
乳腺癌位居全球女性癌因死亡首位,具有发病率高、疾病负担重等特点。
评估1990—2019年中国女性乳腺癌发病率及死亡率的流行变化趋势。
提取《2019年全球疾病负担》数据库中1990—2019年中国≥15岁女性乳腺癌发病及死亡数据,应用年龄-时期-队列的贝叶斯模型对中国1990—2019年女性乳腺癌发病及死亡趋势进行拟合,进一步估计中国女性乳腺癌发病及死亡风险中的年龄效应、时期效应和队列效应。
1990—2019年中国女性乳腺癌粗发病率从14.14/10万升至52.81/10万,粗死亡率从7.22/10万升至13.40/10万。乳腺癌标化发病率总体呈上升趋势(1990年为17.07/10万,2019年为35.61/10万),标化死亡率呈平稳略减趋势(1990年为9.16/10万,2019年为8.98/10万)。年龄-时期-队列模型分析结果显示:所有年龄组女性乳腺癌发病率净漂移值为2.58%〔95%CI(2.34%,2.83%)〕,局部漂移值在65~69岁年龄段达到最高,为3.46%〔95%CI(3.11%,3.80%)〕;死亡率净漂移值为-0.75%〔95%CI(-1.09%,-0.41%)〕,局部漂移值在15~44岁呈平稳趋势,且约60岁之后局部漂移值>0;年龄效应中乳腺癌发病和死亡风险随着年龄增长而增加;以2000—2004年为参考时期,发病风险的时期效应总体呈上升趋势(RR值为0.79~1.47),死亡风险的时期效应总体呈下降趋势(RR值为1.08~0.90);以1955—1959年为对照组,乳腺癌发病风险的队列效应总体上有所升高(RR值为0.27~2.48),乳腺癌死亡风险的队列效应呈先增(RR值为0.78~1.06)后降趋势(RR值为1.06~0.44)。
中国女性1990—2019年乳腺癌发病率和死亡率均呈持续上升趋势,乳腺癌发病和死亡风险的年龄效应和队列效应占主导地位。
本刊2023年版权归中国全科医学杂志社所有
未经编辑部许可,不得任意转载和摘编
本刊所发表作品仅为作者观点,并不代表编委会和编辑部意见
如有印装质量问题请向本刊发行部调换
乳腺癌位居全球女性因癌死因首位,2020年全球乳腺癌标化发病率为47.8/10万,标化死亡率为13.6/10万[1]。乳腺癌不仅可对女性造成严重的身心伤害,而且可给患者、家庭及社会带来沉重的疾病负担。一项疾病负担时间趋势分析结果表明,乳腺癌伤残调整寿命年(disability adjusted life years,DALY)率和潜在减寿年数(potential years of life lost,PYLL)率分别从1990年的248.21/10万、238.60/10万升至2019年的412.49/10万、376.06/10万[2]。目前大多数疾病流行特征相关研究仅对不同时间的年龄别发病率或死亡率等数据进行传统描述分析,无法消除或控制年龄、时期、队列因素之间的交互作用。年龄-时期-队列(age-period-cohort,APC)模型改进了传统疾病描述分析方法,在同时调整年龄、时期和队列等因素的条件下估计人群疾病发病或死亡危险及其变化趋势[3]。基于此,本研究收集1990—2019年中国女性乳腺癌发病和死亡资料,采用APC模型了解乳腺癌随年龄、时期和队列变化的长期趋势,以期减轻乳腺癌带来的疾病负担,为乳腺癌的防治提供科学依据。
本研究数据来自2019年全球疾病负担研究(Global Burden of Disease Study,GBD2019)数据库(http://ghdx.healthdata.org/gbd-results-tool)。该数据库记录了1990—2019年全球195个国家和地区的死因监测、营养与健康调查、死因推断、慢性病及其危险因素监测、文献研究等数据[4],并且对其涵盖的264种疾病和84种危险因素进行了疾病负担评估[5,6]。
本研究提取了GBD2019数据库中有关1990—2019年中国≥15岁女性乳腺癌粗发病率(crude incidence rate,CIR)、粗死亡率(crude mortality rate,CMR)、年龄标化发病率(age-standardized incidence rate,ASIR)与年龄标化死亡率(age-standardized mortality rate,ASMR)等指标,其中标准化数据是以全球年龄标准化人口权重为参照[7]。统计指标具体计算公式如下:


