
随着全球人口老龄化日益加剧,肌少症的发病率持续上升,预计到21世纪中叶全球将约有2亿肌少症患者。原发性高血压与肌少症均是老年人的常见病,而目前国内关于原发性高血压与肌少症相关性的研究相对较少。
了解中老年原发性高血压患者肌少症的患病率,明确原发性高血压患者发生肌少症的危险因素,为中老年原发性高血压患者肌少症的二级预防和早期干预提供参考依据。
收集2020年12月至2021年12月在云南省第一人民医院老年医学科住院的≥50岁原发性高血压患者107例,收集患者的一般资料、肌少症诊断指标、实验室指标,采用简易营养评估量表(MNA-SF)对患者进行营养评估。根据2019年亚洲肌少症工作组(AWGS)诊断标准,将患者分为肌少症组和非肌少症组。采用二元Logistic回归分析探讨原发性高血压患者发生肌少症的影响因素。绘制受试者工作特征(ROC)曲线探讨体质指数(BMI)对原发性高血压患者发生肌少症的预测价值。
107例患者中,肌少症组53例(49.5%),非肌少症组54例(50.5%)。体形消瘦者、体质量正常者、超重者、肥胖者肌少症检出率分别为83.3%(5/6)、64.2%(34/53)、30.0%(12/40)、25.0%(2/8),随着BMI等级增加,肌少症检出率降低(χ2趋势=15.027,P=0.001)。二元Logistic回归分析结果显示,女性〔OR=0.175,95%CI(0.059,0.518)〕、超重〔OR=0.039,95%CI(0.003,0.513)〕、肥胖〔OR=0.019,95%CI(0.001,0.459)〕、MNA-SF评分升高〔OR=0.832,95%CI(0.697,0.992)〕、25-羟维生素D〔25-(OH)D〕水平升高〔OR=0.914,95%CI(0.843,0.991)〕是原发性高血压患者发生肌少症的保护因素(P<0.05),高龄〔OR=1.139,95%CI(1.073,1.209)〕、收缩压升高〔OR=1.038,95%CI(1.001,1.076)〕、舒张压升高〔OR=1.095,95%CI(1.035,1.159)〕是原发性高血压患者发生肌少症的危险因素(P<0.05)。BMI预测原发性高血压患者发生肌少症的ROC曲线下面积为0.749〔95%CI(0.656,0.843)〕,最佳截断值为22.0 kg/m2,灵敏度为52.8%,特异度为88.9%。
中老年原发性高血压患者肌少症患病率高。高龄、较高的收缩压及舒张压是肌少症的危险因素,女性、超重、肥胖、较高的维生素D、营养良好是肌少症的保护因素。BMI对原发性高血压患者发生肌少症有很好的预测价值。
本刊2022年版权归中国全科医学杂志社所有
未经编辑部许可,不得任意转载和摘编
本刊所发表作品仅为作者观点,并不代表编委会和编辑部意见
如有印装质量问题请向本刊发行部调换
肌少症(Sarcopenia,SAR)是一种与年龄相关的老年综合征,表现为肌肉质量减少、肌力下降、身体机能减退[1]。临床上会表现为肢体纤细无力、步态缓慢、步态不稳,易出现跌倒、骨折,甚至造成残疾、死亡。从40岁以后,肌肉质量以平均每年8%的速度流失[2]。60~70岁的欧洲人群SAR患病率为13%,80岁以后可达到50%左右[3]。中国的老年人群中,每年有接近4000万人因SAR导致跌倒并出现严重损伤[4]。原发性高血压(essential hypertension,EH)是常见的慢性病之一,主要表现为体循环动脉压升高。EH与SAR是老年人的常见疾病。SAR发病机制包括增龄、营养不良、运动减少、维生素D缺乏、胰岛素抵抗、慢性炎症、线粒体功能失调与氧化应激、肾素-血管紧张素-醛固酮系统(renin-angiotensin aldosterone system,RAAS)的激活等。这些病理状态也与EH的发病有关。尽管公众对EH有了很多认识,但是EH合并SAR给患者带来的体成分改变及日常生活的影响并没有引起公众足够的认识。本研究目的是了解SAR在中老年EH患者中的患病率,探索二者的相关性,明确EH患者发生SAR的危险因素,为中老年EH患者发生SAR的二级预防和早期干预提供参考依据。
