
分析全国2010年新报告HIV感染者/AIDS病例(HIV/AIDS)生存时间及影响因素。
使用艾滋病综合防治数据信息系统截至2015年12月31日的病例报告历史卡片和随访定时数据库,筛选出2010年新报告HIV/AIDS并整理出随访结局数据,以寿命表法计算其生存率,采用Kaplan-Meier法拟合不同状态下的生存曲线,Cox比例风险模型分析HIV/AIDS生存时间的影响因素。
40 335例HIV/AIDS中,11 975例因艾滋病及相关疾病死亡;截至观察终点时,中位生存时间为63.1(95%CI:63.0~63.2)个月,1年和5年生存率分别为81.2%和69.9%;多因素Cox比例风险模型分析结果显示,艾滋病死亡的风险随年龄增加而增加,25~34、35~44、45~54和≥55岁组因艾滋病死亡的风险分别是15~24岁组的1.41倍(95%CI:1.29~1.54)、1.90倍(95%CI:1.74~2.07)、2.24倍(95%CI:2.04~2.46)和2.81倍(95%CI:2.57~3.08);HIV/AIDS首次检测CD4+T淋巴细胞(CD4)值≥500个/μl是CD4值<200个/μl的0.12倍(95%CI:0.11~0.13);接受抗病毒治疗者是未接受治疗者的0.11倍(95%CI:0.10~0.12)。
确诊时年龄、确诊时CD4值水平、是否接受抗病毒治疗是HIV/AIDS生存时间的主要影响因素,应及早进行艾滋病检测、接受抗病毒治疗,以延长HIV/AIDS生存时间。
版权归中华医学会所有。
未经授权,不得转载、摘编本刊文章,不得使用本刊的版式设计。
除非特别声明,本刊刊出的所有文章不代表中华医学会和本刊编委会的观点。
截至2015年底,我国累计报告HIV感染者/AIDS病例(HIV/AIDS)76万余人,现存活HIV/AIDS约57万余人[1]。HIV/AIDS因艾滋病及其相关疾病的死亡给家庭造成严重负担并对社会经济发展带来一定的负面影响。因此,有必要了解HIV/AIDS的生存率并探索影响生存时间的相关因素。本文对2010年新报告HIV/AIDS进行了生存分析,为今后进一步指导开展随访干预、降低HIV/AIDS相关死亡提供依据。
来自国家艾滋病综合防治数据信息系统下载的截至2015年12月31日HIV/AIDS报告历史卡片和随访定时数据库,选择实验室确诊和临床诊断病例、非外籍和非港澳台的病例、疾病名称为"HIV"且终审日期为2010年或疾病名称为"艾滋病"且录入日期及终审日期为2010年、≥14周岁的HIV/AIDS。国家、省、市、县各级CDC每年组织开展病例报告和随访数据质量核查与评估,以确保数据准确性、完整性和可靠性。
建立HIV/AIDS的回顾性观察队列,运用生存分析方法进行分析,设定随访观察起始时间为2010年确证HIV阳性日期,随访观察终止日期为2015年12月31日。结局变量为HIV/AIDS因艾滋病或艾滋病相关疾病死亡(指"个案随访表"中列出的肺孢子菌肺炎等30种艾滋病相关疾病),排除其他与艾滋病无关疾病导致的死亡。随访观察期间因吸毒过量、自杀、车祸、其他与艾滋病无关疾病导致的死亡、失访和存活均定义为删失,其中,失访是以最后一次随访状态为"失访"的随访日期为其最后的观察日期,存活是以随访观察终止日期仍然存活的病例。收集HIV/AIDS的一般人口学信息、CD4+T淋巴细胞(CD4)值、传播途径、样本来源、接受艾滋病抗病毒治疗情况、死亡等资料,接受抗病毒治疗的定义为研究对象至少接受3个月以上抗病毒药物治疗。
采用SAS 9.4软件分析数据。采用寿命表法分析HIV/AIDS的观察期间死亡概率、生存概率和累计生存概率;采用Kaplan-Meier法计算不同特征研究对象的中位生存时间并绘制生存曲线,Log-Rank检验方法比较不同组别间的生存时间差异。应用Cox比例风险模型对生存时间的相关因素进行分析,以P<0.05判断差异有统计学意义。
2010年新报告、年龄≥14周岁的HIV/AIDS共40 335例,男性占70.4%;以汉族为主,占72.0%;25~44岁年龄组占56.7%;小学及以下文化程度者占62.3%;未婚者占53.9%。感染途径主要为异性性行为,占65.8%;依次是注射吸毒(15.0%)和同性传播(11.7%)。农民或民工占48.8%;本地居民为主,占75.6%;HIV/AIDS发现主要来源为医疗机构和检测咨询,分别占43.5%和29.3%。
