
了解我国≥18岁居民身体活动不足流行状况,并探讨影响因素。
2018年中国慢性病及危险因素监测在全国31个省(自治区、直辖市)的298个县(区),采用多阶段分层整群随机抽样方法抽取≥18岁常住居民,利用包含全球身体活动问卷的调查问卷,以面对面问卷调查和身体测量的方式收集调查对象的人口学特征、身体活动情况等相关信息。最终纳入183 769人作为研究对象。对数据经过复杂加权后,计算身体活动不足率和职业性、交通性和休闲性身体活动时间;采用多因素logistic回归模型分析身体活动不足相关的影响因素。
2018年我国≥18岁居民身体活动不足率为22.3%(95%CI:20.9%~23.7%),男性[24.4%(95%CI:23.0%~25.8%)]显著高于女性[20.2%(95%CI:18.6%~21.8%)],≥70岁[28.4%(95%CI:26.9%~29.9%)]居民显著高于其他年龄组居民,18~29岁[26.4%(95%CI:24.4%~28.3%)]和30~39岁[23.4%(95%CI:21.5%~25.3%)]的青年居民次之,且随着文化程度和总静态行为时间的提高呈上升趋势(P<0.001);每周职业性、交通性和休闲性身体活动时间分别为958.6(95%CI:911.4~1 005.8)min、234.5(95%CI:224.7~244.2)min、88.6(95%CI:83.5~93.7)min。多因素logistic分析结果提示男性、农村、≥70岁、初中文化程度、家庭人均年收入<6 000元、华北地区、机关/办事/技术和总静态行为时间较长的居民与更高的身体活动不足率有关。
我国超过五分之一的成年居民身体活动处于较低水平。男性、青年人、文化程度较高、机关/办事/技术和总静态行为时间较长的居民是身体活动相关健康促进需要重点关注的人群。
版权归中华医学会所有。
未经授权,不得转载、摘编本刊文章,不得使用本刊的版式设计。
除非特别声明,本刊刊出的所有文章不代表中华医学会和本刊编委会的观点。
身体活动指骨骼肌收缩引起能量消耗的活动[1]。规律而适量的身体活动不仅可预防高血压、糖尿病和肥胖等慢性病,还有助于改善心理健康,提高生活幸福感[2]。个体在日常工作、交通和休闲活动中均涉及身体活动,经常参与各种形式身体活动且能保持足够的时间和强度的居民,可获得更多实质性的效益[3]。然而,全球居民身体活动状况却并不乐观,全球成年人身体活动不足率从2010年的23.3%上升到2016年的27.5%,估计有超过14亿的成年人可能患上或加剧与身体活动不足相关疾病[4]。WHO发布的《2018-2030年促进身体活动全球行动计划》提出在2030年前将全球成年人和青少年身体活动不足率相对减少15%[3]。《健康中国行动(2019-2030年)》亦明确提出广泛开展全民健身运动,推动全民健身生活化,积极倡导不同群体参与全民健身活动[5]。本研究利用2018年中国慢性病及危险因素监测数据分析我国≥18岁居民身体活动不足流行状况,并探讨影响因素,以期为完善和制定相关策略和措施提供数据参考。
1. 研究对象:2018年中国慢性病及危险因素监测在全国31个省(自治区、直辖市)的298个监测县(区)(监测点)和新疆生产建设兵团的4个师(不纳入抽样设计具有独立性的兵团数据),采用多阶段分层整群随机抽样方法,抽取当地符合条件的≥18岁居民进行调查,排除未在监测点居住≥6个月的中国籍居民、孕妇、认知障碍、残障和患有严重疾病等可能影响调查准确性的居民。监测的总体设计、抽样方法与调查内容见文献[6]。数据具有全国和省级代表性。项目通过中国CDC慢性非传染性疾病预防控制中心伦理委员会审批(批准文号:201819),调查对象在调查前均签署了知情同意书。经过数据清理,排除基本信息、身体活动不足相关变量缺失的1 107人,最终183 769人纳入分析。
2. 调查内容:由经过统一培训并考核合格的调查员以面对面询问的方式收集问卷信息,包括人口学特征、吸烟、饮酒、膳食、身体活动等慢性病主要危险因素及高血压、血脂异常、糖尿病等主要慢性病患病状况信息。其中,采用WHO阶梯式监测推荐的全球身体活动问卷收集调查对象不同类型(职业性、交通性和休闲性)中等和/或高强度身体活动的信息,包括通常一周的活动天数和一天内每次持续≥10 min的活动累计时间[7]。此外,调查对象还接受身体测量(身高、体重、腰围)和血压测量以及实验室检测[6,8]。