收集2020年12月至2021年12月在云南省第一人民医院老年医学科住院的≥50岁EH患者107例,其中男62例(58.0%),女45例(42.0%);年龄50~96岁,平均年龄(73.5±11.0)岁,<60岁13例(12.2%),60~75岁46例(43.0%),>75岁48例(44.8%)。根据EH患者是否合并SAR,将其分为SAR组和非SAR组。本研究经云南省第一人民医院伦理委员会批准(KMUST-MEC-151),患者均签署知情同意书。
(1)符合EH的诊断标准[5];(2)≥50岁;(3)能够正确表达自己的感受和意愿;(4)病历资料完整。
(1)<50岁;(2)近3个月内使用过影响体成分的药物(如营养制剂、维生素D、钙磷制剂等);(3)严重肝肾功能不全、恶性肿瘤、慢性消化道疾病、严重感染性疾病;(4)认知功能障碍、生活不能自理;(5)肢体残疾、躯体活动障碍;(6)临床病历资料不完善,依从性差、不愿进行配合的患者或家属。
收集患者的年龄、性别、身高、体质量、体质指数(BMI)、收缩压(SBP)、舒张压(DBP)(SBP和DBP为24 h动态血压平均值)、高血压病程、吸烟(吸烟≥1支/d,并且连续或累计吸烟6个月以上[6])、饮酒(饮酒>1次/周,并且连续或累计饮酒6个月以上[7]),既往是否有糖尿病、冠心病、慢性阻塞性肺疾病(COPD)、骨质疏松等。
采用简易营养评估量表(MNA-SF)[8]对患者进行营养评估,该量表通过询问患者的方式完成。该量表包括18个条目,分别是:近3个月的体质量、BMI、有无应激或急性疾病、活动能力、神经精神问题(痴呆症或抑郁症)、近3个月有无饮食量减少,是否能独立生活、每天是否服用3种以上药物、身体是否有压痛或溃疡、每天用餐次数、摄入蛋白类食物的种数、是否每餐吃水果、每天饮水量、进食情况、自我营养评价、与同龄人相比自己的营养状况、上臂围、小腿围。总分≥24分为营养良好,<24分为营养不良。
肌量测定:RGZ-120美国GE公司Lunar Prodigy公司生产的双能X线骨密度仪(Dual X-ray Absorptiometry,DXA)测定所有患者的四肢骨骼肌肉质量,再计算四肢骨骼肌质量指数(ASMI),ASMI=四肢肌肉质量(kg)/身高2(m2)。肌力测量:采用机械握力计(Jamar® Hydraulic Hand Dynamometer,美国)测量所有患者的握力。标准化握力测量姿势[9]:受试者取坐位,屈膝90°,肩内收中立位,肘部弯曲90°,大臂与胸平贴,小臂处于中立位,手腕伸展0~30°,并保持0~15°尺偏,左右臂握力连续测量3次,取6次试验的最大握力值为测定结果,以kg为单位,精确到0.1 kg。步速测量:要求受试者以平常步速直线步行6 m,步行2次,用秒表记录步行时间,取两次步行时间的平均值,并尽可能不借助拐杖和其他工具,计算步速,以m/s为单位。根据2019年亚洲肌少症工作组(Asian Working Group for Sarcopenia,AWGS)的诊断标准[1],诊断标准为骨骼肌质量减少且握力或肌肉功能降低。如果满足以下3个条件中的(1)(2)或(1)(3),则可以诊断SAR:(1)男性ASMI<7.0 kg/m2;女性ASMI<5.4 kg/m2认为存在肌肉质量减少;(2)男性握力<28 kg,女性握力<18 kg,则认为存在握力低下;(3)6 m步行速度<1.0 m/s认为存在步速低下。
要求患者空腹至少8 h,第二天6:00选取肘正中静脉抽血,在验血前1 d,患者禁止饮酒,并且饮食清淡,利用"湘仪"L1550自动分析仪,检测相关指标。淋巴细胞计数、血红蛋白(hemoglobin,HGB)采用仪器法检测,总胆固醇(total cholesterol,TC)采用胆固醇氧化酶法检测,三酰甘油(triacylglycerol,TG)采用去游离甘油法检测,高密度脂蛋白胆固醇(high-density lipoprotein cholesterol,HDL-C)及低密度脂蛋白胆固醇(low-density lipoprotein cholesterol,LDL-C)采用清除法检测,血清白蛋白(albumin,ALB)采用溴甲酚绿法检测,血肌酐(serum creatinine,Scr)和25-羟维生素D〔25-hydroxyvitamin D,25-(OH)D〕采用酶法检测。
SPSS 25.0统计软件用于数据分析。符合正态分布的计量资料采用(
