
探讨四维经食管超声心动图(4D-TEE)技术在二尖瓣成形术(MVP)中的应用价值。
回顾性分析2019年2—7月安徽医科大学第一附属医院行MVP的25例二尖瓣反流患者的临床资料,其中男15例、女10例,年龄(55.56±14.40)岁。患者MVP术前均行4D-TEE检查,精准评估二尖瓣反流的病因及病变分型、病变位置和反流程度,测量左-右纤维三角间距离、收缩期瓣环前外侧至后内侧直径(DAlPm)、瓣环前后径(DAP)、瓣叶各个分区(将二尖瓣前叶和后叶的外、中、内部分别命名为A1~A3和P1~P3)的高度等参数,依据检测结果制定手术方案。术中探查对术前超声检测结果进行验证,并选择合适的成形环尺寸,完成MVP操作后,利用亚甲蓝染色直视下测量瓣叶对合高度。心脏复跳后再次行TEE检查,测量瓣叶对合高度,即刻评估手术效果。21例MVP患者术后3个月行经胸超声心动图(TTE)检查,再次评估二尖瓣反流程度。(1)观察术前通过4D-TEE诊断的二尖瓣反流的病因和病变分型、病变位置、反流程度,以及与术中探查结果的一致性;(2)比较术前4D-TEE所得的二尖瓣各参数与手术最终使用的成形环尺寸的相关性;(3)比较心脏复跳后利用TEE测得的对合高度与术中术者在直视下利用亚甲蓝染色测量的对合高度的相关性等;(4)分析术后3个月反流程度的影响因素。
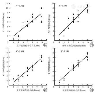
术前4D-TEE的检查结果与术中探查的结果对比,25例患者病因和病变分型诊断的准确率为96.0%(24/25)。对病变部位发生在瓣叶的单一区域或某两个区域诊断的准确率为14/14,对交界区病变及多个区域联合病变诊断的准确率分别为2/3、4/5。术前4D-TEE评估二尖瓣反流程度2级6例、3级2例、4级17例,与术中探查结果一致。通过术前4D-TEE测得的各指标对术中成形环尺寸的逐步多元线性回归分析显示,DAP(X1)、左右纤维三角距离(X2)两个参数进入回归模型,建立多元线性方程:成形环尺寸Ŷ=10.506+0.230X1+0.395X2,模型有统计学意义(P<0.01),R2为0.613,提示模型拟合的效果良好。DAP的标准化偏回归系数为0.486,左-右纤维三角间距离的标准化偏回归系数0.450,提示二者对成形环尺寸的预测均有较大意义。以心脏复跳循环稳定即刻TEE测量的A1-P1、A2-P2、A3-P3的对合高度及三个对合缘的平均对合高度与术中亚甲蓝染色直视下测量的对合高度进行Pearson相关性分析,四组相关系数分别为0.838、0.916、0.951、0.953,均呈正相关(P值均<0.01)。分析术后3个月反流程度的影响因素,进行逐步logistic回归分析结果显示,平均对合高度≤7 mm为术后反流的危险因素,比值比为30.0(P<0.05),提示平均对合高度≤7 mm的患者术后更容易出现反流再次加重。
4D-TEE不仅可以在MVP术前精准地判定二尖瓣反流的病因和病变分型、病变位置及反流程度,并根据测量的定量参数预测术中实际使用的成形环尺寸,协助外科医生手术方案的决策,而且可以在术中实时评估手术疗效,提高手术的成功率;另外,它提供的参数对术后早期的成形效果也起到了一定的预测价值,具有相当重要的临床应用前景。
版权归中华医学会所有。
未经授权,不得转载、摘编本刊文章,不得使用本刊的版式设计。
除非特别声明,本刊刊出的所有文章不代表中华医学会和本刊编委会的观点。
二尖瓣反流是临床上颇为常见的心脏瓣膜病,经典的手术治疗方式是二尖瓣置换术;但随着对二尖瓣结构认识的深入,二尖瓣成形术(mitral valvuloplasty, MVP)逐渐取代瓣膜置换术成为治疗二尖瓣反流的首选术式[1]。