3. 指标定义:①身体活动不足率:通常一周内总活动时间(高强度活动时间×2、中等强度活动时间)不足150 min者在总人群中所占比例[8];②身体活动时间:通常一周内,中等强度和/或相当量(高强度活动时间×2)职业性、交通性和休闲性活动的累计时间;③家庭人均年收入按照四分位数分为<6 000、6 000~、12 000~、≥24 000元,不清楚/拒绝回答者单独划分为一组;④地理区域:按照地理位置和行政管理等特征将我国31个省(自治区、直辖市)划分为华北、东北、华东、华中、华南、西南和西北地区;⑤睡眠不足:日均睡眠时间<7 h[9];⑥总静态行为时间:通常一天内,安静地坐着、靠着或躺着的时间(睡眠时间除外),将总静态行为时间划分为<4.0、4.0~、6.0~、≥8.0 h/d[10]。
4. 统计学分析:采用SAS 9.4软件进行数据清理和统计学分析。由于样本来自复杂抽样设计,统计分析均经过复杂加权调整。权重由抽样权重、无应答权重和事后分层权重计算所得。其中事后分层权重采用2010年第六次全国人口普查的人口数据进行计算[11]。采用基于抽样设计校正的Rao-Scott χ2检验分析城乡、职业等分组间率的差异。采用基于设计的logistic模型分析身体活动不足率随年龄组、文化程度和总静态行为时间变化的趋势。采用基于设计的方差分析比较性别、城乡等组间差异,基于设计的线性回归进行年龄组、文化程度组间的趋势检验。采用基于设计的多因素logistic回归模型检验不同亚组与身体活动不足率的关系。双侧检验,检验水准α=0.05。
1. 基本情况:共纳入分析183 769人。其中城市74 876人(40.7%),农村108 893人(59.3%)。60~ 69岁年龄组(49 656人,27.0%)、小学及以下文化程度(91 287人,49.7%)、农林牧渔水利业(80 511人,43.7%),以及总静态行为时间<4.0 h/d(91 965人,50.1%)的居民占比较高。见表1。

研究对象人口学特征
研究对象人口学特征
| 特 征 | 男性 (n=81 513) | 女性 (n=102 256) | 合计 (n=183 769) |
|---|---|---|---|
| 城乡 | |||
| 城市 | 31 624(38.8) | 43 252(42.3) | 74 876(40.7) |
| 农村 | 49 889(61.2) | 59 004(57.7) | 108 893(59.3) |
| 年龄组(岁) | |||
| 18~ | 4 255(5.2) | 5 635(5.6) | 9 890(5.4) |
| 30~ | 7 591(9.3) | 10 842(10.6) | 18 433(10.0) |
| 40~ | 14 032(17.2) | 19 272(18.8) | 33 304(18.1) |
| 50~ | 20 530(25.2) | 27 542(26.9) | 48 072(26.2) |
| 60~ | 22 953(28.2) | 26 703(26.1) | 49 656(27.0) |
| ≥70 | 12 152(14.9) | 12 262(12.0) | 24 414(13.3) |
| 文化程度 | |||
| 小学及以下 | 34 120(41.8) | 57 167(55.8) | 91 287(49.7) |
| 初中 | 28 998(35.6) | 26 660(26.1) | 55 658(30.3) |
| 高中 | 12 487(15.3) | 11 424(11.2) | 23 911(13.0) |
| 大专及以上 | 5 908(7.3) | 7 005(6.9) | 12 913(7.0) |
| 家庭人均年收入(元) | |||
| <6 000 | 15 809(19.4) | 18 274(17.9) | 34 083(18.6) |
| 6 000~ | 14 382(17.6) | 17 116(16.7) | 31 498(17.1) |
| 12 000~ | 16 086(19.7) | 20 458(20.0) | 36 544(19.9) |
| ≥24 000 | 16 764(20.6) | 21 731(21.3) | 38 495(20.9) |
| 不清楚/拒绝回答 | 18 472(22.7) | 24 677(24.1) | 43 149(23.5) |
| 职业 | |||
| 农林牧渔水利业 | 38 846(47.6) | 41 665(40.7) | 80 511(43.7) |
| 生产运输业 | 3 859(4.7) | 1 922(1.9) | 5 781(3.2) |
| 商业服务业 | 3 830(4.7) | 4 764(4.7) | 8 594(4.7) |
| 机关/办事/技术 | 7 223(8.9) | 6 679(6.5) | 13 902(7.6) |
| 其他劳动者 | 9 131(11.2) | 6 909(6.8) | 16 040(8.7) |