±s)表示,两组间比较采用独立样本t检验;非正态分布的计量资料以M(P25,P75)表示,两组间比较采用Mann-Whitney U检验;计数资料的分析采用χ2检验或趋势χ2检验;采用二元Logistic回归分析探讨EH患者发生SAR的影响因素;绘制BMI预测EH患者发生SAR的受试者工作特征(ROC)曲线。以P<0.05为差异有统计学意义。
107例患者中,SAR组53例,非SAR组54例。两组高血压病程、吸烟所占比例、饮酒所占比例、糖尿病患病率、冠心病患病率比较,差异均无统计学意义(P>0.05);SAR组性别、年龄、BMI、COPD患病率、骨质疏松患病率比较,差异均有统计学意义(P<0.05),见表1。

两组患者一般资料比较
Comparison of general data between middle-aged and elderly essential hypertension patients with and without sarcopenia
两组患者一般资料比较
Comparison of general data between middle-aged and elderly essential hypertension patients with and without sarcopenia
| 组别 | 例数 | 性别〔n(%)〕 | 年龄( ±s,岁) | 年龄〔n(%)〕 | 高血压病程〔n(%)〕 | BMI( ±s,kg/m2) | ||||
|---|---|---|---|---|---|---|---|---|---|---|
| 男 | 女 | <60岁 | 60~75岁 | >75岁 | <10年 | ≥10年 | ||||
| SAR组 | 53 | 37(59.7) | 16(35.6) | 78.5±10.1 | 2(15.4) | 19(41.3) | 32(66.7) | 22(44.0) | 31(54.4) | 22.0±3.1 |
| 非SAR组 | 54 | 25(40.3) | 29(64.4) | 68.5±9.6 | 11(84.6) | 27(58.7) | 16(33.3) | 28(56.0) | 26(45.6) | 24.6±2.3 |
| χ2(t)值 | 6.069 | 5.237a | 12.947 | -1.630 | 4.773a | |||||
| P值 | 0.014 | <0.001 | 0.002 | 0.103 | 0.001 | |||||
| 组别 | 吸烟〔n(%)〕 | 饮酒〔n(%)〕 | 糖尿病〔n(%)〕 | 冠心病〔n(%)〕 | COPD〔n(%)〕 | 骨质疏松〔n(%)〕 | ||||||
|---|---|---|---|---|---|---|---|---|---|---|---|---|
| 有 | 无 | 有 | 无 | 有 | 无 | 有 | 无 | 有 | 无 | 有 | 无 | |
| SAR组 | 18(54.5) | 35(47.3) | 10(40.0) | 43(52.4) | 19(57.6) | 34(45.9) | 13(54.2) | 40(48.2) | 20(66.7) | 33(42.9) | 22(71.0) | 31(40.8) |
| 非SAR组 | 15(45.5) | 39(52.7) | 15(60.0) | 39(47.6) | 14(42.4) | 40(51.4) | 11(45.8) | 13(51.8) | 10(33.3) | 44(57.1) | 9(29.0) | 45(59.2) |
| χ2(t)值 | 0.480 | 1.186 | 1.235 | 0.266 | 4.896 | 8.022 | ||||||
| P值 | 0.489 | 0.276 | 0.266 | 0.606 | 0.027 | 0.005 | ||||||
注:a为t值;SAR=肌少症,BMI=体质指数,COPD=慢性阻塞性肺疾病
根据患者BMI,将EH患者分为体形消瘦(BMI:<18.5 kg/m2,n=6)、体质量正常(BMI:18.5~23.9 kg/m2,n=53)、超重(BMI:24.0~27.9 kg/m2,n=40)、肥胖(BMI≥28 kg/m2,n=8)。体形消瘦者、体质量正常者、超重者、肥胖者SAR检出率分别为83.3%(5/6)、64.2%(34/53)、30.0%(12/40)、25.0%(2/8),随着BMI等级增加,SAR检出率降低(χ2趋势=15.027,P=0.001)。
