
我国是幽门螺杆菌的高感染国家。幽门螺杆菌进入儿童体内后,很难被自然清除。受样本量、研究方案设计、调查地域、调查对象群体特征等因素的影响,我国儿童幽门螺杆菌感染状况及影响因素研究结果不一。全面客观地了解、分析我国儿童幽门螺杆菌感染现状及其影响因素,对其预防具有重要意义。
系统评价我国儿童幽门螺杆菌的感染现状及其影响因素。
于2021年6月,计算机检索PubMed、EmBase、the Cochrane Library、中国知网、维普中文科技期刊全文数据库和万方数据知识服务平台,获取有关中国儿童幽门螺杆菌感染现状及其影响因素的研究,检索时限均为建库至2021年6月。由2位研究者独立筛选文献、提取资料并评价纳入研究的偏倚风险后,采用R 4.1.0软件进行Meta分析。
共纳入37篇文献,总样本量为40 786例,其中11 267例儿童感染幽门螺杆菌。儿童幽门螺杆菌感染率的Meta分析结果显示,我国儿童幽门螺杆菌感染率为30.31%〔95%CI(25.72%,35.10%)〕;亚组分析结果显示,不同地理区域、文献发表时间段、检测方法(下)儿童幽门螺杆菌感染率比较,差异有统计学意义(P<0.05),且随着城市经济水平的下降,儿童幽门螺杆菌感染率呈上升趋势(χ2趋势=465.955,P<0.001);单因素Meta回归结果显示,城市经济水平对儿童幽门螺杆菌感染率水平有影响(P<0.05)。儿童幽门螺杆菌感染影响因素的Meta分析结果显示:较差的居住条件〔OR(95%CI)=1.47(1.09,2.00)〕、口嚼食物喂养史〔OR(95%CI)=2.88(1.80,4.60)〕、儿童有消化道症状〔OR(95%CI)=1.56(1.01,2.43)〕、家庭成员有消化道症状〔OR(95%CI)=2.23(1.68,2.98)〕、有啃食手指/玩具的习惯〔OR(95%CI)=3.64(2.10,6.32)〕、共用洗漱用具〔OR(95%CI)=2.54(2.54,5.73)〕是儿童感染幽门螺杆菌的危险因素,居住地为城市〔OR(95%CI)=0.63(0.56,0.71)〕、勤洗手〔OR(95%CI)=0.36(0.18,0.69)〕是儿童感染幽门螺杆菌的保护因素。随着儿童年龄的增长,儿童幽门螺杆菌感染率呈升高趋势(χ2趋势=416.923,P<0.001)。
我国儿童幽门螺杆菌感染率较高,农村和经济发展滞后地区的儿童,以及个人或家庭成员卫生习惯不良的儿童感染幽门螺杆菌的可能性更大。应加强对此类(地区)儿童的幽门螺杆菌感染筛查工作,并针对相关危险因素开展宣传教育工作,这将有助于儿童有效预防幽门螺杆菌感染。
本刊2022年版权归中国全科医学杂志社所有
未经编辑部许可,不得任意转载和摘编
本刊所发表作品仅为作者观点,并不代表编委会和编辑部意见
如有印装质量问题请向本刊发行部调换
目前,诸多研究已经证实幽门螺杆菌感染是胃癌发生的始动因素,与胃癌的发生密切相关;WHO将幽门螺杆菌列为胃癌的Ⅰ类致癌原[1]。中国是胃癌高发国家,也是幽门螺杆菌的高感染国家[2]。幽门螺杆菌感染的发生与地区经济水平、卫生条件,以及个人健康状况、生活习惯等因素关系密切[3]。由于儿童群体免疫力差、胃黏膜屏障保护功能较弱,幽门螺杆菌进入儿童胃内后,很难被自然清除[3]。幽门螺杆菌感染会影响身体吸收营养元素的能力,进而对儿童的生长发育造成不良影响[3]。因此,了解中国儿童幽门螺杆菌感染情况及其影响因素,并积极采取有力措施预防与控制幽门螺杆菌感染,对于保障儿童健康成长具有重要意义。目前,有关我国儿童幽门螺杆菌感染现状及其影响因素的研究较少,并且受研究方案设计、调查地域、调查对象群体特征等因素的影响,不同研究结果之间存在较大差异。因此,本文通过收集整理、评价儿童幽门螺杆菌感染相关文献,并进行Meta分析,旨在了解我国儿童幽门螺杆菌感染现状,分析儿童幽门螺杆菌感染的影响因素,为儿童幽门螺杆菌感染的预防提供流行病学依据。
纳入标准:(1)研究对象为中国大陆地区年龄≤15岁的儿童自然人群;(2)研究类型为观察性研究,包括队列研究、病例对照研究和横断面研究;(3)研究内容为儿童幽门螺杆菌感染现状及其影响/预测因素;(4)研究明确交代了调查地点、人群特征、样本总量、感染例数等内容;(5)研究明确报告了幽门螺杆菌感染的检测方法,包括幽门螺杆菌IgG抗体(Hp-IgG)检测或幽门螺杆菌粪便抗原检测(Hp-SAT)。排除标准:(1)非中、英文文献;(2)以住院或门诊患儿作为研究对象的文献;(3)重复发表的文献;(4)数据无法完整提取/有明显错误的文献;(5)综述、系统评价、会议论文、以摘要形式发表的研究成果。
于2021年6月,计算机检索PubMed、EmBase、the Cochrane Library、中国知网、维普中文科技期刊全文数据库和万方数据知识服务平台,获取有关中国儿童幽门螺杆菌感染现状及其影响因素的研究,检索时限均为建库至2021年6月。中文检索词包括:儿童、幽门螺杆菌、幽门螺旋杆菌、调查。英文检索词包括:children、Helicobacter pylori、China。以PubMed为例,具体检索策略为:(children[All Fields])AND(Helicobacter pylori[All Fields])AND(China[All Fields])。