早期开展MVP术前依靠经胸超声心动图(transthoracic echocardiography, TTE)和二维经食管超声心动图(two-dimensional transesophageal echocardiography, 2D-TEE)对病变进行诊断,再根据超声检查的结果拟定大致的成形手术策略;但是对这种二维平面图像的诊断依赖超声医生的诊断经验,且提供给外科医生的临床参数较为有限。四维经食管超声心动图(four-dimensional transesophageal echocardiography, 4D-TEE)技术能够实时、精准地呈现出二尖瓣的空间立体结构,通过类似于外科视野的模式直观地展示出二尖瓣反流时病变瓣叶的形态,减少超声医生对二维图像的解读和外科医生对于解读的再重构步骤,从而更有效地协助手术方案的制定[2]。2019年2—7月安徽医科大学第一附属医院对拟行MVP的二尖瓣反流的患者使用4D-TEE技术进行术前精准评估,指导手术的实施,现对其临床资料进行回顾性分析,探讨4D-TEE技术在MVP中的应用价值。
病例纳入标准:(1)TTE检查诊断为中度及以上的二尖瓣反流;(2)纽约心脏协会(New York Heart Association, NYHA)心功能分级为Ⅱ~Ⅲ级;(3)无TEE操作禁忌证。病例排除标准:(1)合并有先天性心脏病或心肌病;(2)采集的图像质量不符合要求,无法进行图像后处理。
纳入符合条件的二尖瓣反流患者25例,其中男15例、女10例,年龄14~76(55.56±14.40)岁,BMI为(23.61±4.33)kg/m2,体表面积(body surface area, BSA)为(1.73±0.19)m2。25例患者中,合并心房颤动9例、冠心病4例、高血压病9例、糖尿病2例。
本研究符合《赫尔辛基宣言》的要求。患者及家属均签署知情同意书。
荷兰飞利浦公司EPIQ 7C超声诊断仪、成人经胸探头S5-1(频率为1.7~3.4 MHz);德国西门子公司SC 2000超声诊断仪、四维经食管探头Z6Ms(频率为4~6 MHz)。
全身麻醉,在体外循环前未进行肝素化处理的状态下行TEE检查。使用西门子SC 2000超声诊断仪,搭载四维经食管探头Z6Ms完成2D-TEE和4D-TEE的图像采集。将Z6Ms探头置入食管,在距门齿25~40 cm处,调整探头角度和方向,依次显示标准的食管中段0°四腔心切面、60°二尖瓣交界观切面、90°两腔心切面以及135°左心室长轴切面的二维图像,并获取四维重建图像。在D'art模式下将观察点设置在心脏的左房面,获取超声下的外科视野(图1A),明确二尖瓣病变的分型、位置和反流程度,以及是否合并其他瓣膜病变或心内畸形。然后通过2D-TEE测量左-右纤维三角间距离(图1B)。4D-TEE模式下将二尖瓣环、前后叶和主动脉瓣环均涵盖在感兴趣区域之内,采集心律较为规整的连续4个心动周期的四维容积数据,存盘分析。


注:AV为主动脉瓣;MV为二尖瓣;TV为三尖瓣
二尖瓣病变分型:依据美国超声心动图学会(American Society of Echocardiography,ASE)指南关于无创评估自体瓣膜反流Carpentier's分型的建议[3],将二尖瓣病变分为Ⅰ型、Ⅱ型、Ⅲ型,其中Ⅲ型又分为Ⅲa型、Ⅲb型。
二尖瓣病变位置[4]:将二尖瓣后叶的外侧部、中间部和内侧部分别命名为P1、P2、P3,二尖瓣前叶与之对应的部位分别命名为A1、A2、A3,二尖瓣前外交界为C1,二尖瓣后内交界为C2。
二尖瓣反流程度的分级:0级,反流面积<1 cm2;1级,反流面积在1~3 cm2;2级,反流面积>3 cm2;3级,反流面积>3 cm2且反流至左房的血流又倒流;4级,在3级的基础上合并收缩期肺静脉的血流倒流。反流面积的测量方法:彩色多普勒模式下于收缩期二尖瓣闭合时取反流束暴露最为清楚的一帧图像,手动描记其面积。
