
了解浅表性瘢痕患者、增生性瘢痕患者、萎缩性瘢痕患者瘢痕皮肤的经皮水分丢失(TEWL)情况,探讨TEWL与瘢痕严重程度的关系。
采用回顾性观察性研究方法。2017年2月—2019年2月,吉林市化工医院收治符合入选标准的瘢痕患者120例,其中男78例、女42例,年龄(35±14)岁。根据入院时诊断情况,本组患者中浅表性瘢痕患者、增生性瘢痕患者、萎缩性瘢痕患者各40例。入院时,采用温哥华瘢痕量表(VSS)对每例患者瘢痕进行评分,应用水分流失测试仪测定每例患者的瘢痕皮肤和“瘢痕边缘约1 cm处或健侧相同部位正常皮肤”(下称正常皮肤)TEWL并计算瘢痕皮肤和正常皮肤TEWL的差值(下称TEWL差值)。对数据比较进行χ2检验、Kruskal-Wallis秩和检验、配对样本t检验、单因素方差分析、Dunnett-t检验,对TEWL差值与瘢痕VSS评分的相关性进行一元线性回归分析。
入院时,浅表性瘢痕患者瘢痕VSS评分明显低于增生性瘢痕患者、萎缩性瘢痕患者(t=4.403、4.768,P<0.01),萎缩性瘢痕患者瘢痕VSS评分明显低于增生性瘢痕患者(t=4.185,P<0.01)。入院时,浅表性瘢痕患者、增生性瘢痕患者、萎缩性瘢痕患者瘢痕皮肤TEWL分别为(18±4)、(20±4)、(20±5)g·m-2·h-1,分别明显高于正常皮肤TEWL的(12±3)、(12±3)、(14±4)g·m-2·h-1(t=6.889、10.221、5.870,P<0.01)。浅表性瘢痕患者、增生性瘢痕患者、萎缩性瘢痕患者TEWL差值分别为(5.9±1.7)、(8.1±1.7)、(6.4±2.1)g·m-2·h-1,各类型瘢痕患者比较,仅增生性瘢痕患者TEWL差值明显高于浅表性瘢痕患者(t=6.975,P<0.05)。浅表性瘢痕患者、增生性瘢痕患者、萎缩性瘢痕患者TEWL差值与瘢痕VSS评分均呈明显正相关(r=0.805、0.872、0.826,P<0.01)。
浅表性瘢痕患者、增生性瘢痕患者、萎缩性瘢痕患者瘢痕皮肤TEWL均较正常皮肤增加,增加程度与瘢痕的严重程度呈正相关。
瘢痕是创伤修复后的正常产物,创面和伤口只要达到了相应的深度都会遗留瘢痕。瘢痕的分类方法有很多,根据瘢痕的病变组织学特点,临床上可分为浅表性瘢痕、增生性瘢痕、萎缩性瘢痕、挛缩性瘢痕、瘢痕疙瘩和瘢痕癌。瘢痕皮肤作为一种损伤修复后的皮肤形态,和正常皮肤的结构存在着明显的差异,其中表皮层差异更为明显;而表皮KC在维持皮肤水分中起重要作用,构成了重要的皮肤屏障。因此,瘢痕皮肤结构的改变造成了瘢痕皮肤与正常皮肤屏障功能的差异。
经皮水分丢失(TEWL)是评估皮肤屏障功能的重要生理指标。TEWL的升高程度可以客观反映瘢痕皮肤屏障功能受损的程度,进而体现瘢痕的严重程度,同时瘢痕的TEWL和瘢痕的很多其他病理生理特性和生物学表现也存在关联,例如瘢痕色素[1]、血管情况、生物力学表现[2]、弹性[3]、瘙痒程度[4]等,针对这些特性和表现进行瘢痕的综合分析,是瘢痕客观评估的重要内容[5]。TEWL还可以用于动态观察瘢痕的成熟程度[3],并作为创面愈合质量和瘢痕恢复程度的评价标准之一[6]。有鉴于此,本研究进行浅表性瘢痕患者、增生性瘢痕患者、萎缩性瘢痕患者瘢痕皮肤与正常皮肤TEWL情况分析,从而探讨瘢痕皮肤屏障功能与正常皮肤的差异以及瘢痕的严重程度对瘢痕皮肤屏障功能的影响。
本回顾性观察性研究符合《赫尔辛基宣言》的基本原则。
