
比较抗dsDNA抗体4种检测方法,即BioPlex磁珠包被多重免疫法,放射免疫分析法(Farr),ELISA法(MBL-ELISA,EURO-ELISA),HOB-磁微粒化学发光法在SLE患者的检测效能,及其与疾病活动度的相关性分析和各类方法学最适截断值的判定。
选取SLE患者119例,疾病对照组100例,健康对照组200名进行抗dsDNA抗体检测,同时引入短膜虫间接免疫荧光法(CLIFT),分析各方法学与其的一致性;分析不同方法测得抗dsDNA抗体表达量与疾病活动度的相关性;接受者操作特征曲线(ROC曲线)判定各方法学诊断的敏感度及特异度。
依据原厂试剂盒设定的截断值,BioPlex与HOB所测定的抗dsDNA结果,相比其他检测方法,与CLIFT结果总体一致性较高;ELISA(MBL/EURO)方法所测得的结果与CLIFT结果阳性一致性最好;在SLE疾病活动度评判上,Bioplex结果与疾病SLEDAI评分相关性最强(r=0.297 6,P=0.001 2);在SLE是否合并LN 2组患者中,使用Bioplex方法检测抗dsDNA抗体表达量之间差异有统计学意义(P=0.026 8);ROC曲线分析,Bioplex对于SLE患者体内抗dsDNA抗体检测效能最强。
相比其他方法,BioPlex在检测抗dsDNA抗体有较高的特异度,且与疾病活动度和肾脏受累有较好的相关性。
版权归中华医学会所有。
未经授权,不得转载、摘编本刊文章,不得使用本刊的版式设计。
除非特别声明,本刊刊出的所有文章不代表中华医学会和本刊编委会的观点。
SLE是多系统受累的慢性自身免疫病,血清中存在多种自身抗体为其重要的临床特征[1,2]。其中,抗dsDNA抗体作为SLE特异的自身抗体,具有较高的诊断价值[3,4],且可作为疾病活动度的有效监测指标。目前,用于商品化检测抗dsDNA抗体方法多种多样,但国际上仍然将短膜虫间接免疫荧光法(crithi-dialuciliae indirect immunofluorescence test,CLIFT)及放射免疫分析法(farr radioimmunoassay,Farr)作为此项指标检测的标准方法[5,6]。CLIFT以其高度的特异度,被认为是抗dsDNA抗体检测的金标准;但此法手工操作繁琐,难于自动化和定量化。相比之下,Farr法可实现自动化和定量检测;但其具有放射性因而限制了临床应用。近些年来,基于ELISA原理的多种试剂盒上市[7,8],是目前国内应用最为广泛的定量检测抗dsDNA抗体方法。BioPlex 2200 ANA检测近期进入我国,以其检测方式,可一次检测包括抗dsDNA抗体在内的数十种自身抗体[9]。HOB采用了第四代纳米磁微粒化学发光技术,其优势在于可任意抗体单独检测、项目随机组合,是目前国内首创的针对自身抗体检测的一种新方法。本研究旨在使用目前国内市场上常见的多种方法检测抗dsDNA抗体表达,进行全面系统的比较,以期指导临床应用和结果判读。
收集我院2014—2015年明确诊断为SLE的住院患者119例,均符合1997年ACR诊断标准。明确诊断为SLE,且符合下列条件之一即确诊为狼疮肾炎:①有持续性蛋白尿或持续性尿沉渣(尿蛋白定量(24 h)>0.5 g或尿常规蛋白持续+++及以上),离心尿红细胞>5/HPF;②肾功能异常[包括肾小球和(或)肾小管功能];③肾活检异常。疾病对照组100例,包括非SLE的其他CTD,MCTD(4例)、SS(32例)、RA(31例)、SSc(7例)及肌炎(26例),排除肿瘤、感染、结核及肝炎等疾病;健康体检者200名。此试验经过本院伦理委员会批准[仁济伦审〔2016〕007(b)],所有受试者取得知情同意。SLE疾病活动度评判采用SLEDAI-2K标准进行计算[10]。
使用抗dsDNA抗体免疫球蛋白(Ig)G检测试剂盒(Euroimmun)进行分析。受检血清按照1∶10进行稀释,稀释液为PBS(pH=7.4)。取稀释血清25 μl加至反应孔内,将包被有绿荧短膜虫的生物载片覆盖在反应板上,室温孵育30 min,PBS进行冲洗,随后浸泡5 min,滴加20 μl FITC标记的荧光抗体至反应区,取出孵育的生物载片,拭去周围水分,覆盖至抗体反应板上,室温孵育30 min。再一次PBS进行冲洗,随后浸泡5 min。取出所有的生物载片,滴加10 μl封片剂进行封片,显微镜下观察荧光模型。