应用eSie Valves软件进行数据分析:选定采集的数据,软件将自动追踪完整心动周期内二尖瓣瓣环和瓣叶的运动轨迹,创建二尖瓣4D模型,在此模型上测量收缩期瓣环前外侧至后内侧的直径(diameter of anterolateral to posteromedial, DAlPm),即收缩期瓣环前外侧缘与后内侧缘连线的最大径;瓣环前后径(diameter of anterior to posterior, DAP),即收缩期瓣环前缘与后缘连线的最大径;瓣叶各个分区(A1~A3、P1~P3)的高度,即每个分区的瓣叶在瓣环上的附着点到瓣尖对合缘处的距离。
胸骨正中切口入路,全身肝素化,建立体外循环。右房-房间隔入路,依次探查二尖瓣瓣环、瓣叶及瓣下结构的形态,行注水试验,验证术前超声的判断,并以此选择恰当的二尖瓣成形技术。沿二尖瓣瓣环间断缝合一圈成形线备用,对瓣叶有病变的患者采用瓣叶矩形切除、三角形切除、瓣叶滑行、腱索转移、人工腱索植入、缘对缘缝合等技术消除病变,然后将二尖瓣成形环测环器(塞规)放置于二尖瓣瓣环水平,保持印有"M"的一面朝上,让塞规前缘的两个切迹分别对准左、右纤维三角,若此时塞规的面积与二尖瓣前叶的面积相当,则塞规的型号对应的就是理想的成形环尺寸(图1C)。利用成形线将选定好的成形环缝合固定在二尖瓣瓣环上。成形操作完成后,再次行注水试验,结果满意后直视下测量瓣叶的对合高度:将二尖瓣叶的心房面进行亚甲蓝染色,瓣叶染色和非染色区域的交界线即为瓣叶的对合线,测量对合线中点到瓣缘中点的距离即对合高度(图1D)。
心脏复跳以后,逐渐撤除体外循环,在循环相对稳定的状态下,即维持血压120/80 mmHg(1 mmHg=0.133 kPa)、心率90次/分钟左右,再次行TEE检查。观察二尖瓣叶的活动情况,明确有无二尖瓣收缩期前向运动(systolic anterior motion, SAM)现象,测量瓣口的反流面积、前向血流的流速和压差,显露并测量A1-P1、A2-P2、A3-P3三个对合缘的对合高度,综合评估成形效果。若术中成形时使用了瓣叶的缘对缘缝合技术,则所在区域内瓣叶对合缘的对合高度无法测量,此时只测量其余瓣叶对合缘的对合高度。
A1-P1、A2-P2、A3-P3三个对合缘的显露方法[5]:在标准的食管中段四腔心切面显示A2-P2区,在食管中段五腔心切面显示A1-P1区,在显示冠状静脉窦的深食管短四腔心切面显示A3-P3区。在每个切面选定舒张早期、收缩末期两个时相,舒张早期测量二尖瓣前叶的长度,收缩末期测量前叶对合点至瓣环的长度,两者之差即对合高度[6]。
术后患者为自主心律,血压维持在120/80 mmHg、心率维持在90次/分钟左右时:若反流程度为0~1级时判定为手术成功;2级及以上的反流,告知术者,可进行二次瓣膜成形或改做瓣膜置换术。
所有成功施行MVP的患者于术后3个月来我院门诊行TTE检查,彩色多普勒评估二尖瓣的反流程度。
(1)以术中探查结果为金标准,观察术前4D-TEE对二尖瓣反流的病因和病变分型、病变位置、反流程度,诊断的准确率;(2)分析术前4D-TEE所得的二尖瓣各参数与手术最终使用的成形环尺寸的相关性;(3)分析心脏复跳后利用4D-TEE测得的对合高度与术中直视下亚甲蓝染色测量的对合高度的相关性等;(4)分析术后3个月反流程度的影响因素:以术后3个月的二尖瓣反流程度为因变量,选择性别、年龄、术后即刻反流程度(0级定义为0,1、2、3级定义为1)、术中超声测量的平均对合高度(>7 mm定义为0,≤7 mm定义为1)等为自变量,进行逐步logistic回归分析。
采用SPSS 19.0统计软件对数据进行分析。服从正态分布的计量资料用
