
近年来,代谢相关脂肪性肝病(MAFLD)患病率增长迅速,非肥胖MAFLD患者体脂成分和代谢指标的特点及各指标对该病预测价值的研究结论尚不一致。
分析非肥胖MAFLD患者的体脂成分及关键代谢指标的变化特点,明确非肥胖MAFLD的危险因素,探讨以上指标与非肥胖MAFLD相关性及对该病的预测价值。
选取2018年1月至2019年1月南京大学医学院附属鼓楼医院健康管理中心体检人员为研究对象,根据肝脏B超结果分为脂肪肝患者和非脂肪肝者,排除脂肪肝患者中的非MAFLD患者后,再根据体质指数(BMI)将两组体检者分为非肥胖非脂肪肝组(n=129)、肥胖MAFLD组(n=129)、肥胖非脂肪肝组(n=129)、非肥胖MAFLD组(n=129),比较非肥胖MAFLD组与其他3组间体脂成分及代谢指标,分析各指标与非肥胖MAFLD的相关性,采用Logistic回归分析明确非肥胖MAFLD的独立危险因素,采用受试者工作特征(ROC)曲线分析各指标对非肥胖MAFLD的预测价值。
(1)体脂成分及代谢指标比较:非肥胖MAFLD组BMI、体脂肪(BF)、体脂率(BFR)、内脏脂肪面积(VFA)、腰围(WC)、腰臀比(WHR)、总胆固醇(TC)、三酰甘油(TG)、低密度脂蛋白胆固醇(LDL-C)、尿酸(UA)、丙氨酸氨基转移酶(ALT)及谷酰转肽酶(GGT)高于非肥胖非脂肪肝组,高密度脂蛋白胆固醇(HDL-C)低于非肥胖非脂肪肝组(P<0.05);非肥胖MAFLD组BMI、BF、VFA、WC、WHR、空腹血糖(FPG)、糖化血红蛋白(HbA1c)低于肥胖MAFLD组(P<0.05);非肥胖MAFLD组BMI、BF、WC低于肥胖非脂肪肝组,TG、UA、ALT、GGT高于肥胖非脂肪肝组(P<0.05);非肥胖MAFLD组中女性年龄、BF、BFR、VFA高于男性,WC、UA、GGT低于男性(P<0.05)。(2)Kendall's相关分析结果显示,BFR、VFA、WHR、TC、TG、LDL-C、UA、ALT、GGT与非肥胖MAFLD呈正相关(r=0.099、0.092、0.136、0.095、0.176、0.092、0.114、0.125、0.142,P<0.05),HDL-C与非肥胖MAFLD呈负相关(r=-0.112,P<0.05)。(3)多因素Logistic回归分析结果显示,TG、ALT、UA、BFR和VFA为非肥胖MAFLD的影响因素(P<0.05)。(4)BFR、VFA、TG、UA、ALT预测非肥胖MAFLD的ROC曲线下面积(AUC)分别为0.853〔95%CI(0.807,0.898)〕、0.938〔95%CI(0.906,0.970)〕、0.807〔95%CI(0.754,0.860)〕、0.665〔95%CI(0.599,0.731)〕、0.752〔95%CI(0.692,0.812)〕,灵敏度分别为0.789、0.852、0.822、0.605、0.814,特异度分别为0.770、0.904、0.713、0.682、0.770,最佳临界值分别为22.30%、61.45 cm2、1.02 mmol/L、356.00 μmol/L、18.35 U/L。
非肥胖MAFLD患者与非肥胖非脂肪肝人群相比,BF及内脏脂肪增多,脂质代谢异常,UA水平升高,转氨酶上升;TG、ALT、UA、BFR和VFA为非肥胖MAFLD的影响因素;BFR、VFA、TG、UA、ALT对非肥胖MAFLD具有一定诊断价值,可用于预测非肥胖MAFLD的发生,以便尽早进行干预。
本刊2023年版权归中国全科医学杂志社所有
未经编辑部许可,不得任意转载和摘编
本刊所发表作品仅为作者观点,并不代表编委会和编辑部意见
如有印装质量问题请向本刊发行部调换
近30年来,与肥胖、2型糖尿病、代谢综合征相关的代谢相关性脂肪性肝病(metabolic associated fatty liver disease,MAFLD)的患病率增长迅速,目前全球的患病率达到25.24%[1],亚洲地区患病率为29.62%[2]。在中国,随着人们饮食习惯快餐化,高热量、高脂肪、高果糖的膳食结构越来越普遍,以及久坐少动的生活方式,我国一般人群中MAFLD的患病率逐年上升,达到29.81%[2]。MAFLD已经成为我国第一大慢性肝病,在慢性肝病的病因构成中达到50%[3]。MAFLD不仅可以引起脂肪性肝炎及肝纤维化、肝癌,MAFLD相关代谢紊乱导致的心脑血管疾病、慢性肾脏病、胰岛素抵抗相关的恶性肿瘤等肝外并发症对人们健康危害更严重。目前MAFLD患者死亡原因第一位是心血管疾病,第二位是恶性肿瘤,第三位才是肝脏相关性疾病。虽然MAFLD和肥胖密切相关,但是非肥胖人群的MAFLD也不少见,尤其在亚洲人群较为常见,非肥胖人群MAFLD患病率在7%~21%均有报道[4]。我国非肥胖MAFLD患病率在4.2%~19.3%[5]。