由2名研究者独立筛选文献、提取资料并交叉核对,如有不同意见,则通过讨论达成一致意见或者与第3方协商解决。文献筛选时,首先阅读文题和摘要(初筛),在排除明显不相关的文献后,进一步通读全文根据纳入和排除标准以最终确定是否纳入(复筛)。资料提取内容主要包括:第一作者、发表年份、地区、研究类型、抽样方法、研究群体、年龄、样本量、幽门螺杆菌感染例数、检测方法、报告的影响因素。
由2名研究者独立采用LONEY等[4]研制的疾病感染率或发病率研究偏倚风险评价标准对纳入研究进行偏倚风险评价,若有不同意见,则通过讨论达成一致意见,或由第3方做出最终裁决。评价标准由8个条目组成:(1)研究样本是随机样本,或者样本即为总体;(2)研究是否采用无偏的样本框架(如普查数据);(3)是否有充足的样本量(>300);(4)是否采用客观、适宜和标准的方法来测量健康结局;(5)健康结局评估人员基线资料是否具有可比性;(6)足够的应答率(>70%),是否描述了无应答人员的信息;(7)结果是否以置信区间或亚组分析的形式详细给出;(8)研究对象设定的详细描述。各条目采用"是""否"进行评价,计分方式为"是"计1分,"否"计0分,各条目得分相加即为总分,得分范围为0~8分,得分越高说明纳入的文献偏倚风险越低。设定0~3分为低质量,4~6分为中等质量,7~8分为高质量。
运用R 4.1.0软件进行统计分析,纳入研究间的异质性采用Q检验进行分析(检验水准为α=0.10),同时结合I2定量判断异质性大小。当P>0.100且I2 <50%时,提示研究间同质性较好,则采用固定效应模型进行Meta分析;若I2≥50%且P≤0.100,可认为研究间异质性较大,则采用随机效应模型进行Meta分析。计算每项研究效应量的权重,利用广义倒方差模型对儿童幽门螺杆菌感染率,以及儿童幽门螺杆菌感染影响因素的比值比(OR)及其95%置信区间(CI)进行合并。计算中国儿童幽门螺杆菌合并感染率及其95%CI时,若各研究间异质性较大,在采用随机效应模型进行Meta分析的基础上,根据地理区域(按地理位置分华东、华北、东北、中南、西南、西北6个大区)、城市经济水平、文献发表时间(2010年及以前、2010年后)和幽门螺杆菌感染检测方法(Hp-IgG检测、Hp-SAT)进行亚组分析和单因素Meta回归,进一步寻找异质性的来源。计算各亚组的儿童幽门螺杆菌感染率及其95%CI,采用χ2检验比较不同组别儿童幽门螺杆菌感染率,采用趋势χ2检验分析儿童幽门螺杆菌感染率随城市经济水平变化的情况。此外,通过敏感性分析评价儿童幽门螺杆菌感染率Meta分析结果的稳定性,采用Egger's检验评估发表偏倚。检验水准α=0.05。
初检共获得文献826篇〔PubMed(n=293)、EmBase(n=51)、the Cochrane Library(n=6)、中国知网(n=120)、维普中文科技期刊全文数据库(n=96)和万方数据知识服务平台(n=260)〕,去重后剩余文献341篇。经过初筛后纳入文献118篇(剔除综述及系统评价文献143篇、原始数据无法提取的文献27篇、仅以住院或门诊患儿为研究对象的文献53篇),然后通读全文根据纳入和排除标准进行复筛,剔除不符合纳入标准的文献81篇(非观察性研究文献17篇、未详细说明调查地点及人群特征的文献22篇、检测方法非Hp-IgG检测或Hp-SAT的文献38篇、重复发表文献4篇),最终纳入符合标准的文献37篇[5,6,7,8,9,10,11,12,13,14,15,16,17,18,19,20,21,22,23,24,25,26,27,28,29,30,31,32,33,34,35,36,37,38,39,40,41],其中中文文献36篇[5,6,7,8,9,10,11,12,13,14,15,16,17,18,19,21,22,23,24,25,26,27,28,29,30,31,32,33,34,35,36,37,38,39,40,41]、英文文献1篇[20]。
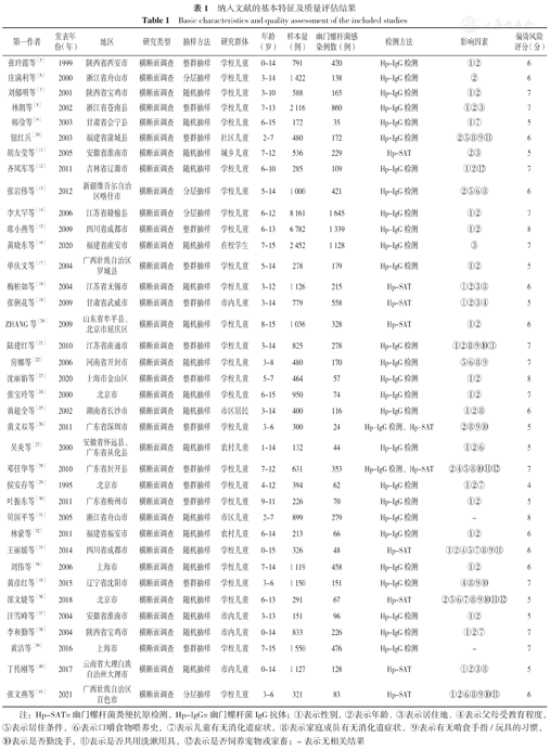
37篇文献来自18个省份,其中13篇[6,8,11,14,18,20,21,23,27,31,34,37,39]来自华东地区(沪、苏、浙、皖、鲁),4篇[20,24,29,36]来自华北地区(京),2篇[12,35]来自东北地区(辽、吉),11篇[10,16,17,22,25,26,27,28,30,32,41]来自中南地区(豫、湘、闽、桂、粤),3篇[15,33,40]来自西南地区(川、滇),6篇[5,7,9,13,19,38]来自西北地区(陕、甘、新);2篇文献[20,27]的调查样本来源于两个不同省份的城市。总样本量为40 786例,其中11 267例儿童感染幽门螺杆菌;纳入文献的样本量最大为8 161例,最小为132例。27篇文献[5,6,7,8,9,12,13,14,15,16,17,18,20,21,22,23,24,26,28,29,30,33,34,35,36,39,41]将采样点设置在幼儿园或者中小学,10篇文献[10,11,19,25,27,31,32,37,38,40]将市内儿童居民作为研究对象;15篇[7,8,12,14,15,16,21,22,23,24,28,31,35,38,39]为高质量文献,22篇[5,6,9,10,11,13,17,18,19,20,25,26,27,29,30,32,33,34,36,37,40,41]为中等质量文献。纳入研究的基本特征和偏倚风险评价结果见表1。