±s表示。二尖瓣成形术前各指标与术中成形环尺寸的相关性用逐步多元线性回归分析,术中TEE测得的对合高度与亚甲蓝染色测得的对合高度的相关性采用Pearson相关分析。采用逐步logistic回归分析术后3个月反流程度的影响因素。以P<0.05为差异有统计学意义。
术前4D-TEE测量:反流面积为(17.32±7.03)cm2;瓣叶各分区的高度A1为(15.50 ±1.80)mm,A2为(22.40±2.90)mm ,A3为(15.00±2.60)mm,P1为(13.40±2.90)mm, P2为(13.30±2.90)mm, P3为(14.60±4.60)mm, DAlPm为(38.60±3.20)mm ,DAP为(32.80±3.10)mm,左-右纤维三角间距离(31.00±0.31)mm。
二尖瓣反流的病因和病变分型:Carpentier's Ⅰ型3例,均为二尖瓣环扩张引起的瓣叶反流;Carpentier's Ⅱ型21例,包括二尖瓣腱索断裂合并瓣叶脱垂9例、单纯的二尖瓣脱垂8例、二尖瓣赘生物合并瓣叶脱垂3例、Barlow's病1例;Carpentier's Ⅲb型1例,为缺血性二尖瓣反流。以术中探查的结果为金标准,25例中24例术前4D-TEE诊断正确;仅有1例术前诊断前叶广泛脱垂(未发现断裂的腱索),但术中另发现前叶A1区有一处腱索断裂。术前4D-TEE病因和病变分型诊断的准确率为96.0%(24/25)。
二尖瓣病变位置:25例患者中有21例存在瓣叶结构病变,其中A2区病变2例、P1区病变1例、P2区病变3例、P3区病变3例、A2区合并A3区病变2例、P2区合并P3区病变1例、A2区合并P2区病变2例,与术中探查结果相一致;C1区病变3例,术中探查2例吻合,1例为3个区域的联合病变;术前诊断3个及以上区域的联合病变4例,术中探查共发现5例。术前4D-TEE对病变部位发生在瓣叶的单一区域或某两个区域诊断的准确率为14/14,对交界区病变及多个区域联合病变诊断的准确率分别为2/3、4/5。
二尖瓣反流程度的分级:术前4D-TEE评估二尖瓣反流程度2级6例、3级2例、4级17例,与术中探查结果一致。实施二尖瓣成形术后,心脏复跳循环稳定即刻TEE观察反流程度:0级为13例;1级为8例;2例瓣叶条件不理想,直接行二尖瓣置换术;2例成形结束后TEE观察到2级以上的反流,与术者沟通后改行二尖瓣置换术。
25例患者中,21例成功实施二尖瓣成形术,术后3个月门诊随访,行TTE检查,二尖瓣反流:0级12例,1级4例,2级2例,3级3例。
以21例成功手术患者为研究对象分析:术中实际使用的成形环尺寸为因变量,性别、年龄、BMI、BSA、房颤、冠心病、高血压病、糖尿病、左-右纤维三角间距离、反流面积、DAlPm、DAP等因素为自变量,进行逐步多元线性回归。其中性别、年龄、BMI、BSA、房颤、冠心病、高血压病、糖尿病、反流面积、DAlPm等变量按多元线性模型的建模标准,从方差中排除(P值均>0.05),见表1。最后进入回归模型的参数为DAP(X1),左-右纤维三角间距离(X2),建立多元线性方程:成形环尺寸
=10.506+0.230X1+0.395X2。对该模型进行方差分析,模型有统计学意义(P<0.01),决定系数的R2值为0.613,说明模型拟合的效果良好。DAP的标准化偏回归系数为0.486,左-右纤维三角间距离的标准化偏回归系数0.450,可以看出二者对成形环尺寸的预测均有较大意义。见表2。

二尖瓣成形术前各指标对术中成形环尺寸的逐步多元线性回归分析
二尖瓣成形术前各指标对术中成形环尺寸的逐步多元线性回归分析
| 观察指标 | Beta In | t值 | P值 | 偏相关 | 共线性统计量容差 |