非肥胖MAFLD患者的体脂成分及代谢指标特点的研究结论尚不一致。本研究旨在通过分析非肥胖MAFLD患者体脂成分及代谢指标特点,探讨非肥胖人群患MAFLD的影响因素及预测指标,为筛查及早期诊治非肥胖MAFLD提供依据。
选取2018年1月至2019年1月在南京大学医学院附属鼓楼医院健康管理中心进行体检的人员为研究对象,根据肝脏B超检查结果(脂肪肝和非脂肪肝)将体检人员分为脂肪肝患者和非脂肪肝者,再依据MAFLD的诊断标准,排除脂肪肝患者中的非MAFLD患者,最终纳入体检人员516例。依据体质指数(body mass index,BMI)(非肥胖:BMI<25 kg/m2,肥胖:BMI≥25 kg/m2),将纳入体检人员分为非肥胖非脂肪肝组、肥胖非脂肪肝组、肥胖MAFLD组、非肥胖MAFLD组,每组各129例。
纳入标准:(1)年龄>18岁;(2)进行人体成分分析测定;(3)MAFLD患者符合2020年亚太肝脏研究协会代谢相关脂肪性肝病诊疗指南关于MAFLD的定义标准[6,7,8];(4)临床资料完整。排除标准:(1)B超提示脂肪肝,诊断为非MAFLD;(2)正在服用降脂药物。
由于世界各地区人种的差异,非肥胖的诊断标准有所不同。依据亚太地区诊断标准,正常:18.5 kg/m2≤BMI<23.0 kg/m2;超重:23.0 kg/m2≤BMI<25.0 kg/m2;肥胖:BMI≥25.0 kg/m2,本研究非肥胖MAFLD定义为BMI<25 kg/m2的MAFLD患者。MAFLD诊断依据2020年亚太肝脏研究协会代谢相关脂肪性肝病诊疗指南[8],肝脏B超检查提示存在脂肪肝,且同时满足以下三项条件之一:(1)超重或肥胖;(2)2型糖尿病;(3)存在两项以上代谢异常风险。
使用四海华辰H-key350人体成分分析仪(BIA法)进行人体成分测定分析,记录体检人员体脂成分指标:BMI、体脂肪(body fat,BF)、体脂率(percentage of body fat,BFR)、内脏脂肪面积(visceral fat area,VFA)、腰围(waist circumference,WC)、腰臀比(waist hip ratio,WHR)。
应用迈瑞Resona 7T彩色超声诊断仪行空腹肝胆B超检查,诊断体检人员是否患有脂肪肝。
清晨空腹采集静脉血,采用全自动生化分析仪(型号:Beckman AU5400)检测总胆固醇(total cholesterol,TC)、三酰甘油(triglyceride,TG)、高密度脂蛋白胆固醇(high density lipoprotein-cholesterol,HDL-C)、低密度脂蛋白胆固醇(low density lipoprotein-cholesterol,LDL-C)、空腹血糖(fasting plasma glucose,FPG)、尿酸(uric acid,UA)、丙氨酸氨基转移酶(alanine aminotransferase,ALT)、谷酰转肽酶(gamma-glutamyl transpeptidase,GGT)。美国伯乐(Bio-Rad)D-100糖化血红蛋白仪检测糖化血红蛋白(glycosylated hemoglobin,HbA1c)。
应用SPSS 22.0软件对四组数据进行统计分析。符合正态分布的计量资料以(
±s)表示,两组间比较采用独立样本t检验;多组间比较采用单因素方差分析,组间两两比较采用Dunnett's t检验;采用Kendall's相关分析探讨体脂成分及代谢指标与非肥胖MAFLD的相关性;采用多因素Logistic回归分析探讨非肥胖MAFLD的危险因素,计算比值比(OR)及其95%可信区间(95%CI);采用受试者工作特征(ROC)曲线分析以上指标对非肥胖MAFLD的预测价值。以P<0.05为差异有统计学意义。
本次研究共纳入体检人员516例,其中男332例(64.3%),女184例(35.7%)。每组纳入体检者129例,其中男83例(64.3%),女46例(35.7%)。四组体检者年龄、性别构成比比较,差异无统计学意义(P>0.05),见表1。

四组体检者一般资料、体脂成分及代谢指标比较
Demographic information,body fat composition and metabolic indices in non-obese healthy cases,obese cases with MAFLD,obese cases without MAFLD,and non-obese cases with MAFLD
四组体检者一般资料、体脂成分及代谢指标比较
Demographic information,body fat composition and metabolic indices in non-obese healthy cases,obese cases with MAFLD,obese cases without MAFLD,and non-obese cases with MAFLD
