
动态监测肾移植受者外周血淋巴细胞亚群的变化,探讨淋巴细胞亚群变化与感染或排斥反应的关系。
前瞻性收集2015年6月至2016年12月间肾移植受者和同期亲属活体供肾者淋巴细胞亚群数据。以流式细胞分析仪检测供者术前,受者术前和术后1、2、4周以及术后2、3、4、5、6个月外周血淋巴细胞(Lym)计数、T淋巴细胞(T细胞)计数、CD4+ T淋巴细胞(CD4+细胞)计数、CD8+T淋巴细胞(CD8+细胞)计数、B淋巴细胞(B细胞)计数、自然杀伤细胞(NK细胞)计数、CD4+细胞/CD8+细胞比值。
本研究共纳入健康成年亲属活体肾者64名(健康对照组)和肾移植受者351例(术前组),其中术后发生感染者67例(术后感染组),术后发生急性排斥反应46例(术后排斥组),术后稳定者238例(术后稳定组)。术前组的Lym、T细胞、CD4+细胞、CD8+细胞、B细胞、NK细胞明显低于健康对照组(P<0.05)。术后稳定组与健康对照组各淋巴细胞亚群计数及CD4+细胞/CD8+细胞比值的集中频率分布差异显著(P<0.05),术后稳定组各指标的集中频率分布范围如下:Lym为1 000~1 500/μl,T细胞<1 500/μl,CD4+细胞<1 000/μl,CD8+细胞<1 000/μl,B细胞<300/μl,NK细胞为100~300/μl,CD4+细胞/CD8+细胞比值为0.5~1.0。术后感染组在感染前Lym、T细胞、NK细胞计数较明显下降,低于术后稳定组(P<0.05);感染期Lym、T细胞、CD4+细胞、CD8+细胞、B细胞、NK细胞计数均低于术后稳定组(P<0.05);感染控制后1个月,各指标逐渐恢复至术后稳定组水平;T细胞、CD4+细胞、CD8+细胞、B细胞与感染高度相关。术后排斥组在排斥反应发生前CD4+细胞、CD4+细胞/CD8+细胞开始升高,明显高于术后稳定组(P<0.05);排斥反应发生时,T细胞、CD4+细胞、CD4+细胞/CD8+细胞较术后稳定组明显升高(P<0.05);冲击治疗1周时,T细胞、CD4+细胞、CD8+细胞、B细胞、NK细胞计数均低于稳定组(P<0.05);排斥反应逆转后,各指标逐步恢复至术后稳定组水平;T细胞、CD4+细胞、CD8+细胞与排斥反应高度相关。经Logistic回归分析,T细胞、CD4+细胞、CD8+细胞、B细胞、CD4+细胞/CD8+细胞比值为术后发生感染或排斥反应相关的独立因素。
淋巴细胞亚群的动态监测对预测肾移植受者的感染和排斥反应发生具有一定意义,CD4+细胞和CD4+细胞/CD8+细胞比值为独立危险因素。
版权归中华医学会所有。
未经授权,不得转载、摘编本刊文章,不得使用本刊的版式设计。
除非特别声明,本刊刊出的所有文章不代表中华医学会和本刊编委会的观点。
对于器官移植来说,免疫平衡重建与维持非常重要,但目前仍缺乏有效评价手段。因此,有必要准确评价受者的免疫功能状态,并探索在免疫不足和免疫过度之间找到最佳平衡点的新方法。我们设计本前瞻性临床试验,动态监测肾移植受者外周血淋巴细胞亚群的变化,探讨其在感染和排斥反应过程中的变化以及与免疫状态的关系,报告如下。
前瞻性动态检测郑州大学第一附属医院肾移植中心2015年6月至2016年12月间肾移植受者和同期亲属活体供肾者淋巴细胞亚群数据。研究方案经医院伦理委员会批准实施,观察对象均自愿签署知情同意书。
术前组:(1)明确诊断为慢性终末期肾病的成年患者;(2)无行肾移植手术的禁忌证;(3)按前瞻性研究方案进行首次肾移植;(4)术前明确诊断无感染。
术后稳定组:(1)术后血肌酐呈阶梯性下降,且波动在正常范围内;(2)明确诊断未发生感染或急性排斥反应;(3)术后群体反应性抗体(PRA)阴性。
术后感染组:(1)体液培养有明确细菌学特征和(或)典型感染影像学表现;(2)出现典型的感染症状,如发热、咳嗽、尿路刺激症、疱疹等;(3)抗感染治疗后症状好转,感染指标下降。
术后排斥组:(1)移植肾穿刺病理明确诊断急性排斥反应者;(2)符合急性排斥反应的临床诊断标准[1],经糖皮质激素冲击等抗排斥反应治疗有效。
健康对照组:为符合亲属活体供肾标准[2]的健康成年供肾者。
(1)按纳入标准诊断不明者;(2)不可控制严重感染合并排斥反应或排斥反应治疗期间出现严重感染;(3)出现不可控因素;(4)发生肿瘤;(5)未按要求进行指标检测者;(6)要求退组者。
流式细胞分析仪检测供者术前,受者术前和术后1、2、4周以及术后2、3、4、5、6个月外周血淋巴细胞(Lym)计数、T淋巴细胞(T细胞)计数、CD4+ T淋巴细胞(CD4+细胞)计数、CD8+T淋巴细胞(CD8+细胞)计数、B淋巴细胞(B细胞)计数、自然杀伤细胞(NK细胞)计数、CD4+细胞/CD8+细胞比值。随访期间受者明确诊断感染或急性排斥反应时,即归为术后感染组或术后排斥组,及时检测其淋巴细胞亚群,并动态监测治疗期间、治疗后1周以及1、3个月时淋巴细胞亚群变化;未发生明显术后并发症的随访受者均纳入稳定组。
所有数据采用SPSS(22.0版)统计软件进行分析。数据描述采用均数±标准差(
±s)表示。正态分布资料采用两样本独立t检验,多组数据比较采用单因素方差分析,计数资料比较采用卡方检验,P<0.05为差异有统计学意义。频率分布研究淋巴细胞亚群在稳定组中参考范围,Logistic回归筛选淋巴细胞亚群中与感染和排斥反应相关的敏感指标。
入组对象的基线资料见表1。本研究共纳入健康成年亲属活体肾者64名(健康对照组)和肾移植受者351例(术前组),其中术后发生感染者67例(术后感染组),术后发生急性排斥反应46例(术后排斥组),术后稳定者238例(术后稳定组)。术后稳定组的238例中,采用他克莫司(Tac)+吗替麦考酚酯(MMF)+泼尼松(Pred)(Tac方案)预防排斥反应者162例,采用环孢素A(CsA)+MMF+Pred(CsA方案)者76例。术后感染组的67例中,采用Tac方案预防排斥反应者46例,采用CsA方案者21例。术后排斥组的46例中,采用Tac方案预防排斥反应者30例,采用CsA方案者16例。