两组全身T值、淋巴细胞计数、HGB、TC、HDL-C、LDL-C比较,差异均无统计学意义(P>0.05)。SAR组SBP、DBP、Scr高于非SAR组,MNA-SF评分、握力、小腿围、步速、上肢肌肉质量、下肢肌肉质量、ASMI、TG、ALB、25-(OH)D低于非SAR组,差异均有统计学意义(P<0.05),见表2。

两组患者血压、营养评分、SAR诊断指标、实验室指标比较
Comparison of blood pressure,nutritional status assessed by the MNA-SF,diagnostic indices of sarcopenia and laboratory indices between middle-aged and elderly essential hypertension patients with and without sarcopenia
两组患者血压、营养评分、SAR诊断指标、实验室指标比较
Comparison of blood pressure,nutritional status assessed by the MNA-SF,diagnostic indices of sarcopenia and laboratory indices between middle-aged and elderly essential hypertension patients with and without sarcopenia
| 组别 | 例数 | SBP(mm Hg) | DBP(mm Hg) | MNA-SF评分〔M(P25,P75),分〕 | 握力〔M(P25,P75),kg〕 | 小腿围(cm) | 步速〔M(P25,P75),m/s〕 |
|---|---|---|---|---|---|---|---|
| SAR组 | 53 | 158±16 | 94±11 | 23.50(19.50,25.75) | 33.00(30.75,34.75) | 32.12±4.03 | 0.80(0.62,1.10) |
| 非SAR组 | 54 | 144±17 | 82±11 | 27.00(25.50,27.50) | 34.50(33.00,36.00) | 34.46±2.51 | 0.94(0.79,1.10) |
| Z(t)值 | -4.700a | -5.718a | -5.062 | 2.247 | -3.075a | -2.139 | |
| P值 | <0.001 | <0.001 | <0.001 | 0.027 | 0.002 | 0.032 |
| 组别 | 上肢肌肉质量〔M(P25,P75),kg〕 | 下肢肌肉质量〔M(P25,P75),kg〕 | 全身T值 | ASMI(kg/m2) | 淋巴细胞计数(×109/L) | HGB(g/L) | TC〔M(P25,P75),mmol/L〕 |
|---|---|---|---|---|---|---|---|
| SAR组 | 4.26(3.15,4.69) | 11.88(9.37,13.59) | 0.61±1.53 | 5.77±0.81 | 1.74±0.54 | 139.75±15.50 | 4.12(3.47,4.84) |
| 非SAR组 | 4.38(3.81,5.88) | 12.78(10.94,15.98) | 0.47±1.17 | 6.93±0.94 | 1.82±0.57 | 143.33±13.80 | 4.49(3.87,5.30) |
| Z(t)值 | -2.798 | -3.171 | 0.528a | 6.831a | 0.777a | 1.264a | -1.957 |
| P值 | 0.005 | 0.002 | 0.598 | <0.001 | 0.439 | 0.209 | 0.050 |