APC模型以Poisson分布为基础[8],在同时调整年龄、时期和队列等因素的条件下估计一定人群中疾病发病或死亡的危险性。本研究采用APC网页分析工具(https://analysistools.cancer.gov/apc/)[9]分析年龄、时期和队列对乳腺癌发病和死亡趋势的影响。通过Excel 2019软件按照网页输入格式要求(5年为一周期,年龄间隔为5岁)整理GBD 1990—2019年中国女性乳腺癌发病及死亡数据,本研究将80~95岁及≥96岁人群进行合并(考虑≥80岁高龄女性人口占比较低且基础疾病较多,对该年龄段女性进行干预效果甚微),统称为≥80岁人群,最终共获得14个年龄组;1990—2019年以连续5年为一个时间段进行划分,共划分为6个时期。出生队列=时期-年龄,出生队列的重叠现象通过取中值加以避免。按照网页要求选取中位年龄、时期和队列作为对照组,年龄对照组=(年龄组数+1)/2,时期对照组=(时期组数+1)/2,队列对照组=时期对照组-年龄对照组+年龄组数,若组数为偶数,设定2个中心组中值较低的组为对照组。
APC模型输出参数包括:净漂移值(net drift),即经非线性时期和队列效应调整后的疾病率对数值的年变化百分比;局部漂移(local drift),即不同年龄组女性疾病率对数值的年变化百分比;年龄偏差系数,即非线性年龄效应,反映某个年龄段内的曲率,描述趋势的局部变化;时期(队列)偏差系数,即非线性时期(队列)效应,反映某个时期(队列)内的曲率;纵向年龄曲线,即时期偏差调整后的纵向以对照队列为参照的年龄别率值,可推断年龄效应对乳腺癌变化趋势的影响;时期(队列)率比,是以选定对照时期(队列)为参照时期(队列)的年龄别率比,可用于推断时期(队列)效应对乳腺癌变化趋势的影响[10]。
采用APC网页分析工具拟合APC模型,通过网页自带的Wald χ2检验进行参数估计,检验水平α=0.05(双侧)。使用Excel 2019软件进行数据整理,结果输出后采用GraphPad Prism 8软件绘图。
乳腺癌的CIR和CMR总体呈持续上升趋势,CIR由1990年的14.14/10万升至2019年的52.81/10万,CMR由1990年的7.22/10万升至2019年的13.40/10万;ASIR呈上升趋势(1990年为17.07/10万,2019年为35.61/10万);ASMR呈平稳略减趋势,由1990年的9.16/10万降至2019年的8.98/10万(表1)。

1990—2019年中国女性乳腺癌发病率与死亡率情况(1/10万)
Incidence and mortality of breast cancer in Chinese females from 1990 to 2019
1990—2019年中国女性乳腺癌发病率与死亡率情况(1/10万)
Incidence and mortality of breast cancer in Chinese females from 1990 to 2019
| 年份(年) | CIR | ASIR | CMR | ASMR |
|---|---|---|---|---|
| 1990 | 14.14 | 17.07 | 7.22 | 9.16 |
| 1991 | 14.66 | 17.42 | 7.33 | 9.17 |
| 1992 | 15.00 | 17.54 | 7.41 | 9.13 |
| 1993 | 15.57 | 17.91 | 7.54 | 9.09 |
| 1994 | 16.14 | 18.13 | 7.64 | 9.16 |
| 1995 | 16.74 | 18.35 | 7.71 | 8.98 |
| 1996 | 17.66 | 18.91 | 7.88 | 8.98 |
| 1997 | 18.46 | 19.32 | 7.99 | 9.02 |
| 1998 | 19.52 | 19.89 | 8.20 | 8.92 |
| 1999 | 20.56 | 20.52 | 8.47 | 8.92 |
| 2000 | 21.75 | 21.25 | 8.78 | 9.16 |