截至2015年12月31日观察期间内HIV/AIDS死亡为观察结局。40 335名HIV/AIDS中,失访1 815例(4.5%),完成随访38 520例(95.5%)。在整个随访期间,11 975例因艾滋病及相关疾病死亡,所有HIV/AIDS的总观察时间为1 839 873.9个月,平均观察时间为(45.6±25.7)个月,最长为72.1个月,最短为0个月。
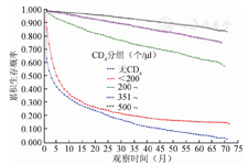
(1)HIV/AIDS生存状况:截至2015年12月31日,HIV/AIDS的中位生存时间为63.1个月(95%CI:63.0~63.2),其12、24、36、48和60个月的累积生存概率分别为0.812、0.772、0.742、0.719和0.699。见表1。是否接受抗病毒治疗的HIV/AIDS以及不同基线CD4水平下的生存率差异有统计学意义(χ2=8 038.21,P<0.01;χ2=1 006.28,P<0.01;χ2=8 669.13,P<0.01)。对于发现时未来得及做CD4的HIV/AIDS,即使接受了抗病毒治疗,其病死率仍然很高。对于首次CD4检测结果<200个/μl的HIV/AIDS,如果及时接受了抗病毒治疗,仍然可以获得较高的生存率。见图1、图2、图3。

2010年全国新报告HIV/AIDS生存概率与累积生存概率
2010年全国新报告HIV/AIDS生存概率与累积生存概率
| 观察时间(月) | 期初观察人数 | 删失人数 | 有效观察人数 | 死亡人数 | 死亡概率 | 生存概率 | 累积生存概率 | 累积生存概率![]() |
|---|---|---|---|---|---|---|---|---|
| 0 | 40 335 | 1 210 | 39 730 | 7 453 | 0.188 | 0.812 | 0.812 | 0.002 |
| 12 | 31 672 | 612 | 31 366 | 1 555 | 0.050 | 0.950 | 0.772 | 0.003 |
| 24 | 29 505 | 668 | 29 171 | 1 139 | 0.039 | 0.961 | 0.742 | 0.003 |
| 36 | 27 698 | 767 | 27 314 | 846 | 0.031 | 0.969 | 0.719 | 0.003 |
| 48 | 26 085 | 290 | 25 940 | 712 | 0.027 | 0.973 | 0.699 | 0.003 |
| 60 | 25 083 | 0 | 25 083 | 270 | 0.011 | 0.989 | 0.692 | 0.003 |






(2)生存时间的相关因素:单因素分析显示,性别、文化程度、民族、职业、婚姻状况、年龄、传播途径、样本来源、是否接受抗病毒治疗和首次CD4值水平是HIV/AIDS的生存状态的相关因素。见表2。

HIV/AIDS生存时间相关因素的Cox比例风险模型分析
HIV/AIDS生存时间相关因素的Cox比例风险模型分析
| 因素 | 观察例数 | 死亡例数(%) | 单因素分析 | 多因素分析 | |||
|---|---|---|---|---|---|---|---|
| aHR值及95%CI | P值 | aHR值及95%CI | P值 | ||||
| 性别 | |||||||
| 女 | 11 936 | 2 777(23.3) | 1.00 | 1.00 | |||
| 男 | 28 399 | 9 198(32.4) | 1.50(1.44~1.57) | <0.01 | 1.23(1.17~1.28) | <0.01 | |
| 文化程度 | |||||||
| 初中及以上 | 25 150 | 6 012(23.9) | 1.00 | 1.00 | |||
| 小学及以下 | 15 184 | 5 963(39.3) | 1.82(1.76~1.89) | <0.01 | 1.03(0.99~1.08) | 0.11 | |