| 组别 | TG〔M(P25,P75),mmol/L〕 | HDL-C〔M(P25,P75),mmol/L〕 | LDL-C〔M(P25,P75),mmol/L〕 | ALB〔M(P25,P75),g/L〕 | Scr〔M(P25,P75),μmol/L〕 | 25-(OH)D(μg/L) |
|---|---|---|---|---|---|---|
| SAR组 | 1.17(0.83,1.58) | 1.17(0.97,1.36) | 2.46(1.74,2.91) | 38.70(35.35,42.50) | 81.00(68.00,93.00) | 20.24±6.18 |
| 非SAR组 | 1.38(1.06,1.88) | 1.16(0.98,1.35) | 2.64(1.96,3.12) | 41.95(39.20,44.60) | 70.50(58.00,82.00) | 24.92±7.69 |
| Z(t)值 | -2.109 | -0.106 | -1.520 | -3.169 | -2.967 | 3.464a |
| P值 | 0.035 | 0.916 | 0.128 | 0.002 | 0.003 | 0.001 |
注:a为t值;SBP=收缩压,DBP=舒张压,MNA-SF=简易营养评估量表,ASMI=四肢骨骼肌质量指数,HGB=血红蛋白,TC=总胆固醇,TG=三酰甘油,HDL-C=高密度脂蛋白胆固醇,LDL-C=低密度脂蛋白胆固醇,ALB=白蛋白,Scr=血肌酐,25-(OH)D=25-羟维生素D;1 mm Hg=0.133 kPa
以是否发生SAR为因变量(赋值:否=0,是=1),以单因素分析差异有统计学意义(P<0.05)的变量,即性别(赋值:男=1,女=2)、年龄、BMI(赋值:体形消瘦=1,体质量正常=2,超重=3,肥胖=4)、COPD(赋值:无=0,有=1)、骨质疏松(赋值:无=0,有=1)、SBP、DBP、MNA-SF评分、TG、ALB、Scr、25-(OH)D为自变量(其他变量赋值为实测值)纳入二元Logistic回归模型,结果显示,女性、超重、肥胖、MNA-SF评分升高、25-(OH)D水平升高是EH患者发生SAR的保护因素(P<0.05);高龄、SBP升高、DBP升高是EH患者发生SAR的危险因素(P<0.05),见表3、表4。

人口学特征对EH患者发生SAR影响的二元Logistic回归分析
Binary Logistic analysis of the association of demographic characteristics with sarcopenia in middle-aged and elderly essential hypertension patients
人口学特征对EH患者发生SAR影响的二元Logistic回归分析
Binary Logistic analysis of the association of demographic characteristics with sarcopenia in middle-aged and elderly essential hypertension patients
| 指标 | β | SE | Wald χ2值 | P值 | OR | 95%CI | |
|---|---|---|---|---|---|---|---|
| 性别 | |||||||
| 女 | -1.742 | 0.553 | 9.906 | 0.002 | 0.175 | (0.059,0.518) | |
| 年龄 | 0.130 | 0.030 | 18.188 | <0.001 | 1.139 | (1.073,1.209) | |
| BMI | |||||||
| 体质量正常 | -1.185 | 1.248 | 0.902 | 0.342 | 0.306 | (0.026,3.528) | |
| 超重 | -3.243 | 1.314 | 6.088 | 0.014 | 0.039 | (0.003,0.513) | |
| 肥胖 | -3.971 | 1.629 | 5.947 | 0.015 | 0.019 | (0.001,0.459) | |

合并慢性病、血压、MNA-SF评分、实验室指标对EH患者发生SAR影响的二元Logistic回归分析
