
我国心力衰竭(心衰)疾病负担沉重,创建适合我国国情的心衰防控管理模式及体系,有助于改善患者预后、降低疾病负担。医疗质量评价是实现心衰长期随访和优化诊疗的关键环节,心衰中心联盟心衰医疗质量控制指标包括诊断指标、治疗指标、过程指标(随访率)和结局指标(再住院率和死亡率)。对2017至2022年心衰中心联盟认证的753家医院的538 747例住院心衰患者的数据分析显示,近年来认证医院诊断心衰时超声心动图和B型利钠肽/N末端B型利钠肽原的使用率,改善射血分数降低的心衰患者预后药物使用率及达标率,伴有心房颤动的心衰患者进行抗凝治疗的比例,以及出院后随访率均有所提升,基层版心衰中心与标准版心衰中心上述指标趋于一致。数据分析还显示规范心衰的诊治可以降低患者出院后1个月和1年再住院率和死亡率。数据分析结果总体提示近年来我国心衰诊治水平整体提高,但心衰患者出院后1年随访率仍偏低,改善预后药物使用率仍有提升空间,改善预后药物的剂量仍明显不足,需要继续推行遵循指南的规范化治疗,以给患者带来长期稳定的获益。部分指标在基层版心衰中心和标准版心衰中心之间仍存在差距,推行高质量的同质化管理仍任重道远。
版权归中华医学会所有。
未经授权,不得转载、摘编本刊文章,不得使用本刊的版式设计。
除非特别声明,本刊刊出的所有文章不代表中华医学会和本刊编委会的观点。
心力衰竭(心衰)是心血管疾病的严重表现或中晚期阶段,是严重危及人类生命的临床综合征,具有发病率高、病死率高、住院率高、患者生活质量差以及医疗花费高的特点,减轻心衰造成的社会经济负担已成为全球公共卫生的主要优先事项。2000年的一项调查显示我国心衰患病率为0.9%(男性0.7%,女性1.0%)[1]。2015年的一项调查显示我国≥35岁人群心衰的患病率为1.3%,左心室收缩功能障碍[左心室射血分数(left ventricular ejection fraction,LVEF)<50%]发生率为1.4%,中重度左心室舒张功能障碍发生率为2.7%[2]。基于2017年我国6省、直辖市5 000万城镇职工医疗保险数据的分析显示,我国心衰标准化患病率为1.1%,≥25岁的心衰患者达1 210万,≥35岁人群心衰患病率为1.38%;25~64岁、65~79岁和≥80岁人群心衰患病率分别为0.57%、3.86%和7.55%;首次得到我国心衰发病率为275/10万人年(男性287/10万人年、女性261/10万人年),每年新发心衰300万例;25~64岁、65~79岁和≥80岁人群心衰发病率分别为158/10万人年、892/10万人年和1 655/10万人年;住院心衰患者人均费用为29 746元/年,其中住院≥3次患者的比例为40.5%,平均住院9.7 d;心衰患者门诊人均费用为6 023元/年[3]。可以预见,随着人口老龄化的加剧我国心衰负担将更为沉重。在全国范围内开展心衰诊疗质量评价,有助于国家相关部门了解我国心衰的疾病负担、诊治及管理现状和促进心衰医疗质量持续改进,有助于提高临床医师对心衰预防、诊治和管理的认识。
为创建适合我国国情的心衰防控管理模式及管理体系,2016年由中华医学会心血管病学分会及其心衰学组、中国心血管健康联盟联合启动了心衰中心建设项目。2017年成立了心衰中心专家委员会,先后制定了《中国心衰中心认证标准》《心衰中心(基层版)认证标准》《心衰中心(标准版)建设与评估标准》《心衰中心(基层版)建设与评估标准》《中国心衰中心质控指标和考核办法》《心衰诊断与治疗质量评价和控制指标专家共识》等指导性文件[4, 5]。2019年底在国家卫生健康委员会医政医管局指导下,由17家核心医院、20个心衰省级协作组织、250家通过认证的心衰中心、1 013家心衰中心在建单位共同组建了心衰中心联盟。
1.对心衰中心医院的基本要求:各心衰中心由院级领导挂帅,科主任或科主任指定专家负责医院心衰中心的建设与实施;成立多学科管理团队,包括中心主任、心衰专家、心脏专科医师(心脏内科、心脏外科)、全科医师或基层医师、护士、临床药师、营养科医师、康复治疗师等;设立心衰病房或病区及心衰门诊。
2.心衰中心建设与认证的基本情况:截至2022年12月,心衰中心注册单位达2 146家(三级医院1 275家、二级医院871家),其中753家(35.0%)通过认证(三级医院558家、二级医院195家,其中示范基地50家),475家为标准版心衰中心,278家为基层版心衰中心,覆盖全国31个省份263个市、州或地区,建立省级心衰中心协作组织23个和地市级协作组织64个。心衰中心注册单位和认证单位逐年递增,2018年有认证单位98家,2021年新增了188家,2022年新增了140家,其中基层心衰中心比例逐年增加。