使用抗dsDNA抗体放射免疫分析药盒(北京北方生物技术研究所)进行检测,首先,向各标准瓶中分别准确地加入0.2 ml蒸馏水溶解,溶解15 min后摇匀备用。离心分离患者血清,20 μl加入聚苯乙烯试管内,同时加入100 μl DNA定量缓冲液,100 μl 125I-DNA液,混匀,37 ℃温育60 min;随后加入1 000 μl免疫分离剂,充分摇匀后,室温放置15 min,3 500 r/min,离心半径为12 cm,离心15 min,吸弃上清,测各沉淀管的放射性计数(cpm)。采用电脑免疫放射法(IRMA)程序的四参数回归自动处理得出结果。
使用MESACUP DNA-Ⅱ TEST"ds"(MBL,Tokyo)检测试剂盒进行检测。受检血清使用样本稀释液以1∶101稀释,100 μl稀释血清加入96孔板酶标板,室温孵育1 h,洗涤液洗板3次,加入100 μl荧光抗体/孔,避光室温孵育1 h,再次洗板3次,加入100 μl酶结合底物/孔,避光室温孵育30 min,加入终止液100 μl/孔,450 nm处读取其吸光度(A)值。依据标准品A值及其所对应的浓度,计算出各待测血清中抗dsDNA抗体的浓度。
使用Anti-dsDNA-NcX ELISA(IgG)(Euroimmun)试剂盒进行。待测血清与样本稀释液以1∶201进行稀释。100 μl稀释血清加入96孔板酶标板,室温孵育30 min,洗涤液洗板3次,加入100 μl荧光抗体/孔,避光室温孵育30 min,再次洗板3次,加入100 μl酶结合底物/孔,避光室温孵育15 min,加入终止液100 μl/孔,450 nm处读取其A值。依据标准品A值及其所对应的浓度,计算出各待测血清中抗dsDNA抗体的浓度。
使用BioPlexANA screen试剂盒进行检测(Bio-Rad,美国)。检测原理为磁珠包被多重免疫分析方法,借助BioPlex 2200 (Bio-Rad,美国)仪器进行,按照仪器使用手册严格操作。
使用自身抗体谱18项检测试剂盒(HOB中国)进行检测,待测血清与样本稀释液以1∶19进行稀释,包被有链霉亲和素的磁微粒50 μl、生物素标记的抗原50 μl,受检血清20 μl加入试管内,混匀后37 ℃放置15 min;将试管转移至磁板上,静置3 min,倾斜倒掉上清,轻轻扣干管内液体;取下试管,加入清洗液500 μl,旋涡混匀重悬磁微粒,放置磁板上3 min,倾斜倒掉上清,轻轻扣干管内液体;重复2次,加入酶结合物135 μl,混匀后37 ℃放置15 min;将试管转移至磁板上,静置3 min,倾斜倒掉上清,轻轻扣干管内液体;取下试管,加入清洗液500 μl,旋涡混匀重悬磁微粒,放置磁板上3 min,倾斜倒掉上清,轻轻扣干管内液体;重复2次;加入200 μl底物液,37 ℃放置5 min,放入化学发光分析仪(HOB中国)进行发光强度测定。
数据统计及绘图均采用GraphPad Prism 4.0.3进行。计量资料采用
±s表示;一致性分析及Kappa值计算采用χ2检验;抗dsDNA抗体表达量与SLEDAI评分进行相关性分析;受试者工作特征曲线(ROC曲线)计算各类方法测定的特异度及敏感度;不同组别间抗dsDNA抗体表达量比较采用Student'st检验,以P<0.05为差异有统计学意义。
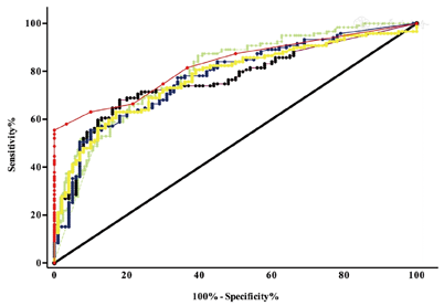
见图1。原厂试剂盒设定截断值BioPlex<10、Farr<7、MBL-ELISA<10、EURO-ELISA<100及HOB-CLIA<10。经分析之后,最适截断值在原有基础上,均有不同程度的提高,最适截断值分别为Bio-Plex(<12.5)、Farr(<17.5)、MBL-ELISA(<12)、EURO-ELISA(<120)及HOB-CLIA(<12.5)。BioPlex曲线下面积最高(AUC=0.8037),其余各法AUC面积差异无统计学意义。BioPlex特异度最强(90.00%),Farr敏感度最高(81.67%),见表1。