纳入标准:年龄、性别不限,热力烧伤所致浅表性瘢痕、增生性瘢痕、萎缩性瘢痕,进行了温哥华瘢痕量表(VSS)评分与TEWL检测。排除标准:检测部位瘢痕皮肤存在瘢痕破溃创面、瘢痕湿疹、皮炎、皮肤软组织感染、营养代谢和结缔组织皮肤病等疾病,存在全身免疫系统疾病等影响TEWL测量结果的病例。
2017年2月—2019年2月,吉林市化工医院收治的120例瘢痕患者符合入选标准,纳入本研究。全部患者均为热力烧伤创面愈合后形成瘢痕,其中男78例(65.0%)、女42例(35.0%),年龄12~67(35±14)岁,瘢痕位于头面颈部者26例(21.7%)、躯干者34例(28.3%)、上肢者29例(24.2%)、下肢者31例(25.8%),瘢痕面积<1%TBSA者52例(43.3%)、1%~10%TBSA者47例(39.2%)、>10%TBSA者21例(17.5%),瘢痕形成时间1~24(12±6)个月。根据入院时诊断,患者中浅表性瘢痕患者、增生性瘢痕患者、萎缩性瘢痕患者各40例。3种类型瘢痕患者性别、年龄、瘢痕部位、瘢痕面积相近(P>0.05),瘢痕形成时间有明显差异(P<0.01),见表1。

3种类型瘢痕患者临床资料比较
3种类型瘢痕患者临床资料比较
| 瘢痕类型 | 例数 | 性别(例) | 年龄 (岁,) | 瘢痕部位(例) | 瘢痕面积(例) | 瘢痕形成时间 (个月,) | ||||||
|---|---|---|---|---|---|---|---|---|---|---|---|---|
| 男 | 女 | 头面颈 | 躯干 | 上肢 | 下肢 | <1%TBSA | 1%~10%TBSA | >10%TBSA | ||||
| 浅表性瘢痕 | 40 | 24 | 16 | 33±12 | 12 | 10 | 7 | 11 | 21 | 12 | 7 | 9±4 |
| 增生性瘢痕 | 40 | 26 | 14 | 34±14 | 6 | 11 | 11 | 12 | 13 | 18 | 9 | 8±4 |
| 萎缩性瘢痕 | 40 | 28 | 12 | 35±13 | 8 | 13 | 11 | 8 | 18 | 17 | 5 | 16±5 |
| 统计量值 | χ2=0.879 | F=0.322 | χ2=4.508 | Z=2.977 | F=29.524 | |||||||
| P值 | 0.644 | 0.725 | 0.608 | 0.226 | <0.001 | |||||||
注:TBSA为体表总面积
入院时,应用VSS对每例患者瘢痕的色泽、厚度、血管分布、柔软度进行评估并计分。色泽评估由瘢痕与正常皮肤色泽近似至瘢痕色泽较深,评分为0~3分;厚度评估由瘢痕同正常皮肤高度相同至瘢痕高度>4 mm,评分为0~4分;血管分布评估由瘢痕红润程度与正常皮肤近似至瘢痕呈紫色,评分为0~3分;柔软度评估由瘢痕与正常皮肤相同到瘢痕挛缩(永久性短缩导致残疾与畸形),评分为0~5分。总分0~15分,评分越高表明瘢痕越严重。
入院时,引导每例患者至温度(24.0±1.0)℃、相对湿度(45±5)%环境中休息30 min后,应用德国Courage Khazaka公司生产的TM300型水分流失测试仪连续记录瘢痕皮肤(面积约1 cm2)与“瘢痕边缘约1 cm处或健侧同部位正常皮肤”(下称正常皮肤)TEWL 1 min,结果取均值。见图1。计算每例患者瘢痕皮肤和正常皮肤TEWL的差值(下称TEWL差值)。所有患者测定前自愿签署知情同意书。