| 退休 | 8 581(10.5) | 11 782(11.5) | 20 363(11.1) |
| 家务 | 5 435(6.7) | 23 107(22.6) | 28 542(15.5) |
| 未就业/学生 | 4 608(5.7) | 5 428(5.3) | 10 036(5.5) |
| 地理区域 | |||
| 华北 | 11 569(14.2) | 15 124(14.8) | 26 693(14.5) |
| 东北 | 7 378(9.1) | 9 687(9.5) | 17 065(9.3) |
| 华东 | 21 043(25.8) | 25 871(25.3) | 46 914(25.5) |
| 华中 | 10 101(12.4) | 13 248(13.0) | 23 349(12.7) |
| 华南 | 8 141(10.0) | 10 540(10.3) | 18 681(10.2) |
| 西南 | 12 579(15.4) | 15 175(14.8) | 27 754(15.1) |
| 西北 | 10 702(13.1) | 12 611(12.3) | 23 313(12.7) |
| 睡眠不足 | |||
| 是 | 20 856(25.6) | 28 541(27.9) | 49 397(26.9) |
| 否 | 60 657(74.4) | 73 715(72.1) | 134 372(73.1) |
| 总静态行为时间(h/d) | |||
| <4.0 | 39 928(48.9) | 52 037(51.0) | 91 965(50.1) |
| 4.0~ | 22 218(27.3) | 27 215(26.6) | 49 433(26.9) |
| 6.0~ | 9 602(11.8) | 11 398(11.1) | 21 000(11.4) |
| ≥8.0 | 9 765(12.0) | 11 606(11.3) | 21 371(11.6) |
注:括号外数据为人数,括号内数据为构成比(%)
2. 身体活动不足状况:2018年,中国≥18岁居民身体活动不足率为22.3%(95%CI:20.9%~23.7%),男性[24.4%(95%CI:23.0%~25.8%)]显著高于女性[20.2%(95%CI:18.6%~21.8%)],且随着文化程度和总静态行为时间的提高呈上升趋势(P<0.001);≥70岁[28.4%(95%CI:26.9%~29.9%)]居民显著高于其他年龄组居民,18~29岁[26.4%(95%CI:24.4%~28.3%)]和30~39岁[23.4%(95%CI:21.5%~25.3%)]的青年居民次之;家庭人均年收入<6 000元[23.1%(95%CI:21.3%~25.0%)]、机关/办事/技术[27.8%(95%CI:25.2%~30.4%)]和华北地区[28.4%(95%CI:22.9%~33.8%)]的居民身体活动不足率更高;差异均有统计学意义(P<0.05)。见表2。

2018年中国不同特征成年居民身体活动不足率
2018年中国不同特征成年居民身体活动不足率
| 特 征 | 男性 | 女性 | 合计 | |||
|---|---|---|---|---|---|---|
| 人数 | 率(%,95%CI) | 人数 | 率(%,95%CI) | 人数 | 率(%,95%CI) | |
| 城乡 | ||||||
| 城市 | 7 048 | 24.3(22.7~25.9) | 7 491 | 19.8(17.8~21.8) | 14 539 | 22.0(20.4~22.7) |
| 农村 | 11 008 | 24.6(22.6~26.6) | 10 943 | 20.7(18.6~22.7) | 21 951 | 22.6(20.7~24.5) |
| χ2值 | 0.05 | 0.48 | 0.25 | |||
| P值 | 0.824 | 0.490 | 0.619 | |||
| 年龄组(岁) | ||||||
| 18~ | 1 151 | 27.5(24.9~30.1) | 1 457 | 25.3(22.8~27.7) | 2 608 | 26.4(24.4~28.3) |
| 30~ | 1 906 | 26.6(24.2~29.0) | 2 099 | 20.1(18.1~22.2) | 4 005 | 23.4(21.5~25.3) |
| 40~ | 2 866 | 22.0(20.4~23.6) | 2 941 | 15.6(13.7~17.5) | 5 807 | 18.8(17.3~20.4) |