Binary Logistic analysis of the association of chronic diseases,blood pressure,MNA-SF score and laboratory indicators with sarcopenia in middle-aged and elderly essential hypertension patients
合并慢性病、血压、MNA-SF评分、实验室指标对EH患者发生SAR影响的二元Logistic回归分析
Binary Logistic analysis of the association of chronic diseases,blood pressure,MNA-SF score and laboratory indicators with sarcopenia in middle-aged and elderly essential hypertension patients
| 指标 | β | SE | Wald χ2值 | P值 | OR | 95%CI | |
|---|---|---|---|---|---|---|---|
| COPD | |||||||
| 校正前 | 0.981 | 0.451 | 4.738 | 0.029 | 2.667 | (1.103,6.449) | |
| 校正后 | -0.077 | 0.633 | 0.015 | 0.904 | 0.926 | (0.268,3.202) | |
| 骨质疏松 | |||||||
| 校正前 | 1.266 | 0.459 | 7.600 | 0.006 | 3.548 | (1.442,8.731) | |
| 校正后 | 0.851 | 0.641 | 1.763 | 0.184 | 2.342 | (0.667,8.230) | |
| SBP | |||||||
| 校正前 | 0.048 | 0.013 | 13.376 | <0.001 | 1.049 | (1.023,1.077) | |
| 校正后 | 0.037 | 0.019 | 3.955 | 0.047 | 1.038 | (1.001,1.076) | |
| DBP | |||||||
| 校正前 | 0.102 | 0.023 | 20.156 | <0.001 | 1.107 | (1.059,1.157) | |
| 校正后 | 0.091 | 0.029 | 9.844 | 0.002 | 1.095 | (1.035,1.159) | |
| MNA-SF评分 | |||||||
| 校正前 | -0.299 | 0.072 | 17.192 | <0.001 | 0.742 | (0.644,0.854) | |
| 校正后 | -0.184 | 0.031 | 4.200 | 0.040 | 0.832 | (0.697,0.992) | |
| TG | |||||||
| 校正前 | -0.588 | 0.277 | 4.510 | 0.034 | 0.556 | (0.323,0.956) | |
| 校正后 | -0.028 | 0.369 | 0.006 | 0.940 | 0.972 | (0.472,2.002) | |
| ALB | |||||||
| 校正前 | -0.116 | 0.046 | 6.441 | 0.011 | 0.891 | (0.814,0.974) | |
| 校正后 | -0.005 | 0.061 | 0.007 | 0.934 | 0.995 | (0.884,1.120) | |
| Scr | |||||||
| 校正前 | 0.030 | 0.011 | 7.695 | 0.006 | 1.030 | (1.009,1.052) | |
| 校正后 | 0.017 | 0.016 | 1.068 | 0.301 | 1.017 | (0.985,1.049) | |
| 25-(OH)D | |||||||
| 校正前 | -0.095 | 0.030 | 10.108 | 0.001 | 0.909 | (0.857,0.964) | |
| 校正后 | -0.090 | 0.041 | 4.769 | 0.029 | 0.914 | (0.843,0.991) | |