纳入文献的基本特征及质量评估结果
Basic characteristics and quality assessment of the included studies
纳入文献的基本特征及质量评估结果
Basic characteristics and quality assessment of the included studies
| 第一作者 | 发表年份(年) | 地区 | 研究类型 | 抽样方法 | 研究群体 | 年龄(岁) | 样本量(例) | 幽门螺杆菌感染例数(例) | 检测方法 | 影响因素 | 偏倚风险评分(分) |
|---|---|---|---|---|---|---|---|---|---|---|---|
| 张玲霞等[5] | 1999 | 陕西省西安市 | 横断面调查 | 整群抽样 | 学校儿童 | 0~14 | 791 | 420 | Hp-IgG检测 | ①② | 6 |
| 庄满利等[6] | 2000 | 浙江省舟山市 | 横断面调查 | 分层抽样 | 学校儿童 | 3~14 | 1 422 | 138 | Hp-IgG检测 | ② | 6 |
| 刘郁明等[7] | 2001 | 陕西省宝鸡市 | 横断面调查 | 随机抽样 | 学校儿童 | 3~10 | 588 | 165 | Hp-IgG检测 | ①② | 7 |
| 林朗等[8] | 2002 | 浙江省苍南县 | 横断面调查 | 整群抽样 | 学校儿童 | 7~13 | 2 116 | 860 | Hp-IgG检测 | ①②③ | 7 |
| 韩俭等[9] | 2003 | 甘肃省会宁县 | 横断面调查 | 随机抽样 | 学校儿童 | 6~15 | 172 | 35 | Hp-IgG检测 | ①⑦ | 5 |
| 钮红兵[10] | 2003 | 福建省蒲城县 | 横断面调查 | 整群抽样 | 社区儿童 | 2~7 | 480 | 172 | Hp-IgG检测 | ②⑤⑧⑨⑪ | 6 |
| 胡友莹等[11] | 2005 | 安徽省淮南市 | 横断面调查 | 随机抽样 | 城乡儿童 | 7~12 | 536 | 229 | Hp-SAT | ②③ | 5 |
| 齐凤军等[12] | 2011 | 吉林省辽源市 | 横断面调查 | 随机抽样 | 学校儿童 | 6~10 | 285 | 109 | Hp-IgG检测 | ①②⑫ | 7 |
| 张岩伟等[13] | 2012 | 新疆维吾尔自治区喀什市 | 横断面调查 | 分层抽样 | 学校儿童 | 5~14 | 1 000 | 421 | Hp-IgG检测 | ②⑤⑥⑧ | 6 |
| 李大罕等[14] | 2006 | 江苏省赣榆县 | 横断面调查 | 分层抽样 | 学校儿童 | 6~12 | 8 161 | 1 645 | Hp-IgG检测 | ①② | 7 |
| 席小燕等[15] | 2009 | 四川省成都市 | 横断面调查 | 整群抽样 | 学校儿童 | 6~13 | 6 782 | 1 339 | Hp-IgG检测 | ①② | 8 |
| 黄晓东等[16] | 2020 | 福建省南安市 | 横断面调查 | 随机抽样 | 在校学生 | 7~15 | 2 452 | 1 128 | Hp-IgG检测 | ③ | 7 |
| 单庆文等[17] | 2004 | 广西壮族自治区罗城县 | 横断面调查 | 整群抽样 | 学校儿童 | 5~14 | 278 | 179 | Hp-IgG检测 | ①② | 5 |
| 梅柏如等[18] | 2004 | 江苏省无锡市 | 横断面调查 | 随机抽样 | 学校儿童 | 3~12 | 1 126 | 215 | Hp-SAT | ①②③⑧ | 6 |
| 张俐花等[19] | 2009 | 甘肃省武威市 | 横断面调查 | 整群抽样 | 市内儿童 | 3~14 | 779 | 558 | Hp-SAT | ①②③④ | 5 |
| ZHANG等[20] | 2009 | 山东省牟平县、北京市延庆区 | 横断面调查 | 随机抽样 | 学校儿童 | 8~15 | 1 036 | 328 | Hp-SAT | ①② | 6 |
| 陆建红等[21] | 2010 | 江苏省南通市 | 横断面调查 | 整群抽样 | 学校儿童 | 3~14 | 825 | 278 | Hp-IgG检测 | ①②⑧⑨⑩⑪ | 7 |
| 房娜等[22] | 2006 | 河南省开封市 | 横断面调查 | 随机抽样 | 学校儿童 | 3~8 | 480 | 170 | Hp-IgG检测 | ⑤⑥⑧⑨ | 7 |