| 50~ | 4 125 | 20.8(19.3~22.3) | 4 051 | 15.4(13.9~17.0) | 8 176 | 18.1(16.7~19.6) |
| 60~ | 4 723 | 20.8(19.5~22.0) | 4 491 | 17.2(15.8~18.6) | 9 214 | 19.0(17.8~20.3) |
| ≥70 | 3 285 | 27.2(25.7~28.8) | 3 395 | 29.5(27.5~31.4) | 6 680 | 28.4(26.9~29.9) |
| 趋势检验t值 | -4.03 | -2.42 | -4.60 | |||
| 趋势检验P值 | <0.001 | 0.017 | <0.001 | |||
| 文化程度 | ||||||
| 小学及以下 | 7 628 | 23.0(21.4~24.6) | 10 646 | 18.8(17.4~20.1) | 18 274 | 20.5(19.2~21.8) |
| 初中 | 6 357 | 24.2(22.5~25.8) | 4 368 | 18.7(16.5~21.0) | 10 725 | 21.8(20.0~23.5) |
| 高中 | 2 732 | 25.1(22.6~27.7) | 1 866 | 21.0(17.8~24.1) | 4 598 | 23.3(20.9~25.8) |
| 大专及以上 | 1 339 | 26.2(23.1~29.2) | 1 554 | 24.9(22.3~27.5) | 2 893 | 25.5(23.3~27.8) |
| 趋势检验t值 | 1.95 | 4.06 | 3.97 | |||
| 趋势检验P值 | 0.053 | <0.001 | <0.001 | |||
| 家庭人均年收入(元) | ||||||
| <6 000 | 3 537 | 24.4(22.0~26.8) | 3 560 | 21.7(19.7~23.8) | 7 097 | 23.1(21.3~25.0) |
| 6 000~ | 3 042 | 25.1(21.7~28.6) | 3 006 | 18.9(16.8~20.9) | 6 048 | 22.1(19.5~24.6) |
| 12 000~ | 3 388 | 22.4(20.8~24.0) | 3 260 | 17.1(15.4~18.8) | 6 648 | 19.8(18.4~21.1) |
| ≥24 000 | 3 560 | 24.9(22.9~26.9) | 3 450 | 20.3(18.3~22.2) | 7 010 | 22.6(20.9~24.3) |
| 不清楚/拒绝回答 | 4 529 | 25.2(22.6~27.9) | 5 158 | 22.7(19.1~26.3) | 9 687 | 23.9(21.0~26.9) |
| χ2值 | 3.89 | 18.27 | 11.14 | |||
| P值 | 0.422 | 0.001 | 0.025 | |||
| 职业 | ||||||
| 农林牧渔水利业 | 7 677 | 20.0(18.4~21.5) | 7 140 | 18.4(16.3~20.5) | 14 817 | 19.2(17.5~20.9) |
| 生产运输业 | 913 | 25.6(22.7~28.4) | 346 | 19.5(15.4~23.6) | 1 259 | 24.0(21.5~26.6) |
| 商业服务业 | 967 | 26.6(23.0~30.2) | 863 | 20.1(17.5~22.6) | 1 830 | 23.6(21.1~26.0) |
| 机关/办事/技术 | 1 836 | 29.0(25.8~32.1) | 1 492 | 26.4(23.3~29.5) | 3 328 | 27.8(25.2~30.4) |
| 其他劳动者 | 2 131 | 25.5(23.0~28.0) | 1 277 | 21.3(17.5~25.2) | 3 408 | 23.9(21.2~26.7) |
| 退休 | 1 661 | 19.8(17.7~21.8) | 1 583 | 13.0(11.5~14.5) | 3 244 | 16.0(14.6~17.5) |
| 家务 | 1 458 | 26.7(24.2~29.3) | 4 484 | 18.9(17.2~20.7) | 5 942 | 20.3(18.7~21.9) |
| 未就业/学生 | 1 413 | 30.0(25.6~34.5) | 1 249 | 23.3(20.0~26.5) | 2 662 | 26.7(23.6~29.7) |