3.心衰医疗质量控制标准:医疗质量评价是心衰长期随访过程中优化诊疗、提高护理质量、减少不良预后的关键环节。心衰中心医疗质量控制指标包括诊断指标、治疗指标、过程指标(出院后1周、1个月、3个月和1年的随访率)和结局指标(出院后30 d、1年再入院率,1年死亡率),详见表1。2017至2022年,通过认证、培训、教育、管理、评估及数据分析等措施,建立了心衰中心的质量管理监控体系,以保障各心衰中心医疗质量持续改进。截至2022年12月,心衰中心质控平台已上传数据652 033例,建立了迄今为止国内外最大样本量的心衰数据库。

心衰中心联盟心衰医疗质量控制认证标准
心衰中心联盟心衰医疗质量控制认证标准
| 质控指标 | 标准版认证标准 | 基层版认证标准 |
|---|---|---|
| 数量指标 | ||
| 心衰诊治例数 | >300例/年,每个月至少录入10例 | >100例/年,每个月至少录入8例 |
| 诊断指标 | ||
| 诊断使用超声心动图 | 90% | 80% |
| 诊断使用BNP或NT-proBNP | 90% | 80% |
| 出院用药指标(排除有禁忌证患者) | ||
| 出院前HFrEF患者使用ARNI/ACEI/ARB | 80% | 80% |
| 出院前HFrEF患者使用β受体阻滞剂 | 80% | 80% |
| 出院前HFrEF患者使用MRA | 80% | 80% |
| 出院前HFrEF患者使用SGLT-2i | 50% | 40% |
| 合并心房颤动的患者使用抗凝药物 | 60% | 50% |
| 合并糖尿病的患者使用SGLT-2i | 70% | 70% |
| 随访时间指标 | ||
| 1周随访率 | 80% | 80% |
| 1个月随访率 | 60% | 60% |
| 3个月随访率 | 50% | 50% |
| 1年随访率 | 50% | 50% |
| 随访期间用药指标(排除有禁忌证患者) | ||
| HFrEF患者使用ARNI/ACEI/ARB | 80% | 80% |
| HFrEF患者使用β受体阻滞剂 | 80% | 80% |
| HFrEF患者使用MRA | 80% | 80% |
| HFrEF患者使用SGLT-2i | 60% | 50% |
| 合并心房颤动的患者使用抗凝药物 | 60% | 50% |
| 合并糖尿病的患者使用SGLT-2i | 70% | 70% |
| 随访期间药物剂量达标指标 | ||
| HFrEF患者ARNI/ACEI/ARB剂量达标率 | 60% | 60% |
| HFrEF患者β受体阻滞剂剂量达标率 | 60% | 60% |
| 预后指标 | ||
| 出院后30 d再入院率 | 下降 | 下降 |
| 出院后1年再入院率 | 下降 | 下降 |
| 出院后30 d死亡率 | 下降 | 下降 |
| 出院后1年死亡率 | 下降 | 下降 |
注:心衰为心力衰竭,BNP为B型利钠肽,NT-proBNP为N末端B型利钠肽原,HFrEF为射血分数降低的心力衰竭,ARNI为血管紧张素受体/脑啡肽酶抑制剂,ACEI为血管紧张素转换酶抑制剂,ARB为血管紧张素Ⅱ受体阻滞剂,MRA为盐皮质激素受体拮抗剂,SGLT-2i为钠-葡萄糖协同转运蛋白-2抑制剂
4.心衰中心建设与《心力衰竭分级诊疗服务技术方案》:心衰患者治疗效果差,住院周期长,医疗花费大,在三级医院就诊、住院难。分级诊疗是缓解心衰及其他慢性病看病难的关键。项目组从2018年开始推广“基层版心衰中心”建设,目的在于提高基层医疗卫生机构心衰诊疗和管理水平,为心衰的分级诊疗奠定基础。通过2年多的建设与实践,由心衰中心专家委员会牵头撰写了《心力衰竭分级诊疗服务技术方案》。2019年5月国家卫生健康委员会和国家中医药管理局联合发布了《心力衰竭分级诊疗服务技术方案》,该方案明确了不同级别医院的定位和工作重点,明确了分级诊疗路径和转诊标准等,“鼓励有条件的二级以上医院开展心衰中心建设,形成心衰疾病诊治网络体系”。通过推广心衰的规范诊治,广泛开展学术交流、基层医师及患者教育,明显提高了基层医疗机构的心衰诊治水平,促进了心衰分级诊疗的实施。
1.数据来源:本次心力衰竭医疗质量报告数据来源于全国通过心衰中心认证的753家医院,患者入院日期为 2017 年 1 月1日至 2022 年 11月30日,共计538 747例,其中三级医院558家、纳入病例468 556例(87.8%),二级医院195家、纳入病例65 204例(12.2%);标准版心衰中心475家、纳入病例449 266例(83.4%),基层版心衰中心278家、纳入病例89 370例(16.6%)。纳入医院分布于我国31个省、自治区、直辖市,医院及患者在全国的分布详见表2。按照入院日期,2017、2018、2019、2020、2021及2022年纳入的例数分别为25 993例(4.8%)、84 157例(15.6%)、122 077例(22.7%)、113 705例(21.1%)、117 140例(21.8%)及 75 355例(14.0%)。纳入病例存在不同项目的缺失,是真实数据情况的体现,经初步判断为随机缺失,故不详细标注,在计算比例时按该项指标的实际总人群数量。