| 组别 | 例数 | 性别(男/女) | 年龄(岁) | BMI(kg/m2) | BF(kg) | BFR(%) | VFA(cm2) | WC(cm) | WHR |
|---|---|---|---|---|---|---|---|---|---|
| 非肥胖非脂肪肝组 | 129 | 83/46 | 50.4±11.3 | 19.1±1.1a | 10.18±3.84a | 18.74±5.86a | 45.12±19.97a | 74.65±6.21a | 0.85±0.04a |
| 肥胖MAFLD组 | 129 | 83/46 | 50.3±10.0 | 25.7±0.5a | 20.55±3.05a | 29.19±4.98 | 93.03±22.31a | 88.78±9.47a | 0.93±0.08a |
| 肥胖非脂肪肝组 | 129 | 83/46 | 51.4±11.1 | 25.3±0.2a | 19.25±3.23a | 27.91±5.43 | 89.00±19.95 | 88.24±4.95a | 0.91±0.04 |
| 非肥胖MAFLD组 | 129 | 83/46 | 50.0±10.8 | 23.6±1.0 | 18.13±3.58 | 27.54±6.08 | 84.27±22.85 | 84.93±11.47 | 0.91±0.04 |
| F(χ2)值 | 0b | 0.411 | 1 860.606 | 232.043 | 91.826 | 135.513 | 77.650 | 62.614 | |
| P值 | 1.000 | 0.745 | <0.001 | <0.001 | <0.001 | <0.001 | <0.001 | <0.001 |
| 组别 | TC(mmol/L) | TG(mmol/L) | HDL-C(mmol/L) | LDL-C(mmol/L) | FPG(mmol/L) | UA(μmol/L) | ALT(U/L) | GGT(U/L) | HbA1c(%) |
|---|---|---|---|---|---|---|---|---|---|
| 非肥胖非脂肪肝组 | 4.36±0.82a | 1.01±0.55a | 1.51±0.33a | 2.41±0.69a | 5.19±1.68 | 324.11±93.29a | 20.46±13.14a | 26.83±42.05a | 5.60±0.75 |
| 肥胖MAFLD组 | 4.76±0.95 | 2.13±1.47 | 1.15±0.29 | 2.77±0.73 | 6.26±2.13a | 377.13±95.88 | 36.66±22.48 | 49.92±54.22 | 6.15±1.35a |
| 肥胖非脂肪肝组 | 4.61±0.84 | 1.45±1.06a | 1.23±0.27 | 2.76±0.69 | 5.31±1.55 | 352.25±78.08a | 25.06±17.09a | 30.10±20.91a | 5.72±1.03 |
| 非肥胖MAFLD组 | 4.78±0.86 | 1.90±1.19 | 1.20±0.29 | 2.83±0.71 | 5.52±1.49 | 383.01±95.80 | 33.04±29.26 | 44.62±39.89 | 5.81±0.88 |
| F(χ2)值 | 6.389 | 25.526 | 38.391 | 9.591 | 9.956 | 11.243 | 15.372 | 9.453 | 6.795 |
| P值 | <0.001 | <0.001 | <0.001 | <0.001 | <0.001 | <0.001 | <0.001 | <0.001 | <0.001 |
注:MAFLD=代谢相关脂肪性肝病,BMI=体质指数,BF=体脂肪,BFR=体脂率,VFA=内脏脂肪面积,WC=腰围,WHR=腰臀比,TC=总胆固醇,TG=三酰甘油,HDL-C=高密度脂蛋白胆固醇,LDL-C=低密度脂蛋白胆固醇,FPG=空腹血糖,UA=尿酸,ALT=丙氨酸氨基转移酶,GGT=谷酰转肽酶,HbA1c=糖化血红蛋白;a表示与非肥胖MAFLD组比较P<0.05;b表示χ2值
四组体检者BMI、BF、BFR、VFA、WC、WHR、TC、TG、HDL-C、LDL-C、FPG、UA、ALT、GGT、HbA1c比较,差异有统计学意义(P<0.05),见表1。
非肥胖MAFLD组与非肥胖非脂肪肝组比较:非肥胖MAFLD组BMI、BF、BFR、VFA、WC、WHR、TC、TG、LDL-C、UA、ALT及GGT高于非肥胖非脂肪肝组,HDL-C低于非肥胖非脂肪肝组,差异有统计学意义(P<0.05);两组FPG、HbA1c比较,差异无统计学意义(P>0.05),见表1。