| 沈丽娟等[23] | 2020 | 上海市金山区 | 横断面调查 | 整群抽样 | 学校儿童 | 5~7 | 464 | 57 | Hp-IgG检测 | ①② | 8 |
| 张宝玲等[24] | 2000 | 北京市 | 横断面调查 | 随机抽样 | 学校儿童 | 6~15 | 950 | 74 | Hp-IgG检测 | ①② | 7 |
| 黄超全等[25] | 2002 | 湖南省长沙市 | 横断面调查 | 随机抽样 | 市区居民 | 3~14 | 400 | 116 | Hp-IgG检测 | ①②⑧ | 6 |
| 黄义双等[26] | 2011 | 广东省深圳市 | 横断面调查 | 整群抽样 | 学校儿童 | 3~6 | 300 | 24 | Hp-IgG检测、Hp-SAT | ②⑧⑨⑩ | 5 |
| 吴炎等[27] | 2000 | 安徽省怀远县、广东省从化县 | 横断面调查 | 随机抽样 | 农村儿童 | 1~14 | 132 | 44 | Hp-IgG检测 | ①②⑥ | 5 |
| 邓任华等[28] | 2010 | 广东省封开县 | 横断面调查 | 整群抽样 | 学校儿童 | 7~12 | 631 | 353 | Hp-IgG检测、Hp-SAT | ②④⑤⑧⑩⑪⑫ | 7 |
| 侯安存等[29] | 1995 | 北京市 | 横断面调查 | 整群抽样 | 学校儿童 | 4~12 | 394 | 62 | Hp-IgG检测 | ①②⑦ | 4 |
| 叶振东等[30] | 2011 | 广东省梅州市 | 横断面调查 | 整群抽样 | 学校儿童 | 9~11 | 226 | 70 | Hp-IgG检测 | ①② | 5 |
| 贝国平等[31] | 2005 | 浙江省舟山市 | 横断面调查 | 随机抽样 | 市区儿童 | 2~7 | 899 | 279 | Hp-IgG检测 | - | 8 |
| 林蒙等[32] | 2011 | 福建省福安市 | 横断面调查 | 随机抽样 | 农村儿童 | 6~14 | 213 | 66 | Hp-IgG检测 | ①② | 6 |
| 王丽媛等[33] | 2014 | 四川省成都市 | 横断面调查 | 随机抽样 | 学校儿童 | 0~15 | 326 | 48 | Hp-SAT | ①②④⑤⑦⑧⑨⑪ | 6 |
| 刘伟等[34] | 2006 | 上海市 | 横断面调查 | 随机抽样 | 学校儿童 | 7~14 | 1 119 | 458 | Hp-IgG检测 | ①② | 6 |
| 黄彦红等[35] | 2015 | 辽宁省沈阳市 | 横断面调查 | 整群抽样 | 学校儿童 | 3~6 | 1 150 | 151 | Hp-IgG检测 | ④⑧⑨⑩ | 7 |
| 郤文婕等[36] | 2018 | 北京市 | 横断面调查 | 随机抽样 | 学校儿童 | 6~13 | 291 | 67 | Hp-SAT | ②⑤⑥⑦⑧⑨⑩⑪⑫ | 5 |
| 汪雪峰等[37] | 2004 | 安徽省淮南市 | 横断面调查 | 随机抽样 | 市内儿童 | 3~13 | 151 | 96 | Hp-IgG检测 | ①② | 5 |
| 李和勤等[38] | 2004 | 陕西省宝鸡市 | 横断面调查 | 随机抽样 | 市内儿童 | 0~14 | 833 | 226 | Hp-IgG检测 | ①②⑦ | 7 |
| 黄洁等[39] | 2016 | 上海市 | 横断面调查 | 整群抽样 | 学校儿童 | 7~15 | 1 550 | 476 | Hp-IgG检测 | - | 7 |
| 丁传刚等[40] | 2017 | 云南省大理白族自治州大理市 | 横断面调查 | 随机抽样 | 市内儿童 | 0~14 | 1 127 | 128 | Hp-SAT | ①②③⑧ | 5 |
| 张文燕等[41] | 2021 | 广西壮族自治区百色市 | 横断面调查 | 分层抽样 | 学校儿童 | 3~6 | 321 | 83 | Hp-SAT | ①②⑥⑧⑨⑩⑪ | 6 |
注:Hp-SAT=幽门螺杆菌粪便抗原检测,Hp-IgG=幽门螺杆菌IgG抗体;①表示性别,②表示年龄,③表示居住地,④表示父母受教育程度,⑤表示居住条件,⑥表示口嚼食物喂养史,⑦表示儿童有无消化道症状,⑧表示家庭成员有无消化道症状,⑨表示有无啃食手指/玩具的习惯,⑩表示是否勤洗手,⑪表示是否共用洗漱用具,⑫表示是否饲养宠物或家畜;-表示无相关结果
异质性检验结果显示I2=99%、P<0.001,故采用随机效应模型进行合并分析。结果显示我国儿童幽门螺杆菌的感染率为30.31%〔95%CI(25.72%,35.10%)〕,见图1。