|---|---|---|---|---|---|
| 性别 | 0.232 | 1.344 | 0.197 | 0.310 | 0.689 |
| 年龄 | -0.221 | -1.441 | 0.168 | -0.330 | 0.866 |
| BMI | -0.253 | -1.829 | 0.085 | -0.406 | 0.995 |
| BSA | -0.121 | -0.737 | 0.471 | -0.176 | 0.824 |
| 房颤 | -0.107 | -0.693 | 0.498 | -0.166 | 0.924 |
| 冠心病 | -0.005 | -0.030 | 0.977 | -0.007 | 0.943 |
| 高血压病 | -0.207 | -1.399 | 0.180 | -0.321 | 0.934 |
| 糖尿病 | -0.202 | -1.404 | 0.178 | -0.322 | 0.985 |
| 反流面积 | -0.076 | -0.412 | 0.685 | -0.100 | 0.663 |
| DAlPm | -0.315 | -0.888 | 0.387 | -0.210 | 0.173 |
注:BMI为体质量指数;BSA为体表面积;DAlPm为瓣环前外侧至后内侧的直径

二尖瓣成形术中成形环尺寸的多元线性回归
二尖瓣成形术中成形环尺寸的多元线性回归
| 观察指标 | 偏回归系数 | 标准误 | 标准化偏回归系数 | t值 | P值 |
|---|---|---|---|---|---|
| 常数 | 10.506 | 4.067 | 2.583 | <0.05 | |
| DAP | 0.230 | 0.076 | 0.486 | 3.035 | <0.01 |
| 左-右纤维三角间距离 | 0.395 | 0.140 | 0.450 | 2.812 | <0.01 |
注:DAP为瓣环前后径
21例成功手术患者中,以心脏复跳循环稳定即刻TEE测量的A1-P1、A2-P2、A3-P3的对合高度及三个对合缘平均对合高度与术中直视下测量的对合高度进行Pearson相关性分析显示,均呈正相关(P值均<0.01)。见表3、图2。


注:A1为二尖瓣前叶外侧部分;A2为二尖瓣前叶中间部分;A3为二尖瓣前叶内侧部分;P1为二尖瓣后叶外侧部分;P2为二尖瓣后叶中间部分;P3为二尖瓣后叶内侧部分

21例患者术中超声测量的对合高度与亚甲蓝染色直视下测量的对合高度
21例患者术中超声测量的对合高度与亚甲蓝染色直视下测量的对合高度
| 观察指标 | 例数 | ±s | Pearson | R2值 | P值 | |
|---|---|---|---|---|---|---|
| 术后即刻TEE(mm) | ||||||
| A1-P1对合高度 | 19 | 6.90±1.80 | 0.838 | 0.702 | <0.01 | |
| A2-P2对合高度 | 20 | 7.90±2.00 | 0.916 | 0.839 | <0.01 | |
| A3-P3对合高度 | 19 | 6.70±1.80 | 0.951 | 0.904 | <0.01 | |
| 平均对合高度 | 21 | 7.10±1.80 | 0.953 | 0.908 | <0.01 | |
| 术中直视下测量的对合高度(mm) | 21 | 7.40±1.90 | ||||
注:A1为二尖瓣前叶外侧部分;A2为二尖瓣前叶中间部分;A3为二尖瓣前叶内侧部分;P1为二尖瓣后叶外侧部分;P2为二尖瓣后叶中间部分;P3为二尖瓣后叶内侧部分;平均对合高度为三个对合缘的对合高度的平均值