| χ2值 | 72.50 | 70.17 | 113.60 | |||
| P值 | <0.001 | <0.001 | <0.001 | |||
| 地理区域 | ||||||
| 华北 | 3 033 | 29.6(25.1~34.1) | 3 451 | 27.1(20.3~33.8) | 6 484 | 28.4(22.9~33.8) |
| 东北 | 1 496 | 21.8(16.9~26.7) | 1 669 | 19.0(12.8~25.3) | 3 165 | 20.4(15.1~25.8) |
| 华东 | 4 930 | 26.2(23.6~28.7) | 4 424 | 20.3(17.8~22.9) | 9 354 | 23.2(20.9~25.5) |
| 华中 | 2 318 | 25.7(21.3~30.1) | 2 438 | 21.0(16.6~25.3) | 4 756 | 23.3(19.1~27.5) |
| 华南 | 1 737 | 22.8(20.0~25.5) | 1 644 | 18.1(14.8~21.4) | 3 381 | 20.5(18.0~23.0) |
| 西南 | 2 103 | 18.5(15.4~21.6) | 2 233 | 15.4(12.1~18.6) | 4 336 | 17.0(14.0~19.9) |
| 西北 | 2 439 | 22.6(19.3~26.0) | 2 575 | 19.9(17.2~22.7) | 5 014 | 21.3(18.5~24.1) |
| χ2值 | 20.36 | 14.42 | 18.40 | |||
| P值 | 0.002 | 0.025 | 0.005 | |||
| 睡眠不足 | ||||||
| 是 | 4 700 | 23.0(21.0~25.0) | 5 363 | 20.9(18.5~23.4) | 10 063 | 22.0(19.9~24.0) |
| 否 | 13 356 | 24.8(23.4~26.3) | 13 071 | 20.0(18.5~21.5) | 26 427 | 22.4(21.1~23.8) |
| χ2值 | 3.33 | 1.20 | 0.33 | |||
| P值 | 0.068 | 0.274 | 0.565 | |||
| 总静态行为时间(h/d) | ||||||
| <4.0 | 7 343 | 20.3(18.8~21.7) | 8 175 | 17.2(15.2~19.2) | 15 518 | 18.7(17.1~20.3) |
| 4.0~ | 4 557 | 22.2(20.2~24.1) | 4 489 | 18.1(16.2~20.0) | 9 046 | 20.2(18.5~21.8) |
| 6.0~ | 2 580 | 28.2(15.0~31.4) | 2 392 | 22.5(20.3~24.7) | 4 972 | 25.5(23.1~27.8) |
| ≥8.0 | 3 576 | 34.6(32.1~37.2) | 3 378 | 28.5(26.1~30.8) | 6 954 | 31.5(29.4~33.6) |
| 趋势检验t值 | 10.82 | 8.36 | 11.75 | |||
| 趋势检验P值 | <0.001 | <0.001 | <0.001 | |||
| 合 计 | 18 056 | 24.4(23.0~25.8) | 18 434 | 20.2(18.6~21.8) | 36 490 | 22.3(20.9~23.7) |
注:身体活动不足率为经过加权计算后的加权率
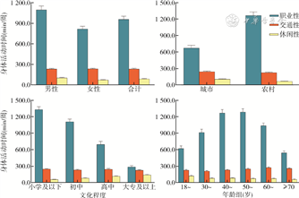
3. 不同类型身体活动时间:2018年,中国≥18岁居民每周职业性、交通性和休闲性身体活动时间分别为958.6(95%CI:911.4~1 005.8)min、234.5(95%CI:224.7~244.2)min、88.6(95%CI:83.5~93.7)min。职业性、休闲性身体活动时间均为男性高于女性;交通性、休闲性身体活动时间均为城市高于农村,职业性身体活动时间农村高于城市;差异均有统计学意义(P<0.05)。职业性身体活动时间随文化程度的提高呈下降趋势,而休闲性身体活动时间呈上升趋势;职业性身体活动时间随年龄的增长呈先上升后下降趋势,交通性身体活动时间随年龄的增长呈上升趋势,而休闲性身体活动时间呈下降趋势;差异均有统计学意义(P<0.05)。见图1。


注:不同类型身体活动时间为经过加权计算后的加权均值