非肥胖MAFLD组与肥胖MAFLD组比较:非肥胖MAFLD组BMI、BF、VFA、WC、WHR、FPG、HbA1c低于肥胖MAFLD组,差异有统计学意义(P<0.05);两组BFR、TC、TG、HDL-C、LDL-C、UA、ALT、GGT比较,差异无统计学意义(P>0.05),见表1。
非肥胖MAFLD组与肥胖非脂肪肝组比较:非肥胖MAFLD组BMI、BF、WC低于肥胖非脂肪肝组,差异有统计学意义(P<0.05);非肥胖MAFLD组TG、UA、ALT、GGT高于肥胖非脂肪肝组,差异有统计学意义(P<0.05);两组BFR、VFA、WHR、TC、HDL-C、LDL-C、FPG、HbA1c比较,差异无统计学意义(P>0.05),见表1。
非肥胖MAFLD组不同性别BMI、WHR、TC、TG、HDL-C、LDL-C、FPG、ALT、HbA1c比较,差异无统计学意义(P>0.05)。非肥胖MAFLD组不同性别年龄、BF、BFR、VFA、WC、UA、GGT比较,差异有统计学意义(P<0.05);其中女性年龄、BF、BFR、VFA高于男性,WC、UA、GGT低于男性,差异有统计学意义(P<0.05),见表2。

非肥胖MAFLD组不同性别患者体脂成分及代谢指标比较(
±s)
Comparison of body fat composition and metabolic indices between non-obese men and women with MAFLD
非肥胖MAFLD组不同性别患者体脂成分及代谢指标比较(
±s)
Comparison of body fat composition and metabolic indices between non-obese men and women with MAFLD
| 性别 | 例数 | 年龄(岁) | BMI(kg/m2) | BF(kg) | BFR(%) | VFA(cm2) | WC(cm) | WHR | TC(mmol/L) |
|---|---|---|---|---|---|---|---|---|---|
| 女 | 46 | 54.0±9.8 | 23.68±0.95 | 20.78±3.38 | 33.64±4.65 | 104.20±22.96 | 80.52±17.83 | 0.90±0.04 | 4.86±0.94 |
| 男 | 83 | 47.8±10.7 | 23.63±0.99 | 16.70±2.79 | 24.23±3.77 | 73.46±13.77 | 87.33±4.09 | 0.92±0.03 | 4.74±0.81 |
| t值 | 3.272 | 0.280 | 7.333 | 12.407 | 8.219 | -2.528 | -1.907 | 0.735 | |
| P值 | 0.001 | 0.780 | <0.001 | <0.001 | <0.001 | 0.015 | 0.059 | 0.463 |
| 性别 | TG(mmol/L) | HDL-C(mmol/L) | LDL-C(mmol/L) | FPG(mmol/L) | UA(μmol/L) | ALT(U/L) | GGT(U/L) | HbA1c(%) |
|---|---|---|---|---|---|---|---|---|
| 女 | 1.84±1.03 | 1.22±0.26 | 2.93±0.78 | 5.48±1.43 | 321.98±80.55 | 30.27±39.41 | 29.42±25.78 | 5.90±0.83 |
| 男 | 1.93±1.28 | 1.19±0.31 | 2.77±0.66 | 5.55±1.54 | 416.83±86.71 | 34.58±21.84 | 53.05±43.78 | 5.76±0.90 |
| t值 | -0.382 | 0.527 | 1.221 | -0.262 | -6.101 | -0.800 | -3.858 | 0.915 |
| P值 | 0.703 | 0.599 | 0.224 | 0.794 | <0.001 | 0.425 | <0.001 | 0.362 |
Kendall's相关分析结果显示,BFR、VFA、WHR、TC、TG、LDL-C、UA、ALT、GGT与非肥胖MAFLD呈正相关(P<0.05);HDL-C与非肥胖MAFLD呈负相关(P<0.05),见表3。

体脂成分及代谢指标与非肥胖MAFLD的Kendall's相关分析
Kendall correlation analysis of body fat and metabolic indices with MAFLD in non-obese people
体脂成分及代谢指标与非肥胖MAFLD的Kendall's相关分析
Kendall correlation analysis of body fat and metabolic indices with MAFLD in non-obese people