纳入中国心衰中心联盟心力衰竭医疗质量报告(2022年)病例的地域分布情况
纳入中国心衰中心联盟心力衰竭医疗质量报告(2022年)病例的地域分布情况
| 省份a | 医院数量(家) | 填报病例数(例) | 省份a | 医院数量(家) | 填报病例数(例) | 省份a | 医院数量(家) | 填报病例数(例) | 省份a | 医院数量(家) | 填报病例数(例) |
|---|---|---|---|---|---|---|---|---|---|---|---|
| 湖北省 | 39 | 43 420 | 浙江省 | 36 | 25 131 | 福建省 | 22 | 14 238 | 吉林省 | 7 | 7 297 |
| 江苏省 | 38 | 42 656 | 山西省 | 16 | 22 813 | 安徽省 | 25 | 14 045 | 宁夏d | 2 | 1 423 |
| 广东省 | 55 | 38 447 | 辽宁省 | 38 | 21 236 | 天津市 | 9 | 13 929 | 青海省 | 1 | 1 327 |
| 四川省 | 51 | 32 369 | 陕西省 | 33 | 20 777 | 重庆市 | 24 | 12 876 | 广西e | 1 | 1 251 |
| 河南省 | 58 | 31 320 | 黑龙江省 | 21 | 17 905 | 贵州省 | 19 | 11 057 | 甘肃省 | 2 | 925 |
| 河北省 | 46 | 29 619 | 江西省 | 17 | 16 717 | 北京市 | 13 | 10 380 | 海南省 | 1 | 628 |
| 山东省 | 61 | 29 028 | 湖南省 | 25 | 15 293 | 云南省 | 20 | 10 052 | 西藏f | 1 | 154 |
| 上海市 | 38 | 28 604 | 新疆b | 23 | 15 119 | 内蒙古c | 9 | 8 600 |
注:a包括省、自治区、直辖市;b为新疆维吾尔自治区;c为内蒙古自治区;d为宁夏回族自治区;e为广西壮族自治区;f为西藏自治区
(1)年龄、性别构成:共纳入心衰住院患者538 747例,年龄(69.5±13.6)岁,其中女性221 060例(41.0%),<60岁、60~69岁、70~79岁、≥80岁的患者分别有115 026例[21.4%,其中女性29 614例(5.5%)]、124 000例[23.1%,其中女性45 797例(8.5%)]、159 887例[29.7%,其中女性73 104例(13.6%)]、138 619例[25.8%,其中女性72 123例(13.4%)],见图1。


(2)病因、合并症及临床特点:住院心衰患者的主要病因中,冠心病占59.9%、扩张型心肌病占12.2%,瓣膜性心脏病占9.3%。常见合并症依次为高血压(58.3%)、心房颤动/扑动(34.8%)、糖尿病(27.4%)、贫血(25.3%)、慢性肾脏病(12.8%)、卒中(13.5%)、低钠血症(9.8%)、慢性阻塞性肺疾病(8.7%)、外周动脉疾病(8.2%)和甲状腺功能异常(5.0%)。合并症≥3个的患者占47.0%,<60岁、60~69岁、70~79岁、≥80岁的患者中合并症≥3个的比例分别为26.1%、42.9%、53.3%、61.3%。估算的肾小球滤过率(estimated glomerular filtration rate,eGFR)<30 ml·min-1·1.73 m-2者占 8.6%,30~60 ml·min-1·1.73 m-2者占27.6%。合并低钾血症(血钾<3.5 mmol/L)和高钾血症(血钾>5 mmol/L)者占比分别为8.4%和4.5%,合并低钠血症(血钠<135 mmol/L)者占比为9.8%。24.8%的住院心衰患者近1年内曾因心衰住院