| 2001 | 22.98 | 22.01 | 9.04 | 9.30 |
| 2002 | 23.91 | 22.65 | 9.24 | 9.33 |
| 2003 | 25.05 | 23.35 | 9.44 | 8.97 |
| 2004 | 26.77 | 24.36 | 9.69 | 9.22 |
| 2005 | 28.07 | 24.95 | 9.81 | 9.35 |
| 2006 | 29.30 | 25.42 | 9.87 | 9.24 |
| 2007 | 31.06 | 26.31 | 10.02 | 9.06 |
| 2008 | 32.85 | 27.24 | 10.18 | 8.88 |
| 2009 | 34.69 | 28.18 | 10.38 | 8.93 |
| 2010 | 36.89 | 29.32 | 10.68 | 8.91 |
| 2011 | 38.41 | 29.87 | 10.93 | 8.91 |
| 2012 | 39.30 | 29.94 | 11.03 | 8.78 |
| 2013 | 40.45 | 30.22 | 11.20 | 8.70 |
| 2014 | 42.72 | 31.31 | 11.57 | 8.78 |
| 2015 | 43.76 | 31.51 | 11.75 | 8.67 |
| 2016 | 44.65 | 31.62 | 11.99 | 8.70 |
| 2017 | 47.78 | 33.30 | 12.52 | 9.02 |
| 2018 | 50.72 | 34.77 | 13.02 | 8.85 |
| 2019 | 52.81 | 35.61 | 13.40 | 8.98 |
注:CIR=粗发病率,ASIR=年龄标化发病率,CMR=粗死亡率,ASMR=年龄标化死亡率
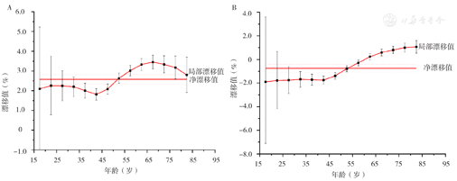
1990—2019年中国女性乳腺癌发病率净漂移值为2.58%〔95%CI(2.34%,2.83%)〕,发病率局部漂移值在15~44岁变化不大,45~69岁呈上升趋势,且在65~69岁年龄段时达到最大值〔局部漂移值(95%CI)=3.46%(3.11%,3.80%)〕,此后呈下降趋势。1990—2019年中国女性乳腺癌死亡率净漂移值为-0.75%〔95%CI(-1.09%,-0.41%)〕,死亡率局部漂移值在15~44岁呈平稳趋势,45岁〔局部漂移值(95%CI)=-1.75%(-2.09%,-1.40%)〕之后呈上升趋势,且约60岁之后局部漂移值>0(图1)。


注:误差棒代表局部漂移值的95%可信区间;红色虚线表示净漂移值的95%可信区间;A表示乳腺癌发病率,B表示乳腺癌死亡率
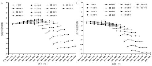
中国女性乳腺癌年龄别发病率的出生队列分析结果显示,从总体变化趋势上看,乳腺癌年龄别发病率随出生年份推移呈先上升后下降的趋势。分年龄组来看,各年龄段女性乳腺癌发病率随着出生队列呈上升趋势,其中25~34岁年龄组波动最大,呈先迅速上升再缓慢下降后缓慢上升趋势。中国女性乳腺癌年龄别死亡率的出生队列分析结果显示,总体乳腺癌年龄别死亡率随出生年份的推移呈下降趋势。分年龄组来看,≥65岁年龄段女性随出生队列呈略微增加趋势但变化不大;35~64岁年龄段女性随出生队列呈略微下降趋势;20~34岁年龄组女性波动情况较大,呈先上升后下降趋势;15~19岁年龄组女性乳腺癌死亡率随出生队列呈现先下降后趋于平稳的趋势(图2)。


注:A表示乳腺癌发病率,B表示乳腺癌死亡率
在校正时期效应与队列效应后,我国女性乳腺癌发病率与死亡率的纵向年龄曲线均呈上升趋势。乳腺癌发病率呈单调上升趋势,由15~19岁年龄组的0.25/10万增加到≥80岁年龄组的163.80/10万,40岁后上升速度明显加快。女性乳腺癌死亡率在所有年龄组中均呈上升趋势,由15~19岁年龄组的0.13/10万增加到≥80岁年龄组的59.25/10万,其中40~59岁上升较为快速,60~69岁上升缓慢,此后上升速度再次加快(图3)。


注:误差棒代表95%可信区间;A表示乳腺癌发病情况,B表示乳腺癌死亡情况