| 项目 | r值 | P值 | 项目 | r值 | P值 |
|---|---|---|---|---|---|
| 性别 | 0 | 1.000 | HDL-C | -0.112 | 0.002 |
| 年龄 | -0.029 | 0.423 | LDL-C | 0.092 | 0.011 |
| BFR | 0.099 | 0.007 | UA | 0.114 | 0.002 |
| VFA | 0.092 | 0.011 | ALT | 0.125 | 0.001 |
| WC | 0.039 | 0.287 | GGT | 0.142 | <0.001 |
| WHR | 0.136 | <0.001 | FPG | 0.023 | 0.527 |
| TC | 0.095 | 0.009 | HbA1c | 0.029 | 0.434 |
| TG | 0.176 | <0.001 | BF | 0.063 | 0.086 |
以非肥胖MAFLD为因变量(赋值:否=0,是=1),以性别(赋值:男=1,女=0),年龄、体脂成分、代谢指标为自变量(赋值均为实测值),进行多因素Logistic回归分析,结果显示,TG、ALT、UA、BFR和VFA为非肥胖MAFLD的影响因素(P<0.05),见表4。

非肥胖MAFLD影响因素的多因素Logistic回归分析
Multivariate Logistic regression analysis of factors associated with MAFLD in non-obese people
非肥胖MAFLD影响因素的多因素Logistic回归分析
Multivariate Logistic regression analysis of factors associated with MAFLD in non-obese people
| 变量 | β | SE | Waldχ2值 | P值 | OR(95%CI) |
|---|---|---|---|---|---|
| BFR | 1.709 | 0.265 | 41.713 | <0.001 | 5.522(3.288,9.274) |
| VFA | 2.899 | 0.743 | 15.210 | <0.001 | 18.162(4.230,77.972) |
| TG | 0.448 | 0.210 | 4.534 | 0.033 | 1.565(1.036,2.364) |
| UA | 0.904 | 0.295 | 9.385 | 0.002 | 2.469(1.385,4.402) |
| ALT | 1.261 | 0.408 | 9.565 | 0.002 | 3.529(1.587,7.849) |
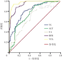
BFR、VFA、TG、UA、ALT预测非肥胖MAFLD的ROC曲线下面积(AUC)分别为0.853、0.938、0.807、0.665、0.752,最佳临界值分别为22.30%、61.45 cm2、1.02 mmol/L、356.00 μmol/L、18.35 U/L,见表5、图1。


注:TG=三酰甘油,ALT=丙氨酸氨基转移酶,UA=尿酸,BFR=体脂率,VFA=内脏脂肪面积

体脂成分及代谢指标诊断非肥胖MAFLD的ROC曲线
ROC curve of body fat composition and metabolic indices in the diagnosis of MAFLD in non-obese people
体脂成分及代谢指标诊断非肥胖MAFLD的ROC曲线
ROC curve of body fat composition and metabolic indices in the diagnosis of MAFLD in non-obese people
| 变量 | AUC(95%CI) | P值 | 灵敏度 | 特异度 | 约登指数 | 最佳临界值 |
|---|---|---|---|---|---|---|
| BFR | 0.853(0.807,0.898) | <0.001 | 0.789 | 0.770 | 0.559 | 22.30% |
| VFA | 0.938(0.906,0.970) | <0.001 | 0.852 | 0.904 | 0.756 | 61.45 cm2 |
| TG | 0.807(0.754,0.860) | <0.001 | 0.822 | 0.713 | 0.535 | 1.02 mmol/L |
| UA | 0.665(0.599,0.731) | <0.001 | 0.605 | 0.682 | 0.287 | 356.00 μmol/L |