(3)不同类型心衰患者的临床特点:纳入分析的射血分数降低的心衰(heart failure with reduced ejection fraction,HFrEF)患者共169 519例(36.2%),射血分数轻度降低的心衰(heart failure with mild reduced ejection fraction,HFmrEF)患者共93 228例(19.9%),射血分数保留的心衰患者(heart failure with preserved ejection fraction,HFpEF)患者共205 048例(43.9%)。HFrEF患者的LVEF为(31.8±6.3)%,主要病因为冠心病者占53.6%、扩张型心肌病者占27.0%,49.1%的患者合并高血压。与HFpEF患者比较,HFrEF患者出院前收缩压较低,心率较快,纽约心脏协会(NYHA)心功能分级Ⅳ级者较多,合并左束支传导阻滞者较多,QRS时限≥130 ms者较多,左心室舒张末期内径较大,血B型利钠肽(BNP)、N末端B型利钠肽原(NT-proBNP)水平较高(均P<0.05)。与HFmrEF和HFrEF患者比较,HFpEF患者的年龄较大,女性较多,高血压、心房颤动/扑动、卒中、贫血以及慢性阻塞性肺疾病的患者较多(均P<0.05),HFpEF患者中合并症≥3个者占54.1%。HFmrEF患者的年龄、性别构成、心率、收缩压以及多数合并症(高血压、心房颤动/扑动、卒中、贫血、慢性阻塞性肺疾病)患者的比例均介于HFrEF与HFpEF之间,但其合并冠心病(66.4%)的比例最高(P<0.05)。不同类型心衰患者合并症的比较见图2。


注:HFrEF为射血分数降低的心力衰竭,HFmrEF为射血分数轻度降低的心力衰竭,HFpEF为射血分数保留的心力衰竭,房颤为心房颤动,房扑为心房扑动
(4)出院前情况及出院时用药:住院心衰患者出院前的收缩压为(125.4±21.2)mmHg(1 mmHg=0.133 kPa)、舒张压为(75.0±13.9)mmHg,心率(86±22)次/min,NYHA心功能Ⅰ、Ⅱ、Ⅲ、Ⅳ级的患者分别占10.7%、35.7%、34.7%、18.9%,查体有外周水肿者占19.9%。住院时间(9.2±4.7)d。
出院时,心衰患者利尿剂的使用率为77.0%,HFrEF、HFmrEF及HFpEF患者的使用率分别为86.5%、78.4%和69.6%;HFrEF患者血管紧张素受体脑啡肽酶抑制剂(angiotensin receptor neprilysin inhibitor,ARNI)/血管紧张素转化酶抑制剂(angiotensin converting enzyme inhibitor,ACEI)/血管紧张素受体阻滞剂(angiotensin Ⅱreceptor blockers,ARB)、β受体阻滞剂和盐皮质激素受体拮抗剂(mineralocorticoid receptor antagonist,MRA)的使用率分别为82.3%、84.7%和85.8%,HFmrEF患者分别为76.5%、80.2%和73.8%;总体心衰患者中ARNI的使用率为43.4%(HFrEF患者为59.1%,HFmrEF患者为45.4%,HFpEF患者为27.6%);钠-葡萄糖共转运蛋白-2抑制剂(sodium glucose cotransporter-2 inhibitor,SGLT-2i)使用率为6.9%(HFrEF患者为9.6%,HFmrEF患者为5.3%,HFpEF患者为7.7%);洋地黄的使用率为19.1%(HFrEF患者为28.0%,HFmrEF患者为18.0%,HFpEF患者为12.8%);伊伐布雷定的使用率为3.0%(HFrEF患者为5.5%,HFmrEF患者为2.8%,HFpEF患者为1.4%);口服抗凝药使用率为26.4%(HFrEF患者为23.2%,HFmrEF患者为26.3%,HFpEF患者为30.7%);他汀类药物的使用率为67.1%(HFrEF患者为57.8%,HFmrEF患者为63.0%,HFpEF患者为55.9%);芪苈强心胶囊的使用率为7.3%。
(5)器械治疗:HFrEF患者心脏再同步化治疗(cardiac resynchronous therapy,CRT)和植入式心脏复律除颤器(implantable cardioverter defibrillator,ICD)的植入率分别为1.8%(CRT-D)、0.6%(CRT-P)和1.8%(ICD)。在有LVEF数据的468 228例患者中,LVEF<35%的患者占21.54%,其中98 561例患者有心电图信息,左束支传导阻滞者占15.00%,QRS间期>130 ms者占21.40%。
完善医疗质量评价并持续改进是实现长期管理、不断优化诊疗,进而减少不良预后的关键环节。心衰中心医疗质量控制指标是一套完整的评价系统,涉及心衰的诊断、治疗和转归等多方面,旨在通过定期的关键指标评估,引导临床医师持续关注心衰标准化、规范化诊疗,解决诊疗连续性问题,不断缩小临床实践与指南的差距,最终达到改善心衰患者预后,降低疾病负担的目的。