入组对象基线资料(
±s)
入组对象基线资料(
±s)
| 组别 | 例数 | 年龄(岁) | 性别(例) | 供者类别(例) | 用药(例) | |||
|---|---|---|---|---|---|---|---|---|
| 男 | 女 | 亲属 | 器官捐献 | CsA方案 | Tac方案 | |||
| 健康对照组 | 64 | 36±15 | 20 | 11 | - | - | - | - |
| 术前组 | 351 | 38±10 | 276 | 75 | 97 | 254 | - | - |
| 术后稳定组 | 238 | 36±8 | 191 | 47 | 66 | 172 | 76 | 162 |
| 术后感染组 | 67 | 38±9 | 50 | 17 | 19 | 48 | 21 | 46 |
| 术后排斥组 | 46 | 35±8 | 35 | 11 | 12 | 34 | 16 | 30 |
| P值 | P=0.884 | P=0.438 | P=0.798 | P=0.868 | ||||
此三组的淋巴细胞亚群见表2。术前组的Lym、T细胞、CD4+细胞、CD8+细胞、B细胞、NK细胞明显低于健康对照组(P<0.05),也低于术后稳定组,但仅CD8+细胞的差异有统计学意义(P<0.05)。术前组CD4+细胞/CD8+细胞与健康对照组比较,差异无统计学意义,但显著高于术后稳定组(P<0.05)。

健康对照组、术前组及术后稳定组各淋巴细胞亚群的比较(
±s)
健康对照组、术前组及术后稳定组各淋巴细胞亚群的比较(
±s)
| 组别 | 例数 | Lym(1/μl) | T细胞(1/μl) | CD4+细胞(1/μl) | CD8+细胞(1/μl) | B细胞(1/μl) | NK细胞(1/μl) | CD4+细胞/CD8+细胞 |
|---|---|---|---|---|---|---|---|---|
| 健康对照组 | 64 | 2 336±191a | 1 441±89a | 838±142a | 487±119a | 281±82a | 378±61a | 1.73±0.19 |
| 术前组 | 351 | 1 317±149 | 934±35 | 531±21 | 376±78 | 122±61 | 197±14 | 1.60±0.06 |
| 术后稳定组 | 238 | 1 615±290 | 1 227±215 | 534±73 | 626±46a | 130±37 | 200±35 | 0.96±0.19a |
注:与术前组比较,aP<0.05
术后稳定组与健康对照组各淋巴细胞亚群计数及CD4+细胞/CD8+细胞比值的集中频率分布差异显著(P<0.05,图1),术后稳定组各指标的集中频率分布范围如下:Lym为1 000~1 500/μl,T细胞<1 500/μl,CD4+细胞<1 000/μl,CD8+细胞<1 000/μl,B细胞<300/μl,NK细胞为100~300/μl,CD4+细胞/CD8+细胞比值为0.5~1.0。