| ALT | 0.752(0.692,0.812) | <0.001 | 0.814 | 0.770 | 0.584 | 18.35 U/L |
注:AUC=受试者工作特征曲线下面积
2.7.1 BFR、VFA、TG、UA、ALT预测男性非肥胖MAFLD的AUC分别为0.942、0.974、0.816、0.688、0.754,最佳临界值分别为19.75%、59.75 cm2、1.02 mmol/L、360.50 μmol/L、20.15 U/L,见表6、图2。



男性体脂成分及代谢指标诊断非肥胖MAFLD的ROC曲线
ROC curve of body fat composition and metabolic indicators for the diagnosis of MAFLD in non-obese males
男性体脂成分及代谢指标诊断非肥胖MAFLD的ROC曲线
ROC curve of body fat composition and metabolic indicators for the diagnosis of MAFLD in non-obese males
| 变量 | AUC(95%CI) | P值 | 灵敏度 | 特异度 | 约登指数 | 最佳临界值 |
|---|---|---|---|---|---|---|
| BFR | 0.942(0.910,0.973) | <0.001 | 0.880 | 0.867 | 0.747 | 19.75% |
| VFA | 0.974(0.954,0.993) | <0.001 | 0.807 | 0.964 | 0.771 | 59.75 cm2 |
| TG | 0.816(0.752,0.879) | <0.001 | 0.807 | 0.711 | 0.518 | 1.02 mmol/L |
| UA | 0.688(0.608,0.769) | <0.001 | 0.759 | 0.578 | 0.337 | 360.50 μmol/L |
| ALT | 0.754(0.679,0.828) | <0.001 | 0.795 | 0.602 | 0.398 | 20.15 U/L |
2.7.2 BFR、VFA、TG、UA、ALT预测女性非肥胖MAFLD的AUC分别为0.906、0.924、0.789、0.716、0.757,最佳临界值分别为29.75%、79.15 cm2、1.19 mmol/L、270.50 μmol/L、18.35 U/L,见表7、图3。



女性体脂成分及代谢指标诊断非肥胖MAFLD的ROC曲线
ROC curve analysis of body fat composition and metabolic indices in the diagnosis of MAFLD in non-obese females
女性体脂成分及代谢指标诊断非肥胖MAFLD的ROC曲线
ROC curve analysis of body fat composition and metabolic indices in the diagnosis of MAFLD in non-obese females
| 变量 | AUC(95%CI) | P值 | 灵敏度 | 特异度 | 约登指数 | 最佳临界值 |
|---|---|---|---|---|---|---|
| BFR | 0.906(0.842,0.969) | <0.001 | 0.844 | 0.860 | 0.705 | 29.75% |
| VFA | 0.924(0.861,0.986) | <0.001 | 0.844 | 0.884 | 0.728 | 79.15 cm2 |
| TG | 0.789(0.691,0.888) | <0.001 | 0.822 | 0.744 | 0.566 | 1.19 mmol/L |
| UA | 0.716(0.607,0.826) | <0.001 | 0.778 | 0.674 | 0.452 | 270.50 μmol/L |
| ALT | 0.757(0.655,0.858) | <0.001 | 0.689 | 0.767 | 0.456 | 18.35 U/L |