1.经胸超声心动图使用率:经胸超声心动图是评估心脏结构和功能的首选方法,其中评估LVEF是心衰分类和指导治疗的重要依据。近5年各心衰中心超声心动图的使用率稳中有升,标准版心衰中心由2018年的87.5%上升到2022年的90.9%,基层版心衰中心由80.2%上升到85.9%,基层版使用率低于标准版,详见图3。


注:BNP为B型利钠肽,NT-proBNP为N末端B型利钠肽原
2. BNP/NT-proBNP使用率:BNP/NT-proBNP在心衰诊断中具有较强的普适性及良好的敏感度和特异度,在各国指南中均被推荐用于心衰筛查、诊断和鉴别诊断、病情严重程度及预后评估,且住院期间动态监测BNP/NT-proBNP有助于评估心衰患者出院后的心血管事件风险。各中心诊断心衰时使用BNP/NT-proBNP的比例呈逐渐上升趋势,2022年标准版心衰中心使用率为91.3%,基层版心衰中心为91.0%,较2018年的83.1%和80.4%均有提高,且基层版心衰中心与标准版心衰中心使用BNP/NT-proBNP的比率接近,详见图4。提示BNP/NT-proBNP在各级心衰中心均得到了很好的应用,这有助于提高心衰诊断的准确率。
3.出院前改善HFrEF患者预后药物的使用率:相关指南指出,长期应用ARNI/ACEI/ARB、β受体阻滞剂、MRA和SGLT-2i等可改善HFrEF患者预后、降低其死亡率。患者一旦被诊断为HFrHF且病情稳定,应尽早使用上述药物,除非有禁忌证或不耐受(统计药物使用率时排除了因禁忌证或不耐受而未使用药物的患者)。
(1)ARNI/ACEI/ARB使用率:HFrEF患者ARNI/ACEI/ARB的使用率不断升高,标准版心衰中心由2018年的77.9%升高至2022年的92.8%,基层版心衰中心由2019年的89.4%升高至2022年的91.7%,且2022年时基层版心衰中心与标准版心衰中心的使用率接近。PARADIGM-HF研究显示与依那普利比较,ARNI可使HFrEF患者的主要复合终点事件(心血管死亡和心衰住院)发生风险降低20%[6]。还有一些临床试验、荟萃分析及真实世界研究也支持ARNI替代ACEI/ARB,以进一步降低HFrEF患者的死亡率和发病率[7, 8]。心衰中心的数据显示,ARNI使用率近年来明显升高,标准版心衰中心由2018年的15.5%升高至2022年的84.2%,基层版心衰中心由2019年的23.3%升高至2022年的77.0%。见图5。


注:ARNI为血管紧张素受体/脑啡肽酶抑制剂,ACEI为血管紧张素转换酶抑制剂,ARB为血管紧张素Ⅱ受体阻滞剂,MRA为盐皮质激素受体拮抗剂
(2)β受体阻滞剂使用率:β受体阻滞剂使用率也不断升高,标准版心衰中心由2018年的85.4%升高至2022年的91.4%,基层版心衰中心由2019年的87.4%升高至2022年的90.7%,且2022年时基层版心衰中心与标准版心衰中心的使用率接近。见图5。
ARNI/ACEI/ARB和β受体阻滞剂的使用率接近欧美等发达国家[9, 10, 11],这些药物已被证实能降低HFrEF患者死亡率[12, 13],使用率的稳步提升必将给患者带来更多获益。
(3)MRA使用率:心衰中心HFrEF患者出院前MRA使用率高于欧美等发达国家,标准版心衰中心由2018年的86.3%升高至2022年的89.5%,基层版心衰中心2022年则达到87.9%,临床中应用MRA需注意严格把握适应证和禁忌证,监测不良反应。见图5。
(4)SGLT-2i使用率:DAPA-HF研究证实在目前指南推荐的标准治疗基础上加用达格列净,可降低HFrEF患者26%的主要终点事件风险、18%的心血管死亡风险和17%的全因死亡风险[14]。EMPEROR-Reduced研究证实加用恩格列净可降低HFrEF患者25%的心血管死亡或心衰住院的风险,30%的心衰住院风险[15]。基于上述研究,2022年美国心衰指南更新推荐HFrEF患者使用SGLT-2i以减少心衰住院率和心血管死亡。2022年6月心衰中心医疗质量控制指标中新增了HFrEF患者出院前SGLT-2i使用率,标准版和基层版心衰中心SGLT-2i使用率已分别由2022年5月的4.9%和5.1%升高至11月的49.8%和49.2%。提示随着心衰中心建设的推进,依据最新指南的治疗得到了较好的推广,值得注意的是在基层医疗卫生机构也取得了较好的效果。
4.合并心房颤动的心衰患者出院前抗凝药物使用率:心房颤动常与心衰共存,心衰中心患者合并心房颤动的比例高达34.8%。卒中或栓塞是心房颤动最主要的并发症,研究显示抗凝治疗可显著降低卒中风险[16, 17]。相关指南指出即使没有其他危险因素,心房颤动合并心衰即可考虑长期抗凝治疗。因此,心衰中心医疗质量控制指标纳入了合并房颤的心衰患者出院前抗凝药物使用率,计算时除外了CHA2DS2-VASc评分仅1分的女性以及存在抗凝禁忌证的患者。近5年,合并心房颤动的心衰患者出院前抗凝药物使用率明显升高,标准版心衰中心由2018年的55.6%提高到2022年的75.4%,基层版心衰中心由2019年的41.4%提高到2022年的69.0%,但仍低于标准版心衰中心。见图6。