采用SPSS 20.0统计软件进行数据分析。计数资料数据以频数(百分比)表示,各类型瘢痕患者间总体比较行χ2检验;等级资料数据以频数表示,各类型瘢痕患者间总体比较行Kruskal-Wallis秩和检验;计量资料数据符合正态分布,以表示,各类型瘢痕患者内两两比较行配对样本t检验,各类型瘢痕患者间总体比较行单因素方差分析,各类型瘢痕患者间多重比较采用Dunnett-t检验,P<0.05为差异有统计学意义。对TEWL差值与瘢痕VSS评分的相关性进行一元线性回归分析,P<0.05为相关性有统计学意义。
入院时,浅表性瘢痕患者、增生性瘢痕患者、萎缩性瘢痕患者瘢痕VSS评分分别为(3.8±1.0)、(9.9±2.7)、(6.2±2.2)分,总体比较,差异有统计学意义(F=83.740,P<0.001)。浅表性瘢痕患者瘢痕VSS评分明显低于增生性瘢痕患者、萎缩性瘢痕患者(t=4.403、4.768,P<0.001),萎缩性瘢痕患者瘢痕VSS评分明显低于增生性瘢痕患者(t=4.185,P<0.001)。
入院时,3种类型瘢痕患者瘢痕皮肤、正常皮肤TEWL总体比较,差异均无统计学意义(P>0.05)。与正常皮肤比较,浅表性瘢痕患者、增生性瘢痕患者、萎缩性瘢痕患者瘢痕皮肤TEWL均明显升高(P<0.01),见表2。浅表性瘢痕患者、增生性瘢痕患者、萎缩性瘢痕患者TEWL差值分别为(5.9±1.7)、(8.1±1.7)、(6.4±2.1)g·m-2·h-1,总体比较,差异有统计学意义(F=3.762,P=0.026)。浅表性瘢痕患者与萎缩性瘢痕患者TEWL差值相近(t=6.108,P=0.194);增生性瘢痕患者TEWL差值与萎缩性瘢痕患者相近(t=5.485,P=0.602),但明显高于浅表性瘢痕患者(t=6.975,P=0.021)。

3种类型瘢痕患者瘢痕皮肤与正常皮肤经皮水分丢失情况比较(g·m-2·h-1,)
3种类型瘢痕患者瘢痕皮肤与正常皮肤经皮水分丢失情况比较(g·m-2·h-1,)
| 瘢痕类型 | 例数 | 瘢痕皮肤 | 正常皮肤 | t值 | P值 |
|---|---|---|---|---|---|
| 浅表性瘢痕 | 40 | 18±4 | 12±3 | 6.889 | <0.001 |
| 增生性瘢痕 | 40 | 20±4 | 12±3 | 10.221 | <0.001 |
| 萎缩性瘢痕 | 40 | 20±5 | 14±4 | 5.870 | <0.001 |
| F值 | 2.769 | 2.868 | |||
| P值 | 0.067 | 0.061 |
注:正常皮肤为瘢痕边缘约1 cm处或健侧相同部位正常皮肤
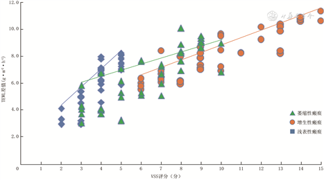
浅表性瘢痕患者、增生性瘢痕患者、萎缩性瘢痕患者TEWL差值与瘢痕VSS评分均呈明显正相关(P<0.01),见图2。


注:TEWL为经皮水分丢失,VSS为温哥华瘢痕量表;正常皮肤为瘢痕边缘约1 cm处或健侧相同部位正常皮肤
目前,临床主要通过诸如VSS、视觉模拟评分法、患者与观察者的瘢痕评估量表等瘢痕主观评估量表或方法对瘢痕进行评估。尽管这些量表具有操作简单、内容较为全面、可以较为快速地评估瘢痕情况等优点,但由于评估结果主观判断参数所占权重偏大,测试者和被测试者以及测试者内部存在的差异,有时只有中等的信度而被认为可靠性存在不足[7]。瘢痕的客观评价方法,例如瘢痕厚度、颜色、弹性和硬度检测、血管及血流检测、TEWL检测等,可以客观评估瘢痕情况[8],有助于更加精确地评价瘢痕[9]并指导临床治疗。