注:校正年龄、性别和BMI
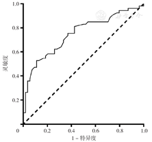
ROC曲线结果显示,BMI预测EH患者发生SAR的曲线下面积为0.749〔95%CI(0.656,0.843)〕,最佳截断值为22.0 kg/m2,灵敏度为52.8%,特异度为88.9%,见图1。


相关研究表明,SAR在老年人群中的患病率为10%~20%[10,11]。对中国香港65岁以上人群的流行病学研究表明,SAR患病率为3.1%[12]。本研究结果显示,SAR检出率为49.5%,高于既往研究结果。然而,在一项国内研究中,高血压患者SAR的患病率为72%[1],明显高于非高血压组的患病率(47.2%),远高于本研究结果。国内外报道的SAR患病率差异很大,且本研究患病率也与既往研究的患病率有明显差异,可能与研究所选择的研究人群、诊断标准及测评工具有关。因此,未来还需要对比其他社区高血压患者SAR患病率,才能更客观、全面了解EH患者SAR的发病情况。
本研究指出年龄是导致SAR发生的独立影响因素。报道指出,年龄增加与高血压患者的肌力下降、活动受限有密切联系[13]。国外有研究发现60岁以上人群中有18%存在SAR,80岁以上人群中有53%存在SAR[14]。高血压也是与增龄相关的疾病。随着年龄增长,高血压患者发生SAR的风险增大,这可能与凋亡信号的激活、被囊细胞的基础功能下降、蛋白质的分解代谢增强、线粒体的功能障碍和自噬功能的初期改变有关,这一系列机制会使肌肉细胞微环境的稳定性被破坏,导致肌纤维合成减少[15,16,17]。
本研究结果发现,男性SAR患病率为59.7%,女性为35.6%,SAR患病率男性明显高于女性,这与国内外既往研究结果一致。这或许与老年男性睾酮水平下降有关,因为雌激素对肌肉含量和功能的影响没有雄激素显著[18]。睾酮可抑制白介素(IL)-1和IL-6的形成,这两种物质对肌肉有分解代谢作用,当睾酮水平下降后对IL-1和IL-6的抑制作用减弱,就会加速肌肉分解,导致肌肉力量、强度及功能均下降。CHENG等[19]则认为,男性肌肉质量随着年龄增长而明显减少的原因可能是女性拥有更多的脂肪组织来保护肌肉。
有文献报道提出,BMI水平低下是SAR发病的危险因素[20,21]。本研究发现,SAR的检出率随BMI等级增加逐渐下降。这可能与中老年高血压患者长期的膳食结构异常导致营养不良有关,尤其是蛋白质食物的摄取量欠缺将会增加肌肉组织的流失,而SAR发病风险之一就是营养不足[22]。CALVANI等[23]认为老年人每天补充优质蛋白质1.0~1.5 g/kg,能够降低SAR的发病率。但泰国有研究报道,BMI过高也可能是SAR的危险因素[24],推测原因可能为BMI越高,肌肉脂肪浸润越严重,肌肉质量越差,使机体处于炎性反应状态,同时性激素、生长激素水平下降,糖皮质激素和儿茶酚胺增加,诱导蛋白分解抑制蛋白合成,从而导致肌肉减少性肥胖的发生。而本研究未得出上述结果。考虑原因可能为本研究所纳入的对象中超重及肥胖人群较少,且以低龄老年人为主,这部分老年人多是因低体质量、营养不良引起的SAR。本研究所纳入的SAR患者上肢及下肢脂肪含量均低于非SAR患者,未见SAR性肥胖,出现上述差异的原因可能与纳入人群的种族、饮食习惯、体质、身体成分等因素有关。有学者提出将BMI作为筛查SAR的指标,并认为可以将23.0 kg/m2、24.3 kg/m2作为诊断老年男性、女性SAR的最佳截断值[25]。本研究通过ROC曲线分析BMI对EH患者发生SAR的预测价值,结果显示BMI预测EH患者发生SAR的曲线下面积为0.749,最佳截断值为22.0 kg/m2,灵敏度为52.8%,特异度为88.9%。因此,监测老年高血压患者的BMI情况有助于早期发现SAR患者,当高血压患者BMI<22.0 kg/m2时要警惕SAR的发生。