ROC曲线分析各方法检测的敏感度及特异度
ROC曲线分析各方法检测的敏感度及特异度
| 项目 | AUC | 截断值(U/ml) | 敏感度(%) | 特异度(%) |
|---|---|---|---|---|
| Bio-Plex | 0.803 7 | <12.5(<10) | 63.03 | 90.00 |
| Farr | 0.772 9 | <17.5(<7) | 81.67 | 61.00 |
| MBL-ELISA | 0.776 6 | <12.0(<10) | 66.00 | 77.31 |
| EURO-ELISA | 0.767 1 | <120.0(<100) | 54.62 | 89.00 |
| HOB-CLIA | 0.753 2 | <12.5(<10) | 77.31 | 75.09 |
注:括号内值为原厂设定的截断值;AUC:接受者操作特征曲线;Bio-Plex:Bioplex多重免疫分析;Farr:放射免疫分析法; ROC:受试者工作特征曲线;HOB-CLIA:磁微粒化学发光法-


见表2。原厂设置的截断值的条件下,BioPlex检测结果与CLIFT最为接近。经最适截断值调整后,各方法的特异度均有不同程度的提高,表现为健康对照组阳性率均≤3%;疾病对照组阳性率在BioPlex和HOB-CLIA均≤5%,而Farr以及2种ELISA方法的疾病对照组阳性率在10%~12%。相应地在SLE患者中抗dsDNA抗体的阳性率经最适截断值校正后均有所下降,其中BioPlex阳性率最低(37%)与CLIFT相当;其余方法阳性率在52%~59%。

各方法在原厂及最适截断值下各群组中抗dsDNA抗体阳性率统计(%)
各方法在原厂及最适截断值下各群组中抗dsDNA抗体阳性率统计(%)
| 组别 | 例数 | CLIFT | Bio-Plex | Farr | MBL-ELISA | EURO-ELISA | HOB-CLIA | |||||
|---|---|---|---|---|---|---|---|---|---|---|---|---|
| <10 | <12.5 | <7 | <17.5 | <10 | <12 | <100 | <120 | <10 | <12.5 | |||
| 健康对照组 | 200 | 0 | 2 | 0 | 47 | 3 | 3 | 1 | 4 | 0.5 | 4 | 1 |
| 疾病对照组 | 100 | 3 | 6 | 5 | 39 | 12 | 43 | 10 | 12 | 12 | 11 | 3 |
| SLE组 | 119 | 35 | 47 | 37 | 81 | 55 | 82 | 59 | 57 | 57 | 55 | 52 |
注:CLIFT:短膜虫间接免疫荧光法;Bio-Plex:Bioplex多重免疫分析;Farr:放射免疫分析法;HOB-CLIA:磁微粒化学发光法-
结果见表3。在原厂设定的截断值下,BioPlex、HOB-CLIA与CLIFT有较高的总体一致性,分别为71.43%及70.59%;最适截断值时,各方法的总体一致率均有所提升。

各类方法在原厂设定及最适截断值下与CLIFT检测抗dsDNA抗体结果一致性分析
各类方法在原厂设定及最适截断值下与CLIFT检测抗dsDNA抗体结果一致性分析
| 截断值 | CLIFT(%) | Kappa值 | |||
|---|---|---|---|---|---|
| 阴性一致率 | 阳性一致率 | 总体一致率 | |||
| Bio-Plex | <10 | 68.83 | 76.19 | 71.43 | 0.419 |
| <12.5 | 75.32 | 71.42 | 73.94 | 0.450 | |
| Farr | <7 | 24.67 | 90.48 | 47.90 | 0.117 |
| <17.5 | 62.34 | 83.33 | 67.23 | 0.368 | |