TEWL是反映皮肤屏障功能最重要的非侵入性生理特征指标之一,其高低直接体现了表皮结构和功能的情况。表皮角质层含水量的多少对皮肤的生理功能有着重要的调节作用,同时也是整个皮肤生理功能乃至整个机体生理功能在皮肤的表现[10]。皮肤的部位[11, 12]、患者的性别和年龄[13]、环境温度与湿度等都可以对TEWL产生影响,这些影响会造成不同部位的瘢痕TEWL检测值差异巨大,只有消除这些差异的影响才能获得瘢痕皮肤屏障功能真实情况。因此,本研究在进行瘢痕皮肤与正常皮肤TEWL比较的同时,还计算了二者差值,这样就排除了上述因素的误差影响,并将TEWL差值作为判断瘢痕皮肤屏障功能障碍的标准。
浅表性瘢痕、增生性瘢痕、萎缩性瘢痕是3种烧伤和创伤后常见的瘢痕类型,通过本项研究,本课题组观察到3种类型瘢痕患者瘢痕VSS评分存在明显差异,增生性瘢痕高于萎缩性瘢痕和浅表性瘢痕,而萎缩性瘢痕也高于浅表性瘢痕,表明增生性瘢痕从色泽、厚度、血管分布、柔软度方面综合比较来看,比萎缩性瘢痕和浅表性瘢痕更为严重。这3种类型瘢痕与正常皮肤间都存在着组织学差异[14],导致了瘢痕皮肤和正常皮肤的TEWL存在着明显的差别[6]。本研究显示,3种类型瘢痕患者瘢痕皮肤的TEWL均高于正常皮肤,表明3种类型瘢痕皮肤的屏障功能较正常皮肤下降。同时,3种类型瘢痕患者TEWL差值和瘢痕VSS评分是呈明显正相关的,瘢痕VSS评分越高,相应的TEWL差值也越大,说明瘢痕的严重程度可直接影响瘢痕皮肤的TEWL,越严重的瘢痕与正常皮肤比较表皮角质层结构的差异越大可能是导致这种变化的主要原因[15]。TEWL越高,经过皮肤流失的水分就越多,相应的皮肤就越干燥,这也是导致瘢痕皮肤干燥瘙痒、疼痛、脱屑、弹性和耐摩擦性下降、反复破溃的重要原因。
因为瘢痕皮肤TEWL与瘢痕本身的结构和严重程度存在着密切的相关性,其在临床工作中具有一定的指导意义。瘢痕皮肤TEWL可以用于药物治疗、光电治疗、放射治疗、手术治疗、物理康复治疗等瘢痕治疗方法的效果评估,并为治疗方案的选择和调整提供参考和指导。例如硅酮类和一些湿性敷料通过封闭和水合作用减少瘢痕皮肤水分流失,保持瘢痕皮肤含水量,从而达到减轻瘢痕胶原增生、软化瘢痕、减轻瘢痕增生的目的,这其中TEWL是评估其效果的重要指标之一[16, 17, 18, 19]。在瘢痕光电治疗过程中,TEWL可以作为光电治疗方案和能量参数选择的依据之一,评估治疗适应证、效果和不良反应情况[20];同时对于光电联合其他治疗方法,例如脂肪移植、间充质干细胞移植、富血小板血浆、微针等,TEWL测定也能进行治疗方案指导和治疗效果评价[21, 22, 23, 24, 25, 26]。中厚和全厚皮片移植后的患者因为瘢痕的程度减轻,其TEWL与正常皮肤差异性变小[3],应用ADM加自体皮移植,同样可以缩小与正常皮肤的差异[27]。国外也把瘢痕皮肤屏障功能的评估作为瘢痕患者的康复治疗效果评价标准之一[28, 29],这些都说明瘢痕皮肤TEWL测定在瘢痕评估和治疗中具有实际作用。
综上,浅表性瘢痕、增生性瘢痕、萎缩性瘢痕的皮肤屏障功能均较正常皮肤下降,且下降程度与瘢痕的严重程度呈正相关;TEWL可以作为瘢痕皮肤屏障功能受损情况的客观评估指标之一,其具有无创、快速、操作简便、客观性高的优点。当然,本文并不是要否认瘢痕的主观评估方法,而是为了探索一套瘢痕的主观与客观相结合,覆盖主观评估量表、瘢痕形态学、病理生理学、功能学的综合评估系统,从而更加准确地进行瘢痕评估和指导临床治疗工作。
所有作者均声明不存在利益冲突





