亚组分析结果显示:不同地理区域、文献发表时间段、检测方法(下)儿童幽门螺杆菌感染率比较,差异有统计学意义(P<0.05),且随着城市经济水平[42]的下降,儿童幽门螺杆菌感染率呈上升趋势(χ2趋势=465.955,P<0.001)。具体来看:地理区域方面,西南地区儿童幽门螺杆菌感染率最低,为15.18%〔95%CI(9.58%,21.79%)〕,西北地区儿童幽门螺杆菌感染率最高,为40.09%〔95%CI(25.74%,55.37%)〕;2010年及以前报告的儿童幽门螺杆菌感染率高于2010年后报告的儿童幽门螺杆菌感染率;基于Hp-IgG检测测算出的儿童幽门螺杆菌感染率比基于Hp-SAT测算出的儿童幽门螺杆菌感染率高,见表2。亚组分析结果提示各亚组间仍具有较大异质性。以儿童幽门螺杆菌感染率为因变量(赋值:原值进入),以地理区域、城市经济水平、文献发表时间、检测方法为自变量,采用单因素Meta回归进一步探索异质性的来源。单因素Meta回归结果显示,城市经济水平对儿童幽门螺杆菌感染率水平有影响(P<0.05),见表3。

中国儿童幽门螺杆菌感染率亚组分析结果
Subgroup analysis of Helicobacter pylori infection prevalence among children in China
中国儿童幽门螺杆菌感染率亚组分析结果
Subgroup analysis of Helicobacter pylori infection prevalence among children in China
| 亚组 | 纳入研究数(篇) | 感染率(95%CI)(%) | 异质性检验结果 | 效应模型 | χ2(χ2趋势)值 | P值 | ||
|---|---|---|---|---|---|---|---|---|
| I2(%) | P值 | |||||||
| 地理区域a | 1 638.437 | <0.001 | ||||||
| 华东 | 13[6,8,11,14,18,20,21,23,27,31,34,37,39] | 31.38(24.66,38.51) | 98.9 | <0.001 | REM | |||
| 华北 | 4[20,24,29,36] | 17.34(8.89,27.85) | 97.0 | <0.001 | REM | |||
| 东北 | 2[12,35] | 24.47(5.02,52.27) | 98.8 | <0.001 | REM | |||
| 中南 | 11[10,16,17,22,25,26,27,28,30,32,41] | 34.78(26.33,43.74) | 97.7 | <0.001 | REM | |||
| 西南 | 3[15,33,40] | 15.18(9.58,21.79) | 96.4 | <0.001 | REM | |||
| 西北 | 6[5,7,9,13,19,38] | 40.09(25.74,55.37) | 99.0 | <0.001 | REM | |||
| 城市经济水平ab | 465.955c | <0.001 | ||||||
| 一类 | 9[20,23,24,26,27,29,34,36,39] | 20.15(14.22,26.82) | 99.0 | <0.001 | REM | |||
| 二类 | 5[5,15,25,33,35] | 26.23(9.18,48.19) | 98.3 | <0.001 | REM | |||
| 三类 | 5[8,14,18,21,32] | 28.51(19.23,38.81) | 99.0 | <0.001 | REM | |||
| 四类 | 20[6,7,9,10,11,12,13,16,17,19,20,22,27,28,30,31,37,38,40,41] | 37.22(29.03,45.78) | 99.3 | <0.001 | REM | |||
| 文献发表时间 | 14.521 | <0.001 | ||||||
| 2010年及以前 | 24[5,6,7,8,9,10,11,14,15,17,18,19,20,21,22,24,25,27,28,29,31,34,37,38] | 33.56(27.74,39.63) | 99.1 | <0.001 | REM | |||
| 2010年以后 | 13[12,13,16,23,26,30,32,33,35,36,39,40,41] | 24.13(16.48,32.71) | 98.8 | <0.001 | REM | |||
| 检测方法d | 4.138 | 0.041 | ||||||
| Hp-IgG检测 | 29[5,6,7,8,9,10,12,13,14,15,16,17,21,22,23,24,25,26,27,28,29,30,31,32,34,35,37,38,39] | 31.04(25.08,35.72) | 99.0 | <0.001 | REM | |||
| Hp-SAT | 10[11,18,19,20,26,28,33,36,40,41] | 26.28(16.33,39.25) | 99.3 | <0.001 | REM | |||

中国儿童幽门螺杆菌感染率影响因素的单因素Meta回归分析
Univariate Meta-regression for Helicobacter pylori infection prevalence among Chinese children