| 民族 | |||||||
| 其他 | 11 292 | 3 239(28.7) | 1.00 | 1.00 | |||
| 汉族 | 29 043 | 8 736(30.1) | 1.07(1.03~1.12) | <0.01 | 0.97(0.93~1.02) | 0.22 | |
| 职业 | |||||||
| 其他 | 20 671 | 4 749(23.0) | 1.00 | 1.00 | |||
| 农民 | 19 664 | 7 226(36.8) | 1.73(1.67~1.79) | <0.01 | 1.22(1.17~1.27) | <0.01 | |
| 婚姻状况 | |||||||
| 未婚/离异 | 18 359 | 4 658(25.4) | 1.00 | 1.00 | |||
| 已婚有配偶 | 21 464 | 7 089(33.0) | 1.36(1.31~1.41) | <0.01 | 1.12(1.08~1.16) | <0.01 | |
| 年龄组(岁) | |||||||
| 15~ | 5 791 | 655(11.3) | 1.00 | 1.00 | |||
| 25~ | 12 382 | 2 303(18.6) | 1.72(1.57~1.87) | <0.01 | 1.41(1.29~1.54) | <0.01 | |
| 35~ | 10 523 | 3 090(29.4) | 2.93(2.69~3.19) | <0.01 | 1.90(1.74~2.07) | <0.01 | |
| 45~ | 5 136 | 1 895(36.9) | 3.88(3.55~4.24) | <0.01 | 2.24(2.04~2.46) | <0.01 | |
| ≥55 | 6 503 | 4 032(62.0) | 7.69(7.08~8.35) | <0.01 | 2.81(2.57~3.08) | <0.01 | |
| 传播途径 | |||||||
| 异性 | 26 552 | 8 900(33.5) | 1.00 | 1.00 | |||
| 同性 | 4 732 | 372(7.9) | 0.20(0.18~0.22) | <0.01 | 0.55(0.49~0.61) | <0.01 | |
| 注射吸毒 | 6 046 | 1 560(25.8) | 0.76(0.72~0.80) | <0.01 | 0.98(0.92~1.04) | 0.46 | |
| 性接触+注射毒品 | 560 | 141(25.2) | 0.72(0.61~0.84) | <0.01 | 1.08(0.91~1.29) | 0.35 | |
| 非规范采血(或单采血浆) | 1 370 | 526(38.4) | 1.18(1.08~1.28) | <0.01 | 1.21(1.11~1.33) | <0.01 | |
| 其他 | 1 075 | 476(44.3) | 1.55(1.41~1.70) | <0.01 | 1.02(0.92~1.12) | 0.73 | |
| 样本来源 | |||||||
| 检测咨询 | 11 796 | 3 040(25.8) | 1.00 | 1.00 | |||
| 医疗机构 | 17 534 | 7 189(41.0) | 1.83(1.75~1.91) | <0.01 | 1.14(1.09~1.19) | <0.01 | |
| 羁押场所 | 3 443 | 599(17.4) | 0.67(0.62~0.73) | <0.01 | 0.58(0.52~0.64) | <0.01 | |
| 其他 | 7 562 | 1 147(15.2) | 0.55(0.51~0.59) | <0.01 | 0.68(0.64~0.73) | <0.01 | |
| 抗病毒治疗 | |||||||
| 否 | 20 358 | 10 018(49.2) | 1.00 | 1.00 | |||
| 是 | 19 977 | 1 957(9.8) | 0.16(0.15~0.17) | <0.01 | 0.11(0.10~0.12) | <0.01 | |