以2000—2004年时期组为对照组(RR值为1),乳腺癌发病风险的时期效应总体呈上升趋势,RR值从0.79〔95%CI(0.75,0.84)〕上升至1.47〔95%CI(1.40,1.54)〕。女性乳腺癌死亡风险时期效应总体呈下降趋势,RR值从1.08〔95%CI(1.02,1.15)〕降至0.90〔95%CI(0.85,0.96)〕(图4)。


注:误差棒代表95%可信区间;A表示乳腺癌发病率,B表示乳腺癌死亡率;RR=率比
以1955—1959年出生队列组为对照组(RR值为1),乳腺癌发病风险的队列效应显示总体呈单调缓慢上升趋势,RR值由1910—1914年出生队列组的0.27〔95%CI(0.21,0.36)〕上升至2000—2004年出生队列组的2.48〔95%CI(0.92,6.67)〕。死亡风险的队列效应显示,1910—1954年出生女性中队列效应呈缓慢递增趋势,RR值由1910—1914年出生队列组的0.78〔95%CI(0.65,0.93)〕上升至1950—1954年出生队列组的1.06〔95%CI(1.01,1.12)〕;1950—2004年呈现逐步下降趋势,RR值从1950—1954年出生队列组的1.06〔95%CI(1.01,1.12)〕降至2000—2004年出生队列组的0.44〔95%CI(0.07,2.69)〕(图5)。


注:误差棒代表95%可信区间;A表示乳腺癌发病情况,B表示乳腺癌死亡情况
APC模型分析的偏差系数结果和Wald χ2检验结果如表2所示。所有年龄段女性乳腺癌发病风险和死亡风险的年龄效应、队列效应差异均具有统计学意义,表明年龄和队列是乳腺癌发病和死亡的主要影响因素。

1990—2019年中国女性乳腺癌发病及死亡风险的APC模型分析
APC analysis of breast cancer incidence and mortality in Chinese females from 1990 to 2019
1990—2019年中国女性乳腺癌发病及死亡风险的APC模型分析
APC analysis of breast cancer incidence and mortality in Chinese females from 1990 to 2019
| 项目 | 发病偏差系数(95%CI) | 死亡偏差系数(95%CI) | |
|---|---|---|---|
| 年龄(岁) | |||
| 15~19 | -1.69(-1.99,-1.40) | -1.52(-1.94,-1.10) | |
| 20~24 | -0.97(-1.16,-0.78) | -0.87(-1.14,-0.61) | |
| 25~29 | -0.14(-0.27,-0.01) | -0.13(-0.31,0.06) | |
| 30~34 | 0.50(0.40,0.60) | 0.59(0.45,0.72) | |
| 35~39 | 0.81(0.72,0.89) | 0.83(0.72,0.94) | |
| 40~44 | 1.04(0.97,1.11) | 0.89(0.80,0.98) | |
| 45~49 | 1.02(0.96,1.08) | 0.83(0.76,0.91) | |
| 50~54 | 0.82(0.77,0.86) | 0.71(0.65,0.77) | |
| 55~59 | 0.58(0.53,0.62) | 0.48(0.44,0.53) | |
| 60~64 | 0.30(0.26,0.34) | 0.13(0.09,0.17) | |
| 65~69 | 0(-0.04,0.05) | -0.16(-0.20,-0.11) | |
| 70~74 | -0.37(-0.43,-0.32) | -0.39(-0.45,-0.34) | |
| 75~79 | -0.73(-0.79,-0.66) | -0.61(-0.68,-0.54) | |
| ≥80 | -1.16(-1.24,-1.08) | -0.78(-0.87,-0.70) | |
| 队列(年) | |||
| 1910—1914 | -0.04(-0.31,0.23) | -0.41(-0.60,-0.22) | |