本研究Logistic回归分析结果发现,SBP、DBP升高是中老年EH患者发生SAR的危险因素(P<0.05)。线性相关分析表明SBP与握力、6 m步速、上肢肌肉含量、下肢肌肉含量及ASMI值呈负相关,DBP与6 m步速、ASMI呈负相关。HAN等[26]开展的一项横断面研究表明,ASMI与SBP和DBP呈负相关,本研究结论与其一致,说明血压水平对肌肉质量产生负面影响。此外,高血压也会对肌肉功能产生影响。在一项为期2年的纵向研究中,发现高血压与较低的步态有关[27]。同样据报道,高血压与较低的握力有关[28]。HARADA等[29]研究表明,与无SAR的患者相比,合并有SAR的心血管疾病患者具有更高的动脉脉搏速度(AVI)。AVI是反映主动脉到肌肉动脉的僵硬度和外周阻力的重要指标[30,31],动脉僵硬度越高,AVI表现越大。主动脉硬化是高血压的危险因素,高血压会引起骨骼肌血管结构变稀疏,从而影响氧气和营养物质的供应,最终引起肌肉力量、功能和强度的快速下降[32]。
目前大量研究已经证实血清维生素水平低下与SAR的发生密切相关。LIU等[33]对社区500多名50~70岁人群进行的一项调研发现,25-(OH)D越低,四肢骨骼肌质量流失越多。有研究指出25-(OH)D≥20 μg/L组的下肢肌力及活动能力均优于25-(OH)D<20 μg/L组[34]。本研究发现,SAR组患者25-(OH)D水平明显低于非SAR组患者,二元Logistic回归分析表明25-(OH)D水平低下是SAR的独立危险因素。活性维生素D主要通过参与免疫系统功能的调节、骨骼肌细胞增殖分化、肌管调控,从而维持骨骼肌的正常结构和功能[35]。维生素D缺乏将导致钙磷代谢异常,影响骨矿化[35],出现Ⅱ型肌纤维萎缩[36],最终导致肌肉萎缩。适当补充维生素D可改善肌肉组织的线粒体功能,减少氧化应激等对肌肉强度和身体机能的影响[37,38]。
MNA-SF作为筛查老年人营养状况常用的方法之一[8]。研究发现,营养不良的人群中SAR患病率高于正常人群(71.2%与12.3%,P<0.01),且营养不良对握力的影响很大[39]。本研究结果显示,MNA-SF评分升高是EH患者发生SAR的保护因素。SAR患者丧失的最重要的骨骼肌成分就是蛋白质,国内有研究表明,老年人蛋白摄取量越大,测得的肌肉相关指标越好[11]。高血压作为一种慢性疾病,疾病在发展过程会不同程度地消耗能量,导致机体蛋白质合成和分解代谢失衡。在亚洲,患有高血压的消瘦老年人常有潜在的营养不良。老年人营养成分摄入不当和蛋白质补充有限将会导致肌肉组织损耗,并导致SAR的发生。因此应该注重对老年高血压患者进行合理的膳食指导,保证营养摄入均衡。《中国营养学会老年营养分会专家共识》建议老年人蛋白质摄入量应保持在1.0~1.5 g·kg-1·d-1,其中优质蛋白的占比应达到50%[40]。优质蛋白具体来讲是指动物蛋白和乳清蛋白。动物蛋白和乳清蛋白富含亮氨酸和谷氨酰胺,亮氨酸能促进蛋白质快速合成,谷氨酰胺能抑制蛋白快速分解,逆转SAR的发生[41]。SAR患者BMI、MNA-SF评分等与营养状态水平有关的指标均低于非SAR患者,因此除了关注血压水平以外,制定一种针对中老年高血压合并SAR患者营养状况的早期干预策略对于疾病预后尤为重要。
本研究二元Logistic回归分析表明COPD并不是EH患者发生SAR的独立危险因素,虽然在单因素分析中SAR组与非SAR组COPD患病率比较有差异,这可能是由于SAR组年龄高于非SAR组,因此后期在校正了年龄混杂因素后,COPD无意义。还可能是由于本研究中COPD患病与否是基于老年人的自我报告,无法真实体现其患病情况所致。越来越多的基础、临床研究表明肌肉和骨骼,SAR和骨质疏松之间存在较高的相关性,有学者将SAR和骨质疏松症共同出现统称为活动障碍综合征。本研究结果显示,骨质疏松并非SAR的独立影响因素,可能与性别、年龄、BMI存在共线性有关。
综上所述,中老年EH患者SAR的患病率较高,及早对EH患者进行SAR的筛查及干预显得尤为重要。本研究发现血压越高,SAR的发生风险越高,因此未来对于高血压患者除了关注其带来的心脑肾并发症外,还要关注肌肉的流失情况。同时对于有高血压的中老年患者,建议要合理控制体质量,当BMI<22.0 kg/m2时要警惕SAR的发生。本研究也存在一定的局限性:(1)研究对象较少,且均为住院患者,SAR在EH患者中的发病率相对较高,结果可能存在一定偏差,计划在后期扩大样本量,增加对门诊、社区居民的研究,进一步确认本研究结论。(2)本研究仅纳入EH患者,没有与非EH的中老年患者对比,不能完全体现正常血压水平与SAR的关系,今后需再增设健康人群组。
本文无利益冲突。

±s,岁)
±s,kg/m2)



















