
孕期营养相关高危因素的筛查和管理对改善妊娠不良结局有着重要意义。该文描述并总结了营养科和产科联合管理的1例多重营养素缺乏孕妇的临床相关资料,包括营养素评估、饮食评价、胎儿发育情况、营养处理等,并结合文献探讨了维生素A、维生素D、铁等营养素的监测和干预在优化母婴健康中的贡献。
版权归中华医学会所有。
未经授权,不得转载、摘编本刊文章,不得使用本刊的版式设计。
除非特别声明,本刊刊出的所有文章不代表中华医学会和本刊编委会的观点。
孕期需要摄入足够的能量、蛋白质、维生素和矿物质等以满足母体和胎儿的营养需求。但部分孕妇饮食不均衡,可造成多重微量营养素缺乏。营养素缺乏是妊娠不良结局的一个关键决定因素,其发生率居高不下。我国农村孕妇维生素A缺乏发生率为11.7%[1],上海地区维生素D缺乏和不足率高达98.4%[2],孕早、中、晚期缺铁性贫血患病率分别为1.96%、8.40%和17.82%[3]。然而,国内外关于孕妇个体营养需求和支持的证据有限。在此,本文报告1例孕期多重营养素缺乏孕妇的管理过程,为临床更好地进行孕期营养管理提供参考。
患者,女性,31岁,孕11周+1,以“孕吐、恶心、头晕、乏力1个月余”为主诉,于孕期营养门诊就诊。生育史:孕1产0,宫腔内人工授精妊娠,双胎,末次月经为2021年2月2日,预产期为2021年11月9日。既往史:否认过敏、肝或肾疾病、消化道疾病、自身免疫病等病史。备孕期补充综合维生素3个月,孕后改为单纯叶酸片。
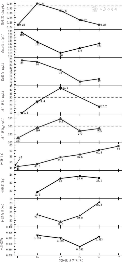
营养评估、诊断和处理:身高160 cm,孕前体重45 kg,体重指数为17.6(消瘦状态),第一次就诊时(孕11周+1)体重46 kg。回顾3天饮食情况,发现患者饮食不规律,结构不合理,挑食,早餐为黑咖啡,中餐多不吃,晚餐为外卖(宫保鸡丁、水煮牛肉、鱼丸汤等),高油高盐,全天无主食。嘱孕妇积极增加全天饮食量,尤其是主食、植物油、坚果、瘦肉、肝脏、海产品,确保体重每月增长2 kg。营养评估结果显示:维生素A 0.25 mg/L(≥0.33 mg/L),维生素E 6.3 mg/L(≥5.5 mg/L),25羟维生素D 9.4 μg/L(≥30 μg/L),维生素B12 227 ng/L(>300 ng/L),血红蛋白129 g/L(≥110 g/L),平均红细胞体积85.6 fl(82.0~97.0 fl),平均红细胞血红蛋白浓度346 g/L(320~360 g/L),平均红细胞血红蛋白29.6 pg(27.0~32.0 pg),铁蛋白25 μg/L(14~307 μg/L),血清铁720 µg/L(500~1 700 µg/L),转铁蛋白 1.95g/L(2.00~3.60 g/L),总铁结合力2750 µg/L(2 500~4 500 µg/L),转铁蛋白饱和度26.2%(25.0%~50.0%),C反应蛋白0.50 mg/L;提示维生素A缺乏、维生素E缺乏、维生素B12缺乏、维生素D严重缺乏、铁缺乏。给予复合维生素B片,口服每日6片,综合维生素每日1片(表1),维生素C 0.3 g/d,多糖铁复合物胶囊150 mg/d,甲钴胺片0.5 mg/d,硒酵母片200 µg/d,维生素A 5 000 IU/d,维生素D 1 000 IU/d。

患者口服两种维生素片营养成分表
患者口服两种维生素片营养成分表
| 成分 | 综合维生素(片) | 复合维生素B(片) |
|---|---|---|
| 叶酸(µg) | 400 | — |
| 维生素B1(mg) | 1.2 | 3 |
| 维生素B2(mg) | 1.6 | 1.5 |
| 维生素B6(mg) | 1.9 | 0.2 |