| 1915—1919 | -0.11(-0.28,-0.06) | -0.34(-0.47,-0.21) | |
| 1920—1924 | -0.12(-0.24,-0.01) | -0.26(-0.36,-0.16) | |
| 1925—1929 | -0.09(-0.18,-0.01) | -0.15(-0.23,-0.07) | |
| 1930—1934 | -0.05(-0.12,0.01) | -0.05(-0.11,0.01) | |
| 1935—1939 | -0.01(-0.06,0.05) | 0.03(-0.01,0.08) | |
| 1940—1944 | 0.01(-0.04,0.06) | 0.08(0.04,0.12) | |
| 1945—1949 | 0.06(0.02,0.11) | 0.14(0.09,0.18) | |
| 1950—1954 | 0.13(0.09,0.17) | 0.21(0.16,0.25) | |
| 1955—1959 | 0.11(0.07,0.16) | 0.18(0.13,0.24) | |
| 1960—1964 | 0.07(0.02,0.12) | 0.12(0.05,0.19) | |
| 1965—1969 | 0.03(-0.03,0.08) | 0.08(0.00,0.16) | |
| 1970—1974 | -0.04(-0.10,0.03) | 0(-0.10,0.10) | |
| 1975—1979 | -0.03(-0.11,0.05) | -0.03(-0.15,0.09) | |
| 1980—1984 | -0.01(-0.11,0.09) | -0.05(-0.21,0.10) | |
| 1985—1989 | -0.04(-0.16,0.09) | -0.12(-0.33,0.08) | |
| 1990—1994 | -0.09(-0.29,0.11) | -0.20(-0.53,0.13) | |
| 1995—1999 | -0.11(-0.52,0.30) | -0.25(-0.98,0.47) | |
| 2000—2004 | -0.13(-1.05,0.79) | -0.30(-1.99,1.39) | |
| 净漂移值(95%CI)(%) | 2.58(2.34,2.83) | -0.75(-1.09,-0.41) | |
| P值 | |||
| 净漂移值=0 | <0.001 | <0.001 | |
| 总局部漂移值=净漂移值 | <0.001 | <0.001 | |
| 总年龄偏差=0 | <0.001 | <0.001 | |
| 总时期偏差=0 | 0.607 | 0.180 | |
| 总队列偏差=0 | <0.001 | <0.001 | |
注:APC=年龄-时期-队列
15~29岁和≥70岁年龄组组内女性乳腺癌发病和死亡风险均呈下降趋势(偏差系数<0);65~69岁年龄段内发病风险无明显上升或下降趋势(偏差系数=0),但死亡风险呈下降趋势(偏差系数=-0.16,<0);其余年龄段发病和死亡风险均呈上升趋势(偏差系数>0),且40~49岁年龄组内女性发病和死亡风险变化最快。1940—1969年出生的女性乳腺癌发病风险均呈上升趋势(偏差系数>0),其余队列呈下降趋势;1935—1969年出生的女性死亡风险均呈上升趋势(偏差系数>0),1970—1974年出生的女性死亡风险无明显上升或下降趋势(偏差系数=0),其余队列呈下降趋势。1950—1959年出生的女性发病和死亡风险增长变化速度最快。
本研究结果显示,1990—2019年中国女性乳腺癌的CIR和ASIR呈上升趋势。女性乳腺癌发病率不断增加的原因可能为:(1)饮食结构的转变,研究表明我国从植物膳食模式向高脂肪、高蛋白饮食模式(西方膳食模式)的过渡使得乳腺癌患病风险增加了14%[11];(2)生活方式的变化,大量摄入高热量食物、缺乏体育锻炼、饮酒、吸烟、熬夜等不良生活方式是乳腺癌的危险因素[12,13,14,15,16];(3)精神压力的增加,新时代女性背负着来自家庭和社会的双重压力,由此给女性带来的精神压力会增加乳腺癌的发病风险;(4)近年来女性初潮年龄的提前和首次分娩年龄的延后已被证实可使乳腺癌患病风险有所增加[11];(5)晚婚晚育、外源激素摄入、绝经后女性体内激素水平失调也会加大罹患乳腺癌的风险[17]。