中国儿童幽门螺杆菌感染率影响因素的单因素Meta回归分析
Univariate Meta-regression for Helicobacter pylori infection prevalence among Chinese children
| 自变量 | b(95%CI) | SE | Z值 | P值 | |
|---|---|---|---|---|---|
| 地理区域(以东北为参照) | |||||
| 华东 | 0.08(-0.14,0.29) | 0.11 | 0.716 | 0.303 | |
| 华北 | -0.09(-0.33,0.16) | 0.13 | -0.689 | 0.491 | |
| 中南 | 0.12(-0.10,0.32) | 0.11 | 1.029 | 0.332 | |
| 西南 | -0.12(-0.38,0.14) | 0.13 | -0.884 | 0.376 | |
| 西北 | 0.17(-0.06,0.41) | 0.12 | 1.437 | 0.151 | |
| 城市经济水平(以一类为参照) | |||||
| 二类 | 0.07(-0.12,0.27) | 0.11 | 0.723 | 0.469 | |
| 三类 | 0.10(-0.08,0.28) | 0.09 | 1.060 | 0.289 | |
| 四类 | 0.19(0.06,0.32) | 0.07 | 2.915 | 0.003 | |
| 文献发表时间(年,以≤2010为参照) | |||||
| >2010 | -0.10(-0.21,0.01) | 0.06 | -1.843 | 0.065 | |
| 检测方法(以Hp-SAT为参照) | |||||
| 血清Hp-IgG检测 | 0.05(-0.07,0.15) | 0.06 | 0.825 | 0.384 | |
采用逐一剔除单个研究的方法进行敏感性分析,结果显示儿童幽门螺杆菌感染率为29.00%~31.00%,与30.31%相较,无明显改变,提示Meta分析结果的稳定性较好,见图2。


Meta分析结果显示:居住地为城市〔OR(95%CI)=0.63(0.56,0.71)〕、勤洗手〔OR(95%CI)=0.36(0.18,0.69)〕是儿童感染幽门螺杆菌的保护因素(P<0.05);较差的居住条件〔OR(95%CI)=1.47(1.09,2.00)〕、口嚼食物喂养史〔OR(95%CI)=2.88(1.80,4.60)〕、儿童有消化道症状〔OR(95%CI)=1.56(1.01,2.43)〕、家庭成员有消化道症状〔OR(95%CI)=2.23(1.68,2.98)〕、有啃食手指/玩具的习惯〔OR(95%CI)=3.64(2.10,6.32)〕、共用洗漱用具〔OR(95%CI)=2.54(2.54,5.73)〕是儿童感染幽门螺杆菌的危险因素(P<0.05);尚不能认为性别、父母受教育程度、饲养宠物或家畜对儿童感染幽门螺杆菌有影响(P>0.05),见表4。因不同研究在进行儿童感染幽门螺杆菌影响因素的Logistic回归分析时,对年龄这一变量所采用的赋值方式存在较大差异(如原值进入、二分类、有序多分类),故未能对年龄这一变量进行Meta分析,采用趋势χ2检验分析儿童感染幽门螺杆菌感染率随年龄的变化趋势。结果显示:11~15岁儿童幽门螺杆菌感染率最高,为35.31%〔95%CI(29.43%,41.67%)〕,4~5岁儿童幽门螺杆菌感染率最低,为15.69%〔95%CI(10.10%,23.57%)〕,儿童幽门螺杆菌感染率随着其年龄增长呈上升趋势(χ2趋势=416.923,P<0.001),见表5。

中国儿童幽门螺杆菌感染影响因素的Meta分析
Meta-analysis of associated risk factors for Helicobacter pylori infection among Chinese children
中国儿童幽门螺杆菌感染影响因素的Meta分析
Meta-analysis of associated risk factors for Helicobacter pylori infection among Chinese children
| 项目 | 纳入研究数(篇) | 异质性检验结果 | 效应模型 | OR (95%CI) | Z值 | P值 | |
|---|---|---|---|---|---|---|---|
| I2(%) | P值 | ||||||
| 性别 | 25[5,7,8,9,12,14,15,17,18,19,20,21,23,24,25,27,29,30,32,33,34,37,38,40,41] | 62.5% | <0.001 | REM | 1.02(0.92,1.15) | 0.514 | 0.607 |
| 居住地 | 6[8,11,16,18,19,40] | 0 | 0.755 | FEM | 0.63(0.56,0.71) | -7.460 | <0.001 |