有研究表明,短期内体质量增加是引起非肥胖MAFLD发病的重要危险因素,即使体质量在正常范围的很小变化也会增加患MAFLD风险。国外的一项研究表明,基线BMI<23 kg/m2的个体,体质量增加>2.3 kg会引起MAFLD发生的风险增加[9]。本研究结果显示在年龄、性别无差异的情况下,非肥胖MAFLD组较非肥胖非脂肪肝组BMI升高,非肥胖MAFLD的发生可能与体质量增加有关,提示即使非肥胖MAFLD也需要通过生活方式调整,控制饮食、合理运动来减轻体质量,以达到改善甚至逆转MAFLD的目标。此外,本研究结果表明与非肥胖非脂肪肝组相比,非肥胖MAFLD组存在隐性肥胖及内脏肥胖,这一特点在女性尤为明显。非肥胖MAFLD组在反映腹部肥胖的指标WC、WHR、VFA方面低于肥胖MAFLD组;在反映整体肥胖程度的BMI以及BF的绝对数值方面也低于肥胖MAFLD组,但是两者BFR并无明显差异,进一步证明非肥胖MAFLD患者存在隐性肥胖。另外,非肥胖MAFLD组的BMI、BF及WC低于肥胖非脂肪肝组,但两组VFA无明显差异,提示肥胖非脂肪肝患者主要是皮下脂肪增加,非肥胖MAFLD患者主要是内脏脂肪增加,有更高的代谢异常风险。并且本研究显示BFR、VFA和WHR与非肥胖MAFLD呈正相关,BFR和VFA为非肥胖MAFLD危险因素。体脂成分及代谢指标预测非肥胖MAFLD的ROC曲线结果显示,5项指标中VFA对非肥胖MAFLD的预测价值最高,其次是BFR,提示BF、尤其是内脏脂肪在非肥胖MAFLD的发病中起着更为重要的作用。
有资料显示,切除占总体脂0.8%的大网膜脂肪,可显著改善胰岛素抵抗及代谢异常,而吸脂术去除占总体脂18%的腹部皮下脂肪并不能改善代谢紊乱及胰岛素抵抗[10],研究证明与皮下脂肪相比,内脏脂肪与代谢紊乱及胰岛素抵抗关系更为密切。胰岛素抵抗是MAFLD发病的重要的机制之一,内脏脂肪与MAFLD发病关系密切。内脏脂肪不仅与MAFLD发病有关,还与心脑血管疾病关系密切,即使BMI正常的人群,内脏脂肪也对心血管疾病发生风险有预测价值[11]。内脏脂肪只占总脂肪量的5%~20%,主要分布在腹腔大网膜、肠系膜等部位,其血供丰富、代谢活跃,脂解可产生大量的游离脂肪酸(FFA)通过门静脉直接进入肝脏,促进肝脏合成TG,加速肝细胞脂肪变性。肝脏增加富含TG的极低密度脂蛋白胆固醇(VLDL)产量以代偿性减少肝脏脂肪含量,引起合成HDL-C的原料减少,导致HDL-C下降;同时极低密度脂蛋白(VLDL-C)、LDL-C和载脂蛋白B100(APoB-100)升高,增加心血管疾病风险;FFA的氧化刺激肝糖原产生,导致糖代谢紊乱[12]。内脏脂肪分泌的一些脂肪因子参与代谢综合征、糖尿病和骨质疏松的发生。腹型肥胖是脂肪肝重要的危险因素之一,并且用VFA来描述腹型肥胖是最佳的方法[13]。磁共振成像(MRI)或电子计算机断层扫描(CT)测定脂肪是人体脂肪测定的金标准。但是这些检测方法需要价格昂贵的特殊检测设备和仪器,检测费用高,且CT有一定的辐射,不适合大规模体检应用。本研究采用人体成分分析仪(BIA)法测量BF及VFA,有研究证明该方法的测定值与CT/MRI相关性良好[14,15]。人体成分分析作为无创的体成分检测方法,可用于大规模人群研究。
有研究表明非肥胖MAFLD患者的血脂水平高于健康非肥胖者,介于正常和肥胖MAFLD之间[16]。但本研究结果显示非肥胖MAFLD组的TG、TC、LDL-C不仅高于非肥胖非脂肪肝组,且与肥胖MAFLD组无显著差异,不同性别血脂水平无显著差异。血脂TG、TC、LDL-C、HDL-C在非肥胖MAFLD组与肥胖MAFLD组之间无显著差异,这与既往研究结果不同。分析原因,相比BMI及BF的绝对数值,血脂水平可能与BFR关系更为密切。相关性分析提示TC、LDL-C、TG与非肥胖MAFLD呈正相关,HDL-C与非肥胖MAFLD呈负相关。MAFLD病理特点为肝脏内TG过度沉积,国内外多项研究[17]显示血脂异常为MAFLD的危险因素,TG导致MAFLD的机制得到广泛认可。本研究TG为MAFLD的危险因素与既往研究结论相符,ROC曲线提示TG对非肥胖MAFLD有预测价值。
TC、LDL-C是否为非肥胖MAFLD的危险因素有不同意见。有研究认为,高胆固醇饮食与非肥胖MAFLD发病有关,胆固醇在非肥胖MAFLD发病中的作用超过TG,TC、LDL-C,是MAFLD的独立危险因素[9]。但是也有研究指出TC、LDL-C与MAFLD虽然相关,但并非独立危险因素,甚至有研究提出TC与非肥胖MAFLD无关[18]。本研究结果显示TC、LDL-C与非肥胖MAFLD呈正相关性,但不是非肥胖MAFLD的独立危险因素,考虑TC、LDL-C升高是继发于TG升高,并且升高程度与肥胖MAFLD无显著差异。MAFLD患者肝脏内大量脂肪堆积,导致进入血液的FFA大量增加,促进肝脏合成TG,相应地引起血液中TC和LDL-C水平升高。同时由于MAFLD存在胰岛素抵抗而使载脂蛋白A(ApoA)、磷脂、游离胆固醇等合成HDL-C的原料释放减少,引起HDL-C水平下降[19]。作为心血管疾病重要危险因素的TC、LDL-C水平上升,而保护性因素HDL-C下降,说明非肥胖MAFLD患者的心血管疾病发病风险可能并不比肥胖MAFLD患者低,提示在临床诊疗中需要重视控制非肥胖MAFLD患者的血脂水平。非肥胖MAFLD与胆固醇的关系尚需多中心、大样本的研究进一步探索。