同时,另有大量研究证明乳腺癌发病率呈增加趋势[18,19]。不同国家之间乳腺癌的发病率和死亡率存在明显差异,发达国家乳腺癌发病率高,而发展中国家的乳腺癌死亡率高。2018年,发达国家的乳腺癌发病率是发展中国家的1.73倍(发达国家每10万名妇女中有54.4名为乳腺癌新发病例,而发展中国家每10万名妇女中有31.3名为乳腺癌新发病例),而发展中国家的乳腺癌死亡率是发达国家的1.28倍(发展中国家每10万名妇女中有14.9名因乳腺癌死亡,发达国家每10万名妇女中有11.6名因乳腺癌死亡)[1]。1990—2019年中国女性乳腺癌ASIR的上升幅度低于CIR,乳腺癌CMR呈上升趋势而ASMR呈平稳略减趋势,造成这种差异的原因可能是中国老龄化和低出生率现象的逐年加重。资料显示1990—2019年我国≥60岁人口增长了接近1.5亿,但出生率由1990年的21.06‰降至2019年的10.48‰[20]。
本研究发现65~69岁女性的乳腺癌发病风险最高,可能是该年龄段女性的乳腺良性疾病比例和雌激素使用比例相较其他年龄段更高。已有研究发现20世纪50年代末出生者比20世纪20年代末出生者的乳腺癌危险暴露因素明显增多,如初潮年龄提前、自然绝经年龄推迟、雌激素暴露增加、妊娠次数减少、哺乳时间短等[21]。有研究发现,中国、印度、巴基斯坦和泰国的乳腺癌发病率均呈上升趋势,2015年巴基斯坦、中国、印度和泰国的高危年龄组分别为70~74、65~69、50~54、60~64岁年龄组,饮食习惯、生活方式和宗教信仰等原因可导致不同国家的高危年龄组有所不同[22]。年龄是乳腺癌的主要高危因素之一,老年女性基础疾病种类增加及免疫力的下降均可导致乳腺癌死亡风险的升高,同时低出生率和预期寿命变长造成的人口老龄化问题也间接导致了乳腺癌死亡率的升高[23]。
本研究发现1990—2019年中国女性乳腺癌发病风险的时期效应总体呈上升趋势,而死亡风险的时期效应总体呈下降趋势。乳腺癌发病风险的时期效应呈单调上升趋势的可能原因为:(1)随着社会经济的快速发展,饮酒、高红肉饮食、高体质指数、高空腹血糖、锻炼少、吸烟和吸"二手烟"等危险因素的暴露水平增加[2];(2)乳腺癌诊断技术的迅猛发展和基本医疗筛查及保障的推广,乳腺B超、钼靶和磁共振成像等影像技术分辨率的提高,生物标志物的深入研究和疾病定义及登记的不断完善,使得尚未表现出临床症状的早期乳腺癌被及早诊断。乳腺癌死亡风险的时期效应总体呈下降趋势,这可能与近年来公共卫生政策的实施、医疗条件的改善及"两癌筛查"项目的推广有关。我国从2009年开始积极实施与推广"两癌筛查"项目,并于2016年全面展开[24]。乳腺癌的早期发现、早期诊断和早期治疗使得患者预后良好,从而降低了乳腺癌的死亡率[25,26]。另外,乳腺癌治疗技术的发展和新型药物的研发也使乳腺癌的治愈率有所增加。
本研究发现乳腺癌死亡风险的队列效应呈先增加后降低的趋势。1910—1954年女性乳腺癌死亡风险呈上升趋势,胎儿起源学说可对此种现象进行解释[27]。1910—1954年我国处于社会动荡时期,战争和自然灾害的发生可能导致该阶段出生的女性乳腺癌死亡风险高于其他年龄段。1955年之后出生越晚的女性乳腺癌死亡风险越小,这可能与社会安稳、居民生活水平的提高和医疗技术的发展使得乳腺癌治愈率和好转率提高等有关。
综上所述,中国女性1990—2019年乳腺癌发病和死亡风险呈逐年上升趋势,年龄效应和队列效应是乳腺癌发病和死亡的主要影响因素,提示应进一步加强≥40岁年龄段女性的乳腺癌筛查和早诊早治工作,提升诊断技术和治疗水平,构建和谐的社会环境。另外,本研究还存在的局限性及其处理方式包括:(1)APC模型的年龄、时期和队列变量存在完全共线性,本研究所用的网页模型已通过内生因子法(intrinsic estimator,IE)解决共线性问题;(2)APC模型出生队列计算后具有重叠现象,本研究通过取各个出生队列的中间值加以避免;(3)该数据库未提供乳腺癌的城乡数据,因而无法深入分析城乡间乳腺癌的流行趋势差异,未来还会继续关注相关研究。
本文无利益冲突。





