结果显示:仅平均对合高度具有统计学意义,比值比为30.0(P<0.05),平均对合高度≤7 mm的患者术后更容易出现反流再次加重。见表4。

术后个3个月反流程度的logistic回归分析
术后个3个月反流程度的logistic回归分析
| 观察指标 | b值 | 标准误 | Wald | P值 | 比值比(95%可信区间) |
|---|---|---|---|---|---|
| 平均对合高度 | 3.401 | 1.329 | 6.548 | <0.05 | 30.0(2.2~406.0) |
二尖瓣反流是心脏外科常见的瓣膜病之一,ASE指南中对其病因和病变分型作出了很好的阐述[3,8],其中又以Carpentier Ⅱ型在临床上最为多见。MVP是外科治疗二尖瓣反流的有效方法之一,能够保留自体瓣膜及瓣下结构,对于左心室结构的完整性和左心室的收缩功能也有明确的保护作用。从远期结果来看,MVP术后无需终身服用抗凝药物,而且MVP术后的出血、感染、血栓等不良事件的发生率均低于二尖瓣置换术[9]。因此,MVP逐渐成为治疗二尖瓣反流的首选术式。
在进行MVP之前,对二尖瓣形态、病变定位、反流机制评估的准确度,直接关系到手术的成败及患者的预后。诊断二尖瓣反流可采用超声心动图(TTE、TEE)和非超声心动图(计算机运动造影术、心血管MR、心血管造影术)等方法。Zhang等[10]通过门控心血管MR扫描的方法获得四维血流信息,以此评估各种类型的成形环的几何形态对左心室血流动力学的影响;结果显示,对于缺血性二尖瓣反流的患者,二尖瓣成形术可导致明显的二尖瓣狭窄和左心室血流动力学异常。但利用心血管MR评估二尖瓣反流检查过程极为繁琐,四维血流信息的软件后处理过程耗时较长,不利于临床上广泛开展。相较于非超声心动图的方法,超声心动图凭借其极高的时间分辨率和操作简便、价格低廉、重复性高的优势成为诊断二尖瓣反流的核心方法。传统的TTE技术受制于患者体型、肺气干扰等因素的限制,成像质量一般。上世纪80年代出现的2D-TEE技术对二尖瓣的病变的诊断和治疗起到了划时代的作用,后续发展的实时三维TEE(3D-TEE)又将TEE技术提升到了一个新的高度。然而,近些年才应用于临床的4D-TEE在保留历代TEE技术特点的基础上,融合了最新的四维成像的方法,使得超声医生和外科医生对二尖瓣精细的空间立体结构的理解更为深刻。一方面它可以做到一键实时显示二尖瓣四维动态图像,让临床医生迅速掌握二尖瓣反流的病因及病变分型、病变位置和反流程度;另一方面,它所搭载的强大的瓣膜定量分析软件,能够实时测量二尖瓣各个细分部位的量化参数,如瓣环的前后径、左右径、瓣环面积、瓣叶各个分区(A1~A3、P1~P3)的高度,为外科医生快速制定手术方案提供了很大的帮助。孙晓宁等[2]研究结果显示,心脏瓣膜修复术中应用4D-TEE能够实时显示瓣叶的各项参数,如对合面的大小、瓣叶高度、瓣叶面积等,对于瓣膜运动形态以及主动脉管壁位移等信息也可以较为清晰的显示。Khalili等[11]在研究中探讨了经食管四维超声心动图诊断左心瓣膜疾病的价值,研究发现4D-TEE的重建图像可以任意切割,便于从各种角度观察瓣膜,显示病变瓣膜的立体解剖形态,能够较为准确地测量主动脉瓣环最大径、二尖瓣瓣口面积等,在换瓣手术中为人工瓣的选择提供参考。本研究中,体外循环前利用4D-TEE对二尖瓣反流患者病因和病变分型诊断的准确率高达96%,对病变部位发生在瓣叶的单一区域或某两个区域诊断的准确率为14/14,对交界区病变及多个区域联合病变诊断的准确率分别为2/3、4/5,这与以往的文献报道相类似[12,13]。