| 维生素B12(µg) | 4.5 | — |
| 生物素(µg) | 40 | — |
| 烟酸(mg) | 15 | — |
| 泛酸(mg) | 6 | — |
| 维生素E(mg) | 15.8 | |
| 维生素D(µg) | 20 | — |
| 维生素C(mg) | 55 | — |
| 二十二碳六烯酸(mg) | 200 | — |
| 烟酰胺(mg) | — | 10 |
| 泛酸钙(mg) | — | 1 |
孕16周复查,回顾饮食,基本可。营养评估结果显示:维生素A 0.34 mg/L,维生素E 13.0 mg/L,25羟维生素D 24.4 μg/L,维生素B12 296 ng/L,血红蛋白123 g/L,铁蛋白24 μg/L,体重48.3 kg,骨骼肌19.6 kg,体脂含量22.6%,水肿指数0.394;提示相关营养素缺乏多有改善,维生素D和铁仍缺乏,继续当前医嘱并增加瘦肉和动物肝脏的摄入。
孕22周+1复查,饮食中主食量少,多精米、精面,好吃甜食。营养评估结果显示:维生素A 0.31 mg/L,维生素E 14.8 mg/L,25羟维生素D 42.1 μg/L,维生素B12 345 ng/L,血红蛋白116 g/L,铁蛋白18 μg/L,体重54.1 kg,骨骼肌23 kg,体脂含量19.9%,水肿指数0.392;提示维生素D缺乏改善,铁缺乏,增重快。将多糖铁复合物胶囊增至300 mg/d,增加钙666 mg/d,调整维生素D为666 IU/d,增加高蛋白食物,减少甜食和快消化淀粉食物的摄入。
孕27周复查,饮食结构不合理,经常在外就餐,无加餐,主食多,红肉、鱼肉、动物血等蛋白质少,蔬菜少。营养评估结果显示:维生素A 0.27 mg/L,维生素B12 270 ng/L,血红蛋白119 g/L,铁蛋白10 μg/L,体重56.6 kg,骨骼肌23.6 kg,体脂含量22.2%,水肿指数0.386。提示铁缺乏,维生素B12缺乏,维生素A缺乏加剧,在当前医嘱上增加维生素A的摄入,每天10 000~20 000 IU,增加动物性食物和深色绿叶蔬菜。
孕32周+1复查,饮食情况未改善,主食多,蛋白质少,考虑低蛋白血症,处于轻微水肿状态。营养评估结果显示:维生素A 0.25 mg/L,25羟维生素D 17.7 μg/L,维生素B12 285 ng/L,血红蛋白122 g/L,铁蛋白12 μg/L,体重60.5 kg,骨骼肌23.1 kg,体脂含量28.3%,水肿指数0.393;提示铁缺乏,维生素D不足,维生素A仍缺,维生素B12稍微改善。增加钙至999 mg/d,维生素D为999 IU/d,增加蛋白粉40~50 g/d,增加瘦肉、青菜,食用杂粮饭,睡前适当加餐(图1、2)。胎儿发育情况见表2。





患者不同随诊时间的胎儿生长发育情况
患者不同随诊时间的胎儿生长发育情况
| 胎儿指标 | 孕16周+1 | 孕21周+1 | 孕28周+4 | 孕31周 | 孕34周 | 孕36周+6 |
|---|---|---|---|---|---|---|
| 孕16周+1/孕16周+1 | 孕21周+3/孕21周+2 | 孕28周+6/孕28周+5 | 孕31周/孕31周 | 孕34周+1/孕34周 | 孕37周/孕37周 | |
| 双顶径(cm) | 3.4/3.3 | 5.3/5.4 | 7.8/7.7 | 7.9/8.1 | 8.9/8.7 | 9.6/9.5 |
| 头围(cm) | 12.5/12.0 | 19.2/19.4 | 28.1/27.8 | 29.1/29.4 | 31.2/30.8 | 34.2/34.2 |