4. 身体活动不足的影响因素分析:多因素logistic回归模型显示,控制其他因素后,男性(OR=1.27,95%CI:1.18~1.37)、农村(OR=1.18,95%CI:1.05~1.33)、年龄≥70岁(OR=1.94,95%CI:1.78~2.11)、初中文化程度(OR=1.19,95%CI:1.05~1.34)、家庭人均年收入<6 000元(OR=1.29,95%CI:1.16~1.43)、机关/办事/技术(OR=1.63,95%CI:1.42~1.86)、华北地区(OR=1.93,95%CI:1.36~2.74)、总静态行为时间≥8.0 h/d(OR=1.85,95%CI:1.65~2.07)等因素与较高的身体活动不足率有关,差异均有统计学意义(P<0.05)。见表3。

2018年中国成年居民身体活动不足率多因素logistic回归分析
2018年中国成年居民身体活动不足率多因素logistic回归分析
| 特 征 | OR值(95%CI) | P值 |
|---|---|---|
| 性别 | ||
| 女 | 1.00 | |
| 男 | 1.27(1.18~1.37) | <0.001 |
| 城乡 | ||
| 城市 | 1.00 | |
| 农村 | 1.18(1.05~1.33) | 0.007 |
| 年龄组(岁) | ||
| 40~ | 1.00 | |
| 18~ | 1.34(1.21~1.49) | <0.001 |
| 30~ | 1.24(1.15~1.33) | <0.001 |
| 50~ | 1.03(0.98~1.09) | 0.254 |
| 60~ | 1.17(1.08~1.26) | <0.001 |
| ≥70 | 1.94(1.78~2.11) | <0.001 |
| 文化程度 | ||
| 大专及以上 | 1.00 | |
| 小学及以下 | 1.18(1.03~1.36) | 0.019 |
| 初中 | 1.19(1.05~1.34) | 0.007 |
| 高中 | 1.12(0.98~1.28) | 0.107 |
| 家庭人均年收入(元) | ||
| 12 000~ | 1.00 | |
| <6 000 | 1.29(1.16~1.43) | <0.001 |
| 6 000~ | 1.18(1.06~1.33) | 0.004 |
| ≥24 000 | 1.11(1.02~1.20) | 0.022 |
| 不清楚/拒绝回答 | 1.27(1.09~1.48) | 0.002 |
| 职业 | ||
| 农林牧渔水利业 | 1.00 | |
| 生产运输业 | 1.30(1.11~1.53) | 0.001 |
| 商业服务业 | 1.35(1.15~1.59) | <0.001 |
| 机关/办事/技术 | 1.63(1.42~1.86) | <0.001 |
| 其他劳动者 | 1.33(1.15~1.53) | <0.001 |
| 退休 | 0.80(0.71~0.91) | 0.001 |
| 家务 | 1.12(1.01~1.25) | 0.029 |
| 未就业/学生 | 1.41(1.22~1.62) | <0.001 |
| 地理区域 | ||
| 西南 | 1.00 | |
| 华北 | 1.93(1.36~2.74) | <0.001 |
| 东北 | 1.31(0.89~1.91) | 0.166 |
| 华东 | 1.42(1.11~1.82) | 0.005 |
| 华中 | 1.48(1.10~1.99) | 0.010 |
| 华南 | 1.17(0.90~1.52) | 0.250 |
| 西北 | 1.37(1.05~1.79) | 0.021 |
| 睡眠不足 | ||
| 否 | 1.00 | |
| 是 | 1.03(0.94~1.13) | 0.571 |
| 总静态行为时间(h/d) | ||
| <4.0 | 1.00 | |
| 4.0~ | 1.06(0.99~1.15) | 0.112 |
| 6.0~ | 1.39(1.24~1.56) | <0.001 |
| ≥8.0 | 1.85(1.65~2.07) | <0.001 |
本研究利用具有全国代表性的2018年中国慢性病及危险因素监测数据,分析我国≥18岁居民身体活动不足流行状况,并进一步探讨潜在的影响因素。结果显示,我国成年居民身体活动不足率为22.3%,且身体活动主要以职业性活动为主;此外,不同性别和地区之间差异显著。男性、青年人、文化程度较高、机关/办事/技术和总静态行为时间较长的居民身体活动水平较低,是政府落实“全民健身”计划过程中需要重点关注的人群,可有针对性地进行健康宣教及身体活动指导。
