机试验来进一步佐证;(2)SEER数据库并未明确PN的实施方法(开放或腹腔镜等);(3)患者的生活史、是否合并其他急慢性疾病及患者的术中/后情况均未被SEER数据库提供,因而不能更全面评估RN和PN的安全性。
基于当前国内外研究现状,从患者的远期预后考量,PN更适于Ⅰ期局限性ccRCC患者。因此,临床泌尿外科医师应术前全面评估患者身体状况、肾脏及肿瘤解剖特点,结合患者家庭经济及预期生存等情况,为Ⅰ期CRCC患者个体化选择PN术式。
本文无利益冲突。





