| 首次CD4水平(个/μl) | |||||||
| <200 | 10 754 | 3 765(35.0) | 1.00 | 1.00 | |||
| 无CD4 | 7 165 | 5 699(79.5) | 6.52(6.25~6.81) | <0.01 | 1.75(1.67~1.84) | <0.01 | |
| 200~ | 7 079 | 995(14.1) | 0.34(0.32~0.37) | <0.01 | 0.34(0.31~0.36) | <0.01 | |
| 351~ | 7 250 | 832(11.5) | 0.28(0.26~0.30) | <0.01 | 0.18(0.17~0.20) | <0.01 | |
| 500~ | 8 087 | 684(8.5) | 0.20(0.19~0.22) | <0.01 | 0.12(0.11~0.13) | <0.01 | |
多因素Cox比例风险模型分析结果显示,HIV/ AIDS的艾滋病死亡风险,男性是女性的1.23倍(95%CI:1.17~1.28);农民是其他职业者的1.22倍(95%CI:1.17~1.27);已婚有配偶是未婚/离异的1.12倍(95%CI:1.08~1.16);另外,因艾滋病死亡的风险随年龄增加而增加,25~、35~、45~和≥55岁年龄组分别是15~岁年龄组的1.41倍(95%CI:1.29~1.54)、1.90倍(95%CI:1.74~2.07)、2.24倍(95%CI:2.04~2.46)和2.81倍(95%CI:2.57~3.08);男男性行为是异性性行为0.55倍(95%CI:0.49~0.61),采血(浆)或血制品途径感染是异性性行为的1.21倍(95%CI:1.11~1.33);医疗机构检测发现是检测咨询门诊发现的1.14倍(95%CI:1.09~1.19)。此外,首次CD4值≥500个/μl是首次CD4值<200个/μl的0.12倍(95%CI:0.11~0.13);接受艾滋病抗病毒治疗是未接受治疗的0.11倍(95%CI:0.10~0.12)。见表2。
减少HIV/AIDS死亡是艾滋病防治工作重要内容之一,对HIV/AIDS进行生存分析,研究HIV/AIDS的疾病发展与预后,并对影响HIV/AIDS生存时间的因素进行分析尤为重要[2]。HIV/AIDS的生存时间受多种因素影响,如抗病毒治疗、诊断时间、传播途径、CD4值、年龄、性别、民族等[2,3,4]。
本研究以2010年新报告HIV/AIDS为研究对象进行生存时间分析,其1年生存率和5年生存率略低于国内一些地区的研究报道[2,4]。随年龄增加,因艾滋病死亡的风险也相应增加,25~、35~、45~、≥55岁组因艾滋病死亡的风险均高于15~岁组。有研究认为,年龄是艾滋病患者死亡的独立危险因素,艾滋病对老年人免疫系统的损害、易发相关疾病的合并症,共同造成HIV/AIDS年龄越高死亡风险越大[5,6]。从感染途径来看,经同性性行为途径感染的HIV/AIDS死亡风险明显低于经异性途径感染的HIV/AIDS;而经采供血或血制品途径感染的HIV/AIDS死亡风险高于经异性途径感染的HIV/AIDS,与国内其他一些研究结果相似[7]。通过拟合累积生存概率模型发现,接受艾滋病抗病毒治疗是影响HIV/AIDS生存时间的保护因素。接受艾滋病抗病毒治疗可以降低艾滋病及其相关疾病的死亡风险,与国内外研究结果一致[8,9,10,11]。本研究发现接受抗病毒治疗的HIV/AIDS因艾滋病死亡的风险是未接受治疗者的0.11倍。因此,HIV/AIDS及早接受抗病毒治疗并坚持治疗,仍然可以延长生命并提高生命质量。检测发现晚是导致HIV/AIDS死亡的重要影响因素[12]。首次检测CD4值≥200个/μl因艾滋病死亡的风险低于<200个/μl者,CD4值下降后易发生机会性感染造成死亡[13],说明了及早发现HIV/AIDS的重要性。
近年来,随着国家艾滋病防治工作力度加大,扩大检测和治疗工作对改善HIV/AIDS的生活质量和延长生存时间起到了重要作用。因此,及早进行HIV检测,尽早接受艾滋病抗病毒治疗并保持良好的治疗依从性,可以延长HIV/AIDS生存时间。
利益冲突 无






