人们除了静坐(包括靠着和躺着)以及睡眠之外,只要肢体发生活动就会额外消耗能量,例如干农活、流水线工作、做家务、行走、骑自行车等,但并非所有的活动都能达到中等或高强度[1]。研究表明,规律而适量的中等或以上强度身体活动能够对个体健康产生积极影响[3]。中、高强度的身体活动可按活动场景分为职业性(包括家务)、交通性和休闲性,其中,以职业性身体活动对总身体活动量的贡献最大[12]。随着社会经济发展和城镇化进程加快,机械化和自动化的工具和设备在各行各业,甚至生活中越来越多地取代了人的劳动(特别是体力劳动),人们的身体活动模式和活动水平也随之发生改变,突出表现为职业性身体活动强度的降低[13]。1997-2009年,我国9省份18~49岁成年居民的身体活动量呈逐年下降趋势,降幅高达34.1%[14]。本研究显示,2018年我国中、高强度身体活动未达150 min/周推荐标准的成年居民比例(22.3%)相比2013年(16.3%)高出6.0个百分点[15],与同期全球的变化趋势一致[4]。针对我国居民身体活动不足的严峻形势,近期发布的《中国人群身体活动指南(2021)》明确提出“动则有益、多动更好、适度量力、贵在坚持”方针,即使低强度、短时间的身体活动,累计起来仍对健康有益[16]。
本研究结果显示,我国男性的身体活动不足率显著高于女性。可能因为女性健康素养普遍优于男性,且对自身外在形体更为关注所致[17, 18]。随文化程度的提高,我国居民身体活动不足率和休闲性身体活动时间呈上升趋势,而职业性身体活动时间呈下降趋势,与既往研究一致[19, 20],可能原因包括文化程度较低的居民更多从事体力劳动为主的职业;而文化程度较高居民则倾向以脑力劳动为主的职业,相对更有条件和时间去参与锻炼。多因素分析结果显示,初中文化程度居民身体活动不足率是大专及以上文化程度居民的1.19倍,可能与该部分居民休闲性身体活动时间少,锻炼意识淡薄有关,但具体原因有待进一步研究探索。我国青年身体活动不足率处于较高水平,其中18~29岁居民中身体活动不足者已超过四分之一,仅次于≥70岁居民。一方面由于青年人文化程度普遍较高,多从事脑力劳动;另一方面则可能与工作压力大、锻炼意识不足导致的锻炼参与度不高有关[21, 22]。对于成年人而言,长时间静态行为与心血管疾病、癌症、2型糖尿病等诸多不良结局密切相关[2]。静态行为虽是慢性疾病的独立危险因素,但与身体活动不足具有协同作用,减少静态行为时间或加强身体活动均对健康有益[16]。研究结果显示,随着总静态行为时间的增加,居民身体活动不足率呈上升趋势,在控制其他因素后亦有相同发现。提示成年人应限制静态行为时间,并将静态行为所耗时间尽可能用于进行任何强度的身体活动[2]。职业对身体活动存在显著影响,这与职业特点和劳动强度有关[23]。本研究结果显示,从事机关/办事/技术职业的居民身体活动不足率是农林牧渔水利业居民的1.63倍。可能因机关/办事/技术职业多以办公室工作为主,相比其他职业拥有更长时间的静态行为所致[23, 24]。
综上所述,我国居民身体活动处于较低水平。成年居民应降低静态行为时间,积极参与日常锻炼。对于男性、青年人、文化程度较高、机关/办事/技术和总静态行为时间较长居民等重点人群,有关部门应有针对性地进行宣传教育,并提供科学的身体活动指导,帮助居民培养良好的身体活动习惯。《健康中国行动(2019-2030年)》提出的身体活动相关结果指标的实现[5],依旧有赖于政府和社会在弘扬健身文化、统筹建设锻炼场地和构建科学健身体系等方面的资源投入;提倡机关、事业单位和相关企业开展工间操,避免长时间的静态行为。
本研究存在局限性。首先,本研究基于调查对象自报的身体活动信息估计身体活动水平,可能会存在回忆偏倚;其次,受数据所限,本研究并未涉及身体活动不足与住宅密度、公共交通密度和绿地面积等环境因素的研究;最后,本研究属于横断面研究,难以确定身体活动不足率与各影响因素的因果关系,需进一步前瞻性研究加以论证。
高星星, 王丽敏, 张笑, 等. 2018年中国成年居民身体活动不足流行状况及影响因素分析[J]. 中华流行病学杂志, 2023, 44(8): 1190-1197. DOI: 10.3760/cma.j.cn112338-20221125-01000.
Gao XX, Wang LM, Zhang X, et al. The prevalence of insufficient physical activity and the influencing factors among Chinese adults in 2018[J]. Chin J Epidemiol, 2023, 44(8):1190-1197. DOI: 10.3760/cma.j.cn112338-20221125-01000.
所有作者声明无利益冲突





