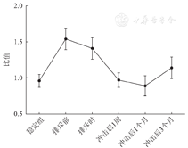
术后感染组在感染前2~4周、感染前、感染期、治愈后1个月和3个月时的淋巴细胞亚群和CD4+细胞/CD8+细胞比值的动态变化见图2、图3。术后感染组在感染发生前1个月的淋巴细胞亚群与术后稳定组比较,差别不大;感染前Lym、T细胞、NK细胞计数较明显下降,低于术后稳定组(P<0.05);感染期Lym、T细胞、CD4+细胞、CD8+细胞、B细胞、NK细胞计数均低于术后稳定组(P<0.05),CD4+细胞/CD8+细胞比值的变化均无统计学意义。感染控制后1个月,各指标逐渐恢复至术后稳定组水平,随访至治愈后3个月时均处于术后稳定组水平。进一步分析显示,T细胞、CD4+细胞、CD8+细胞、B细胞与感染高度相关(表3)。

与感染有关各淋巴细胞相关性
与感染有关各淋巴细胞相关性
| X轴 | Y轴 | 相关系数 | P值 |
|---|---|---|---|
| Lym | T淋巴细胞 | 0.974 | <0.001 |
| Lym | CD4+细胞 | 0.937 | <0.001 |
| Lym | CD8+细胞 | 0.780 | <0.001 |
| Lym | B淋巴细胞 | 0.558 | <0.001 |
| Lym | NK细胞 | 0.219 | 0.199 |
| T淋巴细胞 | CD4+细胞 | 0.950 | <0.001 |
| T淋巴细胞 | CD8+细胞 | 0.823 | <0.001 |
| CD4+细胞 | CD8+细胞 | 0.769 | <0.001 |
注:Lym为外周血淋巴细胞,NK细胞为自然杀伤细胞




术后排斥组在排斥前、排斥时以及冲击治疗后1周、1个月、3个月时的淋巴细胞亚群和CD4+细胞/CD8+细胞比值的动态变化见图4、图5。术后排斥组在排斥反应发生前CD4+细胞、CD4+细胞/CD8+细胞开始升高,明显高于术后稳定组(P<0.05);排斥反应发生时,T细胞、CD4+细胞、CD4+细胞/CD8+细胞较术后稳定组明显升高(P<0.05);冲击治疗1周时,T细胞、CD4+细胞、CD8+细胞、B细胞、NK细胞计数均低于稳定组(P<0.05);排斥反应逆转后,随访1、3个月时,各指标逐步恢复至术后稳定组水平。进一步分析显示,T细胞、CD4+细胞、CD8+细胞与排斥反应高度相关(表4)。

与排斥反应有关各淋巴细胞相关性
与排斥反应有关各淋巴细胞相关性
| X轴 | Y轴 | 相关系数 | P值 |
|---|---|---|---|
| Lym | T淋巴细胞 | 0.957 | <0.001 |
| Lym | CD4+细胞 | 0.440 | 0.033 |
| Lym | CD8+细胞 | -0.279 | 0.355 |
| Lym | B淋巴细胞 | 0.253 | 0.404 |
| Lym | NK细胞 | -0.411 | 0.163 |
| T淋巴细胞 | CD4+细胞 | 0.494 | 0.015 |
| T淋巴细胞 | CD8+细胞 | -0.399 | 0.177 |
| CD4+细胞 | CD8+细胞 | 0.517 | 0.027 |
注:Lym为外周血淋巴细胞,NK细胞为自然杀伤细胞




将Lym、T细胞、CD4+细胞、CD8+细胞、B细胞、NK细胞、CD4+细胞/CD8+细胞比值进行Logistic回归分析,筛选出与术后感染或排斥反应相关的独立因素为:T细胞、CD4+细胞、CD8+细胞、B细胞、CD4+细胞/CD8+细胞比值(表5)。