| 父母受教育程度 | 4[19,28,33,35] | 78.9% | 0.003 | REM | 1.45(0.94,2.22) | 1.679 | 0.094 |
| 居住条件 | 6[10,13,22,28,33,36] | 64.7% | 0.015 | REM | 1.47(1.09,2.00) | 2.493 | 0.013 |
| 口嚼食物喂养史 | 5[13,22,27,36,41] | 70.5% | <0.001 | REM | 2.88(1.80,4.60) | 4.411 | <0.001 |
| 有无消化道症状 | 5[9,29,33,36,38] | 53.3% | 0.073 | REM | 1.56(1.01,2.43) | 1.977 | 0.049 |
| 家庭成员有无消化道症状 | 13[10,13,18,21,22,25,26,28,33,35,36,40,41] | 74.9% | <0.001 | REM | 2.23(1.68,2.98) | 5.952 | <0.001 |
| 有无啃食手指/玩具的习惯 | 8[10,21,22,26,33,35,36,41] | 89.2% | <0.001 | REM | 3.64(2.10,6.32) | 4.587 | <0.001 |
| 是否勤洗手 | 6[21,26,28,35,36,41] | 89.1% | <0.001 | REM | 0.36(0.18,0.69) | -3.049 | 0.002 |
| 是否共用洗漱用具 | 6[10,21,28,33,36,41] | 93.5% | <0.001 | REM | 2.54(2.54,5.73) | 2.439 | 0.015 |
| 是否饲养宠物或家畜 | 3[12,28,36] | 84.7% | <0.001 | REM | 1.13(0.68,1.87) | 0.476 | 0.635 |
注:FEM=固定效应模型;性别以女为参照,居住地以农村为参照,父母受教育程度以高为参照,居住条件以好为参照,口嚼食物喂养史以无为参照,有无消化道症状以无为参照,家庭成员有无消化道症状以无为参照,有无啃食手指/玩具的习惯以无为参照,是否勤洗手以否为参照,是否共用洗漱用具以否为参照,是否饲养宠物或家畜以否为参照

不同年龄段儿童幽门螺杆菌感染率的Meta分析结果
Results of meta-analysis of Helicobacter pylori prevalence in Chinese children by age group
不同年龄段儿童幽门螺杆菌感染率的Meta分析结果
Results of meta-analysis of Helicobacter pylori prevalence in Chinese children by age group
| 年龄(岁) | 纳入研究数(篇) | 异质性检验结果 | 效应模型 | 感染率(95%CI)(%) | χ2趋势值 | P值 | |
|---|---|---|---|---|---|---|---|
| I2(%) | P值 | ||||||
| ≤3 | 6[5,10,27,33,38,40] | 96.4 | <0.001 | REM | 15.89(5.59,37.60) | 416.923 | <0.001 |
| 4~5 | 15[6,7,10,17,18,19,21,23,25,29,33,35,37,38,41] | 95.8 | <0.001 | REM | 15.69(10.10,23.57) | ||
| 6~10 | 29[5,6,7,8,9,11,12,13,14,15,17,18,19,20,21,24,25,27,28,29,30,32,33,34,36,37,38,40,41] | 97.0 | <0.001 | REM | 28.29(24.11,32.66) | ||
| 11~15 | 23[5,8,11,13,14,15,16,17,18,19,20,21,24,25,27,29,32,33,34,36,37,38,40] | 97.3 | <0.001 | REM | 35.31(29.43,41.67) | ||
对儿童幽门螺杆菌感染率,以及儿童幽门螺杆菌感染影响因素的OR及其95%CI进行合并时,均进行了Egger's检验,检验结果显示上述结局指标均不存在发表偏倚。其中对儿童幽门螺杆菌感染率进行的Egger's检验结果显示:t=1.703,P=0.097。
幽门螺杆菌是威胁人类健康的主要病原体之一,被世界卫生组织列为一类致癌物[43]。研究表明幽门螺杆菌感染大多发生在儿童时期,≤5岁儿童更易受不良生活环境和生活方式的影响而发生感染。儿童期是个体生长发育的关键阶段[44],在这一阶段感染幽门螺杆菌可能会使个体出现生长发育障碍[45,46,47]。且由于儿童群体的特殊性,其感染幽门螺杆菌后,可供其选择的治疗方法有限;再加上儿童服药依从性差,这也易导致治疗失败,并使幽门螺杆菌的耐药性增强,最终影响药物治疗的效果。因此,科学管理、预防幽门螺杆菌感染对于儿童至关重要。