MAFLD与糖代谢异常、2型糖尿病关系密切。无糖尿病史的MAFLD患者中,糖代谢异常者高达50%。与无MAFLD患者相比,MAFLD患者发生2型糖尿病的相对危险度为1.86[20]。研究表明,2型糖尿病是一种主要由肝脏和胰腺的过量且可逆的脂肪堆积引起的疾病[21]。胰岛素抵抗是在糖尿病前期和2型糖尿病中最早检测到的异常。肝脏胰岛素抵抗在MAFLD引起糖尿病的机制中发挥关键作用,肝脏脂肪积聚引起胰岛素抵抗,进而决定了肝糖产生和空腹血糖水平,是引起糖尿病的核心机制[22]。2019年TAYLOR等[23]提出以脂肪肝为中心的肝-胰双循环假设(the twin cycle hypothes),详细阐述了肝脏在糖尿病发生及逆转中的机制。根据此假说,如果多余的脂肪负荷能被减去,可以逆转双循环,血糖也能恢复正常。充分说明肝脏脂肪含量与糖代谢关系密切。国内有研究显示:肝脏脂肪含量达到4%即开始出现胰岛素抵抗;增加到10%,胰腺β细胞分泌功能恶化,血糖升高[24]。
本研究提示非肥胖MAFLD患者的FPG及HbA1c低于肥胖MAFLD患者,而与非肥胖健康人群无明显差异。这与肥胖MAFLD患者有更多的内脏脂肪,胰岛素抵抗更加严重有关。非肥胖MAFLD患者糖代谢似乎更接近非肥胖健康人群水平,分析其原因可能为:(1)本次研究对象为非肥胖MAFLD患者,BMI未达到肥胖程度,虽然内脏脂肪相对增多,但是总BF增加不明显,胰岛素抵抗不严重,β细胞尚能产生足够的胰岛素来代偿胰岛素抵抗,所以血糖代谢基本正常。(2)考虑本研究为回顾性研究,缺乏胰岛素及餐后血糖检测结果,也无口服葡萄糖耐量试验(OGTT)及胰岛素释放试验结果,仅凭FPG和HbA1c尚不能全面、准确评估胰岛素抵抗及血糖水平,这需要在以后的研究中完善。
本研究结果提示非肥胖MAFLD组UA水平高于非肥胖非脂肪肝组,与肥胖MAFLD组无显著差异,男性UA高于女性。UA水平与非肥胖MAFLD呈正相关,为非肥胖MAFLD的危险因素,UA升高对于非肥胖MAFLD的发生有预测价值。一项Meta分析得出,UA水平的升高与脂肪肝的发病呈线性关系,血UA每增加1 mg/dl,MAFLD的发病率增加约1.03倍[25]。高UA血症与MAFLD发病之间的关系不仅仅存在于肥胖人群当中,在非肥胖人群当中,血UA水平的升高,也与MAFLD的患病率呈正相关[26],UA水平越高,超声诊断的脂肪肝严重程度越重[27]。UA主要通过以下几个方面参与MAFLD发病[28]:(1)UA可以通过诱导氧化应激及降低内皮一氧化氮(NO)的生物利用度促进胰岛素抵抗;(2)UA可诱导内质网应激,并激活炎症通路加重肝脏的炎性损伤;(3)UA诱导线粒体的氧化应激反应,加剧线粒体功能障碍,促进肝脏脂肪从头合成增加;(4)UA激活NOD样受体热蛋白结构域相关蛋白3(NLRP3)炎性小体,产生大量炎性递质,促进MAFLD、胰岛素抵抗的发生与发展。高UA血症不仅可以导致痛风发作,还是慢性肾病、高血压、心脑血管疾病及糖尿病等疾病的独立危险因素,是过早死亡的独立预测因子[29]。非肥胖MAFLD与肥胖MAFLD患者UA水平无明显差异,进一步说明非肥胖MAFLD与肥胖MAFLD可能有相似的心脑血管疾病、糖尿病等风险。
本研究中,非肥胖MAFLD组和肥胖MAFLD组ALT、GGT无明显差异。而且,与单纯肥胖无MAFLD的体检者相比,非肥胖MAFLD患者ALT、GGT是升高的,说明肝细胞的损伤程度与体质量的关系没有与肝脏脂肪含量的关系密切。
目前的研究表明,肝细胞可因为受到脂肪酸浸润导致损伤,引起相关酶升高。ALT不仅是肝细胞损伤的敏感指标,而且可以预测MAFLD从单纯性脂肪肝向非酒精性脂肪性肝炎(NASH)和肝纤维化的发展。本研究结果中ALT为非肥胖MAFLD危险因素,并且对非肥胖MAFLD具有预测价值,与既往研究相符。GGT水平升高常反映肝脂肪沉积和内脏性肥胖。内脏脂肪可导致全身包括肝脏的胰岛素信号受损,加速胰岛素抵抗、脂肪肝和动脉粥样硬化的发生。所以GGT增高对MAFLD发病存在影响[30]。MAFLD已成为体检时血ALT、GGT升高的主要原因[31]。因此,临床上对不明原因的肝脏生化指标异常患者应考虑MAFLD的可能性。
本研究尚存在不足之处:(1)研究对象来自体检人员,容易产生选择偏倚;(2)研究为回顾性研究,缺少反映胰岛素抵抗水平的数据。
综上所述,非肥胖MAFLD患者虽然BMI未达到肥胖,但是已经出现BF及内脏脂肪增加,并且与肥胖MAFLD患者有相似的代谢紊乱及心脑血管疾病的患病风险,早期筛查非肥胖MAFLD值得临床重视。研究提示最具预测价值的指标是VFA,VFA预测非肥胖MAFLD最佳临界值,男性为59.75 cm2,女性为79.15 cm2。VFA可以用作健康人群MAFLD自我监测和临床早期干预的有效指标。人体成分分析仪BIA法检测VFA,操作简便且无创,可在大规模人群体检中应用。针对非肥胖MAFLD的独立危险因素,合理的饮食和运动,控制体质量,减少BF特别是内脏脂肪,维持正常糖脂、嘌呤代谢,对预防非肥胖MAFLD有效。
本文无利益冲突。





