5.合并糖尿病的心衰患者出院前SGLT-2i使用率:SGLT-2i可降低心血管高危2型糖尿病患者心血管病死率和心衰住院率,因此对于合并糖尿病的心衰患者,欧美指南均推荐使用SGLT-2i(Ⅰ,A)。因此,心衰中心医疗质量控制指标纳入了合并糖尿病的心衰患者出院前SGLT-2i使用率。近期,标准版和基层版心衰中心使用率已分别由2022年5月的49.6%和48.1%升高至11月的60.4%和49.4%。
6.心衰患者的随访管理:心衰患者出院后需进行长期的随访和管理,这对于减少患者再住院、改善生活质量等预后指标至关重要。出院前应对患者进行全面评估并制订随访计划,出院早期或病情不稳定期应适当增加随访频率,病情稳定后改为 1~2 个月1次。我国心衰患者缺乏长期随访管理,也缺乏相关的随访资料。心衰中心医疗质量控制指标包括相关指标,以期提高心衰患者随访率和随访质量。
总体而言,近年来心衰患者出院后随访率呈升高趋势。标准版心衰中心出院后1、3个月随访率在2021年时分别达到70.7%和60.5%,1年随访率在2020年达到45.5%;基层版心衰中心出院后1、3个月随访率在2021年分别达到74.9%和64.2%,1年随访率在2020年达到44.5%。但值得注意的是,随着出院时间延长,随访率不断下降,1年随访率明显低于1和3个月时的随访率,且1年随访率不到50%,此外受疫情等多种因素影响,2021、2022年随访率有所下降,总之在心衰患者出院后随访方面仍有很大的提升空间。见图7。


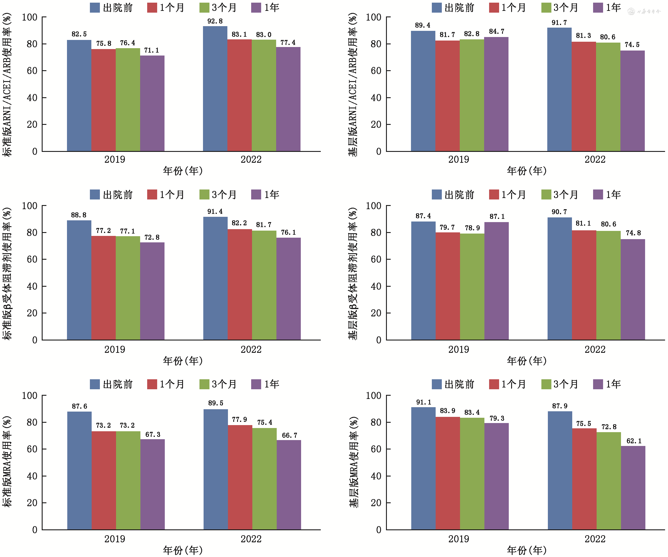
7.随访期间改善HFrEF患者预后药物使用率:部分患者由于病情尚不稳定、血压偏低等原因导致住院期间未能完全使用四大类改善预后的药物,而改善预后药物应长期应用,需要在随访期间根据患者病情调整药物种类和剂量,避免因停药导致病情恶化或反复。心衰中心医疗质量控制指标纳入了随访期间改善HFrEF患者预后药物使用率,以规范心衰患者的长期治疗。
标准版心衰中心出院后1、3个月和1年ARNI/ACEI/ARB使用率分别从2019年的75.8%、76.4%和71.1%升高至2022年的83.1%、83.0%和77.4%,β受体阻滞剂使用率从2019年的77.2%、77.1%和72.8%升高至2022年的82.2%、81.7%和76.1%,MRA使用率从2019年的73.2%、73.2%和67.3%变化至2022年的77.9%、75.4%和66.7%。基层版心衰中心随访期间药物使用率和变化趋势与标准版相近。值得注意的是,无论标准版还是基层版心衰中心,随出院时间延长药物使用率均呈现下降趋势,提示遵循指南规范治疗的长期依从性有待进一步提高。见图8。


注:ARNI为血管紧张素受体/脑啡肽酶抑制剂,ACEI为血管紧张素转换酶抑制剂,ARB为血管紧张素Ⅱ受体阻滞剂,MRA为盐皮质激素受体拮抗剂
8.随访期间改善HFrEF患者预后药物达标率:ARNI/ACEI/ARB和β受体阻滞剂治疗HFrEF存在剂量反应关系,达到目标剂量可进一步改善心衰患者预后。上述药物须小剂量起始,然后每隔2~4周剂量加倍,逐渐达到目标或最大耐受剂量,并长期维持使用。因此,心衰中心医疗质量控制指标纳入了随访期间改善HFrEF患者预后药物达标率。本报告中达标率的计算公式为药物使用剂量≥50%指南推荐的目标剂量的患者数量/使用指南推荐药物的HFrEF患者数量×100%。
总体而言,近年来心衰中心改善HFrEF患者预后药物达标率有所提高,且随访时间越长达标率越高。标准版心衰中心出院后1、3个月和1年,ARNI/ACEI/ARB达标率从2019年的11.8%、14.7%和14.5%升高至2022年的21.3%、23.6%和25.2%,β受体阻滞剂达标率从2019年的22.1%、24.9%和27.3%变化至2022年的22.9%、24.9和23.9%;基层版心衰中心出院后1、3个月和1年,ARNI/ACEI/ARB达标率从2019年的7.1%、8.8%和9.7%升高至2022年的16.8%、20.7%和23.3%,β受体阻滞剂达标率从2019年的16.5%、24.6%和28.4%升高至2022年的26.8%、29.4%和33.0%。但可以看出,各药物的达标率仍与指南要求存在较大差距。见图9。


注:ARNI为血管紧张素受体/脑啡肽酶抑制剂,ACEI为血管紧张素转换酶抑制剂,ARB为血管紧张素Ⅱ受体阻滞剂