| 腹围(cm) | 10.1/10.2 | 18.0/16.3 | 24.0/24.4 | 27.8/27.2 | 30.5/30.0 | 32.8/32.9 |
| 股骨长(cm) | 2.0/2.0 | 3.5/3.2 | 5.4/5.4 | 6.0/6.0 | 6.7/6.6 | 6.6/6.6 |
注:随诊时间分为实际随诊孕周(上行)和超声参考孕周(下行)对应
患者于孕37周入院,行剖宫产分娩两女婴,生产时产妇体重64 kg,孕期总增重19 kg,新生儿体重分别为2 750 g和2 650 g,Apgar评分均为满分。
微量营养素即维生素和矿物质,人体需要量极少,但孕期微量营养素缺乏是中低收入国家面临的重要课题,与妊娠期高血压疾病、贫血、低出生体重儿、早产等密切相关[4]。合理补充微量营养素不仅是为了满足孕妇的营养需求和胎儿生长发育,对于改善妊娠不良结局也有着重要意义。既往研究表明,补充多种微量营养素可降低早产(RR=0.95,95%CI:0.90~1.01)和低出生体重(RR=0.88,95%CI:0.85~0.91)发生率[5]。北京协和医院孕期营养门诊是我国率先开展多种微量营养素水平个体化评估和管理的机构,孕期人体微量营养素的营养基础及代谢变化的个体差异大,干预方法和效果尚待广泛深入探讨,本例患者在孕早期接受产科孕期保健门诊的高危因素筛查识别出营养相关问题后转入孕期营养门诊进行管理,孕期多次随诊,能够较为完整体现孕期多维度营养管理过程。
维生素A是一种脂溶性维生素,也是一种维持正常视觉和感光功能、保证上皮细胞和黏膜结构完整、促进免疫及影响造血等功能的必需微量营养素[6]。孕期维生素A需求量大约增加了10%~20%,摄入的维生素A不足会对母婴造成极大影响,新生儿维生素A缺乏可能影响胚胎发育,导致胚胎死亡或发育异常,包括心脏、视力、肺和中枢神经系统发育的异常。母体缺乏维生素A首要的临床后果是夜盲症的发生,可能促进子痫前期的发展,还可能造成红细胞分化障碍进而导致贫血[7]。2010至2013年中国国民营养与健康调查数据显示,我国孕妇维生素A缺乏发生率为5.3%[8]。虽然孕妇在整个妊娠期都易出现维生素A缺乏,但是由于妊娠晚期母体血容量生理性增加和胎儿发育加速所需,维生素A缺乏在妊娠晚期发生率最高[9]。一项Meta分析显示,孕期补充维生素A对产妇或新生儿死亡、死产、低出生体重、早产没有显著影响,但降低了产妇贫血、感染和夜盲的风险[10]。该孕妇在孕11周维生素A的水平为0.25 mg/L,孕早、中期予以维生素A 5 000 IU/d,孕晚期加量至10 000 IU/d,维生素A水平在孕16周升高到正常0.34 mg/L,随后逐渐下降,孕32周降至0.25 mg/L。《中国居民膳食营养素参考摄入量》2013版推荐维生素A剂量为孕早期700 µg/d(2333 IU/d),孕中晚期在此基础上再增加70 µg/d(233 IU/d)[11],失衡状态下,仅通过饮食调整难以达到正常水平。由于过量摄入维生素A有致畸作用,世界卫生组织建议,在怀孕期间的最大剂量为每天10 000 IU或怀孕60天后每周25 000 IU[9];此外,亦建议在补充食物的同时,增加食物的种类和营养,以增加维生素A的摄入量[7]。该孕妇孕早期维生素A水平偏低,可能源于孕前消瘦及孕早期妊娠反应导致食物维生素A摄入不足及脂肪吸收减少、体内维生素A储备不足,按照生理剂量干预后可见提升。但在孕晚期复查发现,维生素A水平再次下降,说明胎儿快速生长、需求量明显增加,孕晚期的干预剂量可能尚需进一步提高,甚至应突破10 000 IU的负荷剂量才能真正改善维生素A储备不足的局面。尽管本例患者孕晚期维生素A干预未能完全纠正缺乏、达成充足储备,但扭转了血红蛋白下降趋势,预防了孕期贫血的发生。基于连续的孕期维生素A营养监测结果,该患者在产后、母乳喂养阶段将继续强化维生素A补充,以满足泌乳的需求,这会有助于预防新生儿因宫内维生素A储备不足或出生后母乳来源不足导致的缺乏。