Meta分析结果显示,我国儿童幽门螺杆菌的感染率为30.31%,且随着儿童年龄的增长呈上升趋势,这与李兴川等[48]的研究结果相一致。其研究结果显示,我国自然儿童及青少年幽门螺杆菌的感染率为29%,其中2~5岁儿童的感染率为8%,6~10岁儿童的感染率为19%,11~15岁儿童的感染率为26%。本研究不同年龄段儿童的幽门螺杆菌感染率与SHU等[49]的研究结果接近,其研究结果显示,2007—2014年我国儿童幽门螺杆菌的感染率为19%,3~7岁儿童的感染率约为15%,7~11岁儿童的感染率约为20%,12~17岁儿童的感染率约为26%。但是这两个研究采用的幽门螺杆菌感染检测方法均为尿素呼气试验(UBT)。13C-或14C-UBT被认为是非侵入性诊断幽门螺杆菌感染的"金标准"[50]。该方法已被证明在成人幽门螺杆菌感染诊断中具有较高的灵敏度和特异度,但其在儿童群体中的适用性不足。究其原因,可能与为成人研制和开发的用于避免口腔细菌产生的尿素酶干扰检测结果的尿素胶囊在婴儿和幼儿中的应用效果欠佳有关。同时,受人体特征及年龄的影响,体质量较轻、身高较矮的儿童CO2产生量较低,这也易导致检测结果出现假阴性。本研究所涉及的Hp-SAT、Hp-IgG检测两种检测方法的准确性相近,且是用于有效诊断儿童幽门螺杆菌感染的无创性手段,灵敏度和特异度均可达80%以上[51,52]。因此,本研究中的儿童幽门螺杆菌感染率Meta分析结果更能真实反映我国儿童幽门螺杆菌感染现状。
亚组分析结果显示,不同地理区域、文献发表时间段、检测方法(下)儿童幽门螺杆菌感染率比较,差异有统计学意义,且随着城市经济水平的下降,儿童幽门螺杆菌感染率呈上升趋势。虽然不同地理区域儿童幽门螺杆菌感染率比较,差异有统计学意义,但是感染率的分布无规律,这可能是因为本研究纳入文献的发表时间跨度较大,且针对部分地区儿童幽门螺杆菌感染状况的研究尚不充分,故结果可能无法反映部分地区儿童幽门螺杆菌感染率的真实水平。从文献发表时间上来看,2010年后我国儿童幽门螺杆菌感染率较2010年及以前明显下降,这可能与我国近年来经济快速发展、卫生条件及居民生活条件得到明显改善有关。从检测方法上看,虽然基于Hp-IgG检测测算出的儿童幽门螺杆菌感染率比基于Hp-SAT测算出的结果高,但本研究未将不同检测方法下儿童幽门螺杆菌感染率按年龄、地理位置、城市经济水平、文献发表时间等因素进行分层分析,故统计学差异的产生也可能与儿童群体本身特征有关,而并非是因为两种检测方法间存在较大的异质性。从城市经济水平上看,城市经济水平越高,儿童幽门螺杆菌感染率越低。城市经济水平越高,城市卫生状况、居民生活条件越好,对健康教育的重视程度越高,进而更有利于儿童幽门螺杆菌感染的预防。影响因素Meta分析结果显示,居住地为城市、勤洗手是儿童感染幽门螺杆菌的保护因素;较差的居住条件、口嚼食物喂养史、有啃食手指/玩具的习惯、共用洗漱用具、儿童有消化道症状、家庭成员有消化道症状是儿童感染幽门螺杆菌的危险因素。幽门螺杆菌在人群中的主要传播途径为粪-口传播或口-口传播,在良好的居住环境、卫生条件下,儿童可以便捷地获得干净的水和食物,这将有助于预防儿童幽门螺杆菌感染的发生,而不良的生活习惯,如口嚼食物喂养、啃食手指/玩具、共用洗漱用具,则增加了儿童通过粪-口或者口-口途径感染幽门螺杆菌的风险。
本研究也存在一定的局限性和不足之处。首先,由于本研究纳入的文献均为横断面调查研究,信息偏倚是其难以避免的一种偏倚;受调查地点、抽样方法、样本年龄构成等因素的影响,研究间的异质性较大。其次,目前用于检测儿童幽门螺杆菌感染的方法较多,常用的方法以非侵入性试验为主,主要包括UBT、Hp-SAT、Hp-IgG检测及聚合酶链反应(PCR)检测等。考虑到不同方法在检测灵敏度与特异度上存在较大差异、基于不同检测方法得到的研究结果难以进行合并分析,为了纳入更多的文献、保证Meta分析结果能较为全面地反映我国儿童幽门螺杆菌的感染率,本研究选择了检测灵敏度和特异度差异小、准确性较为接近的Hp-IgG检测和Hp-SAT作为检测方法[53]。但不同检测方法间始终存在着差异,这也导致了不同检测方法下儿童幽门螺杆菌合并感染率存在差异。再次,由于纳入的大部分文献采用的是整群抽样方法,各研究在样本年龄构成方面有较大差异,这也是造成研究间异质性较大的原因之一。最后,为了保证纳入的研究具有较好的代表性,本文纳入研究的调查对象均为来自学校和社区的儿童,这样的筛选标准有助于减少选择偏倚,但难免导致将医院、妇幼保健院等作为研究场所的高质量文献被排除。
综上,目前我国儿童幽门螺杆菌感染率约为30.31%,且随着儿童年龄的增长,幽门螺杆菌的感染率逐渐上升,其中4~5岁儿童的感染率最低,为15.69%,11~15岁儿童的感染率最高,约为35.00%。农村和经济发展较为滞后地区的儿童及个人或家庭成员卫生习惯不良的儿童感染幽门螺杆菌的危险性更大。应加强对此类(地区)儿童的幽门螺杆菌感染筛查工作,同时也应积极宣传口嚼食物喂养、共用洗漱用具、儿童啃食手指/玩具等因素对儿童感染幽门螺杆菌的影响,以及改善居住环境、勤洗手对儿童的保护作用。
本文无利益冲突。





