9.随访期间合并心房颤动的心衰患者抗凝药物使用率:近年来心衰中心合并心房颤动的心衰患者随访期间抗凝药物使用率有所提升,标准版心衰中心出院后1、3个月和1年的使用率从2019年的47.2%、46.1%和42.3%升高至2022年的62.3%、58.6%和48.9%;基层版心衰中心出院后1、3个月和1年的使用率从2019年的33.7%、34.4%和26.0%升高至2022年的53.7%、50.2%和40.9%,使用率与标准版心衰中心仍有一定差距。值得注意的是,随出院时间延长基层版和标准版心衰中心合并心房颤动的心衰患者抗凝药物使用率均呈下降趋势。见图10。


10.死亡率与再住院率:近年来心衰中心患者预后有所改善。标准版心衰中心患者出院后1个月死亡率由2018年的0.68%下降至2022年的0.58%,下降幅度为14.7%;基层版心衰中心患者出院后1个月死亡率由2019年的1.1%下降至2022年的0.8%,下降幅度27.3%;标准版心衰中心各年度患者出院后1个月死亡率均低于基层版心衰中心。标准版心衰中心患者出院后1年死亡率由2018年的6.9%下降至2021年的4.5%,下降幅度34.8%;基层版心衰中心患者出院后1年死亡率由2019年的7.9%下降至2021年的7.5%;标准版心衰中心各年度患者出院后1年死亡率均低于基层版心衰中心。见图11。


标准版心衰中心患者出院后1个月再住院率由2018年的5.7%下降至2021年的4.1%,降幅28.1%,2022年略有反弹;出院后1年再住院率,2018年为20.0%,2020年最低,为13.4%,降幅33%。基层版心衰中心上述指标虽有所改善,但与标准版心衰中心仍有差距,有待进一步提高。见图11。
通过本报告可以看出,中国心衰中心联盟已建立了集预防、诊断、治疗、综合管理及分级诊疗于一体的心衰防控体系。通过近几年的心衰中心建设,进一步规范了心衰的诊断流程,降低了心衰的误诊和漏诊;对于HFrEF患者而言,改善预后药物的使用率有大幅提升,达到了欧美发达国家水平;心衰患者预后得到改善,再住院率和死亡率明显降低;基层医疗卫生机构心衰的管理水平明显提升,基本实现了不同层级医院的同质化管理。
但我们也必须看到,心衰中心建设仍有很大提升空间。比如患者出院后1年随访率仍偏低,出院后长期管理有待进一步改善;改善预后药物的使用率仍有提升空间,达标率仍较低,需要继续推行遵循指南的规范化治疗,以给患者带来长期稳定的获益;部分指标在基层版心衰中心与标准版心衰中心之间仍存在差距,推行高质量的同质化管理任重道远。
核心专家组成员(按姓氏汉语拼音排序):艾力曼·马合木提(新疆医科大学第一附属医院);白玲(西安交通大学医学院第一附属医院);董蔚(解放军总医院);董吁钢(中山大学附属第一医院);傅向华(河北医科大学第二医院);井海云(郑州大学附属郑州中心医院);金玮(上海交通大学医学院附属瑞金医院);孔洪(四川省人民医院);李广平(天津医科大学第二医院);黎励文(广东省人民医院);李为民(哈尔滨医科大学附属第一医院);李新立(南京医科大学第一附属医院);廖玉华(华中科技大学同济医学院附属协和医院);刘晨(中山大学附属第一医院);任景怡(北京中日友好医院);孙志军(中国医科大学附属盛京医院);汪芳(北京医院);王华(北京医院);王江(陆军军医大学第二附属医院/新桥医院);徐东杰(南京医科大学第一附属医院);项美香(浙江大学医学院附属第二医院);苑海涛(山东省立医院);杨杰孚(北京医院);袁璟(华中科技大学同济医学院附属协和医院);严激(安徽省立医院);杨志明(山西医科大学第二医院);杨丽霞(解放军联勤保障部队第九二〇医院);张庆(四川大学华西医院);张瑶(哈尔滨医科大学附属第二医院);周京敏(复旦大学附属中山医院);张志辉(中南大学湘雅三医院)
心衰中心联盟心力衰竭医疗质量报告主要数据来源单位负责人(按实际贡献大小排序):苏晞(武汉亚洲心脏病医院);于波(哈尔滨医科大学附属第二医院);韩慧媛(山西省心血管病医院);唐其柱(武汉大学人民医院/湖北省人民医院);程晓曙(南昌大学第二附属医院);李萍(南昌大学第二附属医院);郭俊芳(镇江市第一人民医院);李广平(天津医科大学第二医院);陈树涛(天津市胸科医院);韩冰(徐州市中心医院);张敏(上海市胸科医院);郭延松(福建省立医院);林开阳(福建省立医院);卢群(西安交通大学医学院第一附属医院);党群(汉中市中心医院);顾翔(江苏省苏北人民医院);王人颢(徐州医科大学附属医院);艾力曼·马合木提(新疆医科大学第一附属医院);马根山(东南大学附属中大医院);陈魁胜(阳泉市第一人民医院);罗素新(重庆医科大学附属第一医院);李保(太原市中心医院);马登峰(太原市中心医院);杨志明(山西医科大学第二医院);傅国胜(浙江大学医学院附属邵逸夫医院);任鸿坤(内蒙古自治区人民医院);赵兴胜(内蒙古自治区人民医院);信栓力(邯郸市第一医院);赵燕(云南省第一人民医院);钟一鸣(赣南医学院第一附属医院);司海芹(安阳市第三人民医院);董少红(深圳市人民医院);陈牧雷(首都医科大学附属北京朝阳医院);刘福元(湖北省襄阳市第一人民医院);李学文(山西白求恩医院 