维生素D缺乏已成为一个全球性的健康问题。2019年,北京城区孕妇维生素D缺乏率为32.7%,不足率为29.4%[12]。维生素D充足对于子痫前期、妊娠糖尿病、早产等有一定的预防效果[13]。《中国居民膳食营养素参考摄入量》2013版修订简介[11]建议孕妇每天摄入400 IU维生素D,世界卫生组织鼓励孕妇通过阳光照射和饮食摄取维生素D,目前尚未形成统一的推荐量[14]。本病例孕早期维生素D浓度9.4 μg/L,为严重缺乏状态;遵医嘱给予1 000 IU/d维生素D进行补充,维生素D营养状况逐渐提高,在孕22周达到42.1 μg/L,为充足状态;但孕32周,维生素D浓度为17.7 μg/L,显著降低,将维生素D补充剂量增至2 000 IU/d,之后未复查结果。本例孕妇维生素D营养状态波动原因可能与孕妇维生素D达标后即停用维生素D补充剂或者阳光照射减少,依从性较差有关。该病例提示,孕期维生素D的补充需要个体化。针对维生素D严重缺乏的孕妇,400 IU/d短期内不能满足营养需求;维生素D干预达到充足后仍需要一定剂量进行维持;规律服用维生素D补充剂和定期复查才能及时发现和处理孕期缺乏。
铁缺乏在妊娠期及产后非常普遍,铁缺乏引起的贫血为缺铁性贫血,是全球大部分国家的中度或重度公共卫生问题。2018年,中国孕产妇及新生儿健康监测项目中,206 753名孕妇缺铁性贫血患病率为41.98%[15]。同时对1 714名孕妇的调查数据显示,孕期从未补充过铁剂的比例高达61.9%[16]。妊娠期铁缺乏和缺铁性贫血诊治指南[17]指出,非贫血孕妇如果血清铁蛋白<30 µg/L,应摄入元素铁60 mg/d,以口服铁剂补充治疗为主,并改善饮食,进食富含铁的食物。对于铁储备低或耗尽的女性,可能需要补充元素铁100~200 mg/d来满足胎儿的铁需求和补偿分娩时失血导致的铁丢失[18]。孕期铁的需求量随孕周增加而增加,孕早、中、晚期铁的需要量分别为1.3 mg、4 mg和9 mg。本病例双胎妊娠过程中一直处于铁储备不足的状态,补充剂量不断攀升,最终超过指南推荐上限的50%,仍未能实现铁储备充足状态。不过,因对协同营养素(维生素A、蛋白质、锌、硒、叶酸、维生素B12等B族维生素、维生素C)的积极补充,该病例未发生孕期贫血,并收获了良好的妊娠结局。该病例提示,孕期补铁方案需要根据孕期需要量和检查结果进行及时调整,同时强调铁的饮食来源,并重视协同营养素的管理。
为满足胎儿生长发育、母体健康及产后乳汁分泌等,孕妇需要额外的营养储备,均衡膳食是最主要营养补充方式。然而,研究显示我国孕妇饮食中一方面能量摄入过多,另一方面铁、锌、硒、维生素 A、维生素D、B族维生素等微量营养素缺乏较为普遍,且孕妇微量营养素的需要量很难通过日常饮食来满足。因此,膳食补充剂成为孕期营养补充的重要方式。本病例改善营养状态依从性较差,提示临床还应通过多种健康宣教方法和管理模式强调孕妇不良饮食结构的调整和合理建议微量营养素的补充,平衡膳食与膳食补充剂的摄入以满足营养需求。
孕期多重微量营养素缺乏的管理是孕期保健工作的重要组分,本病例存在孕前消瘦、双胎等高危因素,孕早期发现维生素A缺乏、维生素D缺乏及铁缺乏等不利状况,经过产科和营养科的协作,施以连续监测和干预,未发生妊娠不良结局,是开展孕期营养相关高危因素的筛查和管理的一个成功范例。孕期微量营养素缺乏值得重视,尤其是饮食依从性较差的妊娠妇女。相关临床研究也亟待开展,以便在不远的将来获得孕期多重营养素缺乏重要的健康管理依据。





