既往MVP进行过程中,在体外循环状态下术者依靠的是左心室注水试验来观察二尖瓣的病变情况,二尖瓣成形结束后,判定成形效果的好坏也是依据注水试验后瓣口是否有反流以及反流量的多少来估计[14];但是,在体外循环心脏停跳的状态下,心腔内没有血液的充盈,这和心脏自主搏动的生理状态存在很大的差异,即使行注水试验心室腔也无法达到循环稳定时的压力,这种情况下对二尖瓣反流进行评估往往会存在一定偏差[15]。术中TEE技术的出现就很好地弥补了上述不足。
传统的使用二尖瓣成形环测环器测量确定成形环尺寸的方法是在心脏停搏、心室腔塌陷的状态下完成的,与生理状态存在一定差异,导致成形环尺寸的选择上可能会出现误差。对于二尖瓣后叶组织较多,尤其是Barlow's病的患者,若使用了偏小的成形环将会有SAM现象的风险产生[16]。张玲芳等[7]对19例行二尖瓣成形术的患者的术中实时3D-TEE数据进行分析,认为TEE测量左-右纤维三角间距离后推荐的成形环尺寸与使用成形环测环器测量最终确定的成形环尺寸一致性良好。在实际的术中操作中笔者发现,二尖瓣环的左-右纤维三角间距离与DAP在很多情况下并不相等,如果单是依靠左-右纤维三角间距离去选择成形环的尺寸可能会出现术后瓣口的中心性反流或SAM现象,严重时可致成形失败。所以,综合左-右纤维三角间距离以及DAP这两个参数来推荐成形环的尺寸会更具可靠性。本研究中,DAP与左-右纤维三角间距离对成形环尺寸的选择均有较大的预测价值,证实了以上观点。
超声评价二尖瓣叶的对合情况有两种方法[17,18]:一是通过3D-TEE计算瓣叶的对合面积,二是通过2D-TEE计算瓣叶的对合高度,两者的评估效果是一致的,但前者由于操作过程过于繁琐,不利于术中的即刻评估。所以,在本研究中,笔者还是选用对合高度这一指标。本研究结果显示,心脏复跳后利用超声测量的A1-P1、A2-P2、A3-P3三个对合缘的对合高度及总体平均对合高度均与术中亚甲蓝染色直视下测量的对合高度具有良好的相关性,进一步说明利用术中4D-TEE即刻评估二尖瓣成形效果的可行性,这与以往的文献报道是一致的。相较于心脏处于静止状态下使用亚甲蓝染色测量对合高度,心脏复跳后利用超声测量的对合高度更接近于心脏生理状态下瓣叶的对合状态,操作简单易行,重复性高。潘泽雁等[5]研究证实,当对合高度>8 mm时,远期不易发生反流。在本研究中,术后3个月反流程度影响因素的分析结果显示,平均对合高度≤7 mm是导致患者术后反流的危险因素,比值比为30.0(P<0.05),证实了术中超声测量的平均对合高度≤7 mm的患者术后更容易出现二尖瓣反流再次加重。这与潘泽雁等[5]的研究结果相吻合。由此说明,术中4D-TEE在MVP术后即刻评价手术效果,乃至于评估患者的早期预后方面,均扮演着不可或缺的重要角色,值得我们今后在这方面做出更大的努力。
本研究不足之处有:(1)单中心研究,纳入的样本数较少,对不同病因引起的二尖瓣反流没有细分亚组,还需要今后持续地扩大样本量继续研究。(2)患者术后的随访时间较短,近、中期的效果还要依靠随访时间的不断延长来进行验证。(3)术后即刻超声测量瓣叶对合高度为手动测量,且成形环后方的声影会遮挡一部分瓣叶的显露,因此存在测量误差的情况。(4)体外循环前和术后即刻评估二尖瓣反流程度使用的是TEE,而术后3个月门诊随访评估反流程度采用的是TTE,主要是出于患者此时身体尚未完全康复且仍需华法林抗凝治疗,应尽量避免带有侵袭性操作的检查等方面的考虑。
综上所述,4D-TEE不仅可以在MVP前精准地判定二尖瓣反流的病因和病变分型、病变位置及反流程度,并根据测量的定量参数预测术中实际使用的成形环尺寸,协助外科医生手术方案的决策,而且可以在术中实时评估手术疗效,提高了手术的成功率;另外,它提供的参数对术后早期的成形效果也起到了一定的预测价值,因此具有相当重要的临床应用前景。
所有作者均声明不存在利益冲突

±s



