山西医学科学院);赵育洁(郑州市第七人民医院);白雪(西南医科大学附属中医医院);朱为勇(青岛市中心医院);郑群(衡水市人民医院);徐验(中国医学科学院阜外医院深圳医院/深圳市孙逸仙心血管医院);郑泽琪(南昌大学第一附属医院);杨晓利(遵化市人民医院);姜文兵(温州市人民医院);郑昭芬(湖南省人民医院);张志辉(中南大学湘雅三医院);侯平(辽宁中医药大学附属医院);曹桂秋(新疆医科大学第五附属医院);胡立群(武汉市第四医院/武汉市普爱医院);吕渭辉(广东省中医院);毛威(浙江省中医院);李双斌(吉林市中心医院);程翔(华中科技大学同济医学院附属协和医院);石建平(邯郸市中心医院);买泓(凉山州第一人民医院);井海云(郑州大学附属郑州中心医院);徐大文(攀枝花市中心医院);齐丽平(邢台市第三医院);姜黔峰(遵义市第一人民医院);罗云(江西省九江市第一人民医院);刘迎午(天津市第三中心医院);郑强荪(西安交通大学第二附属医院);姜小飞(珠海市人民医院);杨萍(吉林大学中日联谊医院);张军堂(周口市中心医院);罗骏(赣州市人民医院);甘立军(青海红十字医院);王肖龙(上海中医药大学附属曙光医院);方俊平(内蒙古通辽市科尔沁区第一人民医院);李平(玉林市第一人民医院);范忠才(西南医科大学附属医院);徐志颖(烟台市烟台山医院);马学平(宁夏医科大学总医院);徐峰(中国医科大学附属第一医院);张金国(济宁医学院附属医院);孙健(吉林大学第一医院);刘斌(吉林大学第二医院);戴翠莲(厦门大学附属心血管病医院);徐亚妹(复旦大学附属中山医院);刘金秋(大连医科大学附属第一医院);买买提艾力·阿布都克日木(喀什地区第一人民医院);李玉春(河南省南召县人民医院);唐惠芳(南华大学附属第一医院);卢成志(天津市第一中心医院);王显利(延安大学咸阳医院);殷跃辉(重庆医科大学附属第二医院);冯玉宝(内蒙古鄂尔多斯市中心医院);韩旭晨(赤峰学院附属医院);乔锐(安庆市立医院);叶红华(中国科学院大学宁波华美医院);马文林(同济大学附属同济医院);孙刚(贵阳中医学院第一附属医院);石蓓(遵义医科大学附属医院);王振华(福建医科大学附属第二医院);项美香(浙江大学医学院附属第二医院);李焕明(天津市第四中心医院);陈金灶(莆田市第一医院);任晖(安康市中心医院);吴立荣(贵州医科大学附属医院);郑贯中(淄博市临淄区人民医院);吴强(贵州省人民医院);俞杉(贵州省人民医院);李永东(内蒙古包钢医院);苗俊东(济宁市第一人民医院);李潞(沈阳医学院附属第二医院);邓平(长沙市中心医院);任承潜(株洲恺德心血管病医院);黄宇理(蚌埠医学院第一附属医院);张庆(四川大学华西医院);李敏(山东省立医院);苑海涛(山东省立医院);李国庆(新疆维吾尔自治区人民医院);江庆(安庆市第一人民医院);孙明(吉林市人民医院);魏林(哈尔滨市第一医院);陈杰(重庆市荣昌区人民医院);洪云飞(云南省第三人民医院);严激(安徽省立医院);陈康玉(安徽省立医院);钱钧(马鞍山市中心医院);付秀华(牡丹江市第二人民医院牡丹江市120急诊急救中心);付毅(福州市长乐区医院);吴斌(昌吉州中医医院);杨威(齐齐哈尔市中医医院);周音频(重庆市涪陵中心医院);光雪峰(昆明市延安医院);韩萍(北京市海淀医院);李民(伊春市第一医院);林云(海南医学院第一附属医院);马娟(昆明市第一人民医院);孟照辉(昆明医科大学第一附属医院);陈长征(解放军联勤保障部队第九二〇医院);杨丽霞(解放军联勤保障部队第九二〇医院);张钲(兰州大学第一医院);潘国忠(北京中医药大学东直门医院);范晓涌(兰州市第一人民医院);傅向华(河北医科大学第二医院);郝国贞(河北医科大学第二医院);毛艳梅(宁夏回族自治区第五人民医院石嘴山中心医院);孙迎彬(解放军西藏军区总医院)
执笔专家:王华 柴坷 李莹莹 王翔凌
数据统计人员:杨智凯(北京医院)
心血管健康联盟, 中国老年医学学会心电与心功能分会, 心衰中心联盟专家委员会. 中国心衰中心联盟心力衰竭医疗质量报告(2022年)[J]. 中华全科医师杂志, 2023, 22(6): 557-568. DOI: 10.3760/cma.j.cn114798-20230317-00223.
苏州工业园区东方华夏心血管健康研究院在数据库建设和数据管理中做了大量工作
所有作者声明不存在利益冲突





