感染期与排斥反应期单因素回归分析
感染期与排斥反应期单因素回归分析
| 细胞分类 | 分组 | 回归系数(B) | Wail值 | P值 |
|---|---|---|---|---|
| 外周血淋巴细胞 | X1 | -0.001 | 2.134 | 0.144 |
| T淋巴细胞 | X2 | -2.201 | 6.009 | 0.021 |
| CD4+细胞 | X3 | -0.016 | 8.943 | 0.003 |
| CD8+细胞 | X4 | -0.004 | 0.617 | 0.042 |
| B淋巴细胞 | X5 | -0.005 | 0.862 | 0.033 |
| 自然杀伤细胞 | X6 | -0.004 | 0.632 | 0.053 |
| CD4+细胞/CD8+细胞 | X7 | -3.708 | 7.809 | 0.005 |
患者感染或排斥反应发生时淋巴细胞亚群中CD4+细胞(X3)、CD4+细胞/CD8+细胞(X7)两项为疾病进展的独立影响因素,Logistic回归方程:
p=e-0.016X3-2.98X7+12.81/(1+ e-0.016X3-2.98X7+12.81)
方程有效性检验:χ2=16.127,P<0.01
p越接近于1提示感染可能性越大,越接近于0提示排斥反应可能性大。
慢性肾脏病终末期患者因长期低蛋白血症,内环境紊乱,伴随全身病症,如贫血、高血压、心功能不全、糖尿病等,长期透析,免疫功能低下,是感染高危人群[3,4,5]。淋巴细胞亚群计数在一定程度上反映患者的免疫状态。本研究显示,术前组患者的Lym、T细胞、CD4+细胞、CD8+细胞、NK细胞、B细胞计数均低于健康人群,其原因:(1)毒素、炎症因子在体内蓄积及酸中毒作用[6],凋亡加速;(2)抑制T淋巴细胞分化及转化,使其功能缺陷和低下。因此,术前充分透析、改善营养状态,治疗合并症,缩短移植等待时间,提高免疫力,可降低术后感染发生率。
Colvin[7]首次提出肾移植术后CD4+细胞/CD8+细胞比值过高易发生排斥反应,反之易发生感染。熊海云等[8]研究表明,肾移植术后肺部感染者CD4+T淋巴细胞计数较未感染者减低,且与预后相关。本研究显示,感染发生时Lym、T细胞、CD4+细胞、CD8+细胞、B细胞、NK细胞计数均低于术后稳定组(P<0.05),与上述研究一致;相关性分析显示,T细胞、CD4+细胞、CD8+细胞、B细胞与感染高度相关。动态监测发现,随着感染进展,其各计数逐渐降低,应用敏感抗菌药物,必要时减少或撤除免疫抑制剂,感染控制后,其计数逐渐回升,免疫力逐步增强,在此阶段应及时恢复或增加免疫抑制剂用量,避免排斥反应发生。其动态检测为感染受者实现个体化用药提供理论支持。
肾移植术后排斥反应发生时,炎症因子、穿孔素、颗粒酶等升高,反映T细胞、CD4+细胞、CD8+细胞数量和活化能力增强[9]。Wever等[10]报道急性排斥反应时CD4+T淋巴细胞增加,CD4+细胞/CD8+细胞比值升高,本研究与此一致。动态监测发现,随着排斥反应进展,T细胞、CD4+细胞、CD4+细胞/CD8+细胞比值高于术后稳定组;进一步分析显示,T细胞、CD4+细胞、CD8+细胞与排斥反应高度相关。排斥反应逆转后,其计数逐渐回落,应及时调整糖皮质激素冲击和免疫抑制剂剂量,避免冲击过程中感染的发生。其动态监测为排斥反应受者实现个体化用药提供理论支持。
本研究发现,受者感染或排斥反应发生前,淋巴细胞亚群出现不同程度的降低或升高。Logistic回归验证了T细胞、CD4+细胞、CD8+细胞、B细胞和CD4+细胞/CD8+细胞比值为感染和排斥反应的危险因素,CD4+细胞计数及CD4+细胞/CD8+细胞比值两项为感染或排斥反应发生的独立影响因素,且p越接近于1发生感染的可能性越大(平均p值:0.971 8~0.997 1),越接近于0发生排斥反应的可能性越大(平均p值:0.007 6~0.088 1)。进一步计算术后稳定组p=0.803 0,通过监测受者淋巴细胞亚群计数变化,计算p值变化趋向以预测受者发生感染或急性排斥反应的倾向,及时给予临床干预,进而避免感染或排斥反应的发生。随着感染症状的好转,各淋巴细胞亚群计数逐渐回升,p值显著接近于术后稳定组水平;抗排斥反应治疗1周时受者的各淋巴细胞亚群计数明显下降,p值接近于1,表明受者感染风险较高,此时应注意免疫抑制剂的调整和预防性抗感染治疗,随着时间延长p值逐渐恢复至术后稳定组水平。进一步应用频率分布显示受者淋巴细胞亚群与健康人差异,得出稳定受者各计数参考范围,为免疫抑制剂调整提供参考。
综上,淋巴细胞亚群监测对受者免疫状态评价及个体治疗具有重要临床价值。但本文仅探讨了在淋巴细胞亚群计数的基础上评价受者的免疫状态,应进一步探索各淋巴细胞功能的新方法,真正实现免疫治疗的个体化。





