| MBL-ELISA | <10 | 28.57 | 100 | 53.78 | 0.220 |
| <12 | 61.04 | 85.71 | 69.74 | 0.414 | |
| EURO-ELISA | <100 | 42.86 | 97.14 | 58.82 | 0.238 |
| <120 | 47.62 | 96.01 | 74.79 | 0.516 | |
| HOB-CLIA | <10 | 63.64 | 83.33 | 70.59 | 0.422 |
| <12.5 | 85.71 | 57.14 | 75.63 | 0.591 | |
注:CLIFT:短膜虫间接免疫荧光法;Bio-Plex:Bioplex多重免疫分析;Farr:放射免疫分析法;HOB-CLIA:磁微粒化学发光法-
见图2。BioPlex检测结果与疾病活动度(SLEDAI)有较强的相关性(r=0.297 6,P=0.001 2)。CLIFT阴性组及阳性组间SLEDAI评分也有统计学意义(P=0.000 3)。SLE(78例)伴或不伴LN(41例)2组人群中抗dsDNA抗体表达量结果见图3。BioPlex检测表达量在2组人群中差异有统计学意义(P=0.026 8),其余各法在2组人群中无统计学意义。




抗dsDNA抗体作为SLE重要的特异性自身抗体,在诊断及判定疾病活动度中均发挥着至关重要的作用。目前,市场上针对不同抗dsDNA抗体检测方法,尚未形成规范标准。CLIFT虽然为国际上公认的检测抗dsDNA抗体的特异度最高的检测指标,但其定性检测结果限制了其临床应用。故选取能够兼顾敏感度及特异度的定量检测方法尤为重要。我们的研究几乎囊括了现有的用于检测抗dsDNA抗体的所有定量方法学,并以CLIFT作为参照。结果显示,BioPlex检测结果在诊断的特异度方面最优,其检测值与SLE疾病活动度和肾脏受累有较强的相关性。Bio-Plex与CLIFT结果总体一致性最高,HOB-CLIA次之。Farr及2种ELISA方法与CLIFT的总体一致率较差,主要体现在其阴性一致率不佳。根据ROC曲线分析校正截断值后,各种检测方法与CLIFT的总体一致性(Kappa值)均得到了一定提升。以往研究结果显示:抗dsDNA抗体表达水平在不同种族人群中表达量差异性较大,美国人群水平明显高于欧洲人群[11,12,13,14],加之各中心及使用仪器、实验条件等的不同,所以推荐各实验室应建立符合本实验室的正常值范围,从而大大增强检验效率[15,16,17]。同时,值得强调的是:对于实验数据的判定需要与临床医生紧密结合、充分沟通,才能对检验报告作出全面、准确的解读。
总之,本研究结果显示:Bio-Plex在兼顾特异度和敏感度、以及与疾病活动性和肾脏受累的相关性方面的综合表现优于Farr、ELISA、化学发光方法,对于抗dsDNA抗体检测具有较高的临床价值。特别需要指出的是:Bio-Plex在检测抗dsDNA抗体方面,合并LN的SLE患者抗dsDNA抗体表达量高于单纯SLE患者,2组间差异具有统计学意义,而其他方法均无此现象。一方面可能是由于这种新的检测方法确实在反映肾脏功能方面略有优势,并非是合并LN后此抗体检出率增高,而是此抗体定量值高,合并LN的风险可能增加,但是否真的存在这样的关系,还需要我们作更深一步的研究;另一方面可能由于样本量不足导致结果的偏差,我们下一步工作将继续扩大样本量来进行验证。HOB(中国)是国内首家将化学发光技术运用在自身抗体检测领域,其仪器、试剂本土化有利于降低成本和临床普及,并且与Bio-Plex一样均可很好地实现全自动化、标准化、精确化检测。作为国家"863"计划重大科研项目,在自身抗体检测的自主研发工作中取得了重大突破,通过对其产品进行不断的优化、改良,相信国产试剂也可以达到国际同类产品水平。除本实验列出的实验数据外,各群检测方法针对抗dsDNA抗体的检测,与其他一系列狼疮活动相关的临床实验室指标,如C3、C4及免疫球蛋白等的相关性,后续将进一步扩大探讨。
(本文图3见插页第6-2页)